一、stream概要与使用场景
首先,Java8中的stream与InputStream和OutputStream是完全不同的概念,stream是用于对集合迭代器的增强,使之能够完成更高效的聚合操作(过滤、排序、统计分组)或大批量数据操作,使用一种类似用 SQL 语句从数据库查询数据的直观方式来提供一种对 Java 集合运算和表达的高阶抽象。
此外,stream与lambda表达式结合后编码效率大大提高,并且可读性更强。
首先来看一个例子:

创建一个学生列表,填入不同的数据进行模拟,实际的业务中肯定要比这个复杂得多,这里只是做一个简单的示例。现在我们用两种不同的方式来取出学生列表中所有男同学。
// 找出所有的男同学01
public void test1(){
List<Student> boyList = new ArrayList<>();
for (Student stu : studentList) {
if (stu.getSex().equals("男")) {
boyList.add(stu);
}
}
}
// 找出所有的男同学02
public void test2(){
List<Student> boys = studentList.stream()
.filter(a -> a.getSex().equals("男"))
.collect(Collectors.toList());
}
这样看是不是两种方式也没差多少工作量?真的是这样吗?其实并不是的!
这里只是一个简单的过滤条件,如果过滤条件再复杂些呢?条件不只是性别,还有年龄,分数等信息全部作为过滤条件的时候呢?在这种情况下再用 if 筛选数据就会使得代码臃肿,可读性差,而且极容易出错。这个时候使用stream来处理此类问题,就显得极其方便:
// 改进后:筛选出年龄大于18,分数大于90的男同学
public void test2(){
List<Student> collect = studentList.stream()
.filter(a -> a.getSex().equals("男"))
.filter(b->b.getAge()>18)
.filter(c->c.getScore()>90)
.collect(Collectors.toList());
}
我们来看下面这个例子:根据年龄计算出每个年龄的学生对应分数的平均值:
// 找出每个年龄的平均分数01——传统方法
public void test1(){
// 基于年龄分组
Map<Integer, List<Student>> maps=new HashMap<>();
for (Student stu :
studentList) {
List<Student> students = maps.computeIfAbsent(stu.getAge(), key -> new ArrayList<>());
students.add(stu);
}
for (Map.Entry<Integer, List<Student>> entry: maps.entrySet()){
int scores=0;
for (Student student : entry.getValue()) {
scores+=student.getScore();
}
System.out.println(scores / entry.getValue().size());
}
}
// 找出每个年龄的平均分数02——stream
public void test2(){
studentList.stream()
.collect(Collectors.groupingBy(a->a.getAge(), // 基于年龄分组
Collectors.averagingInt(a->a.getScore()))) // 统计平均分数
.forEach((k, v)->System.out.println(k+": "+v)); // 打印
}
看上面这个例子,对比结果已经很明显了,利用stream处理无论是代码的整洁性还是可读性,都比传统方式有了巨大的提升。
二、stream的执行机制
1. 流的操作特性
- stream不储存数据
- stream不改变数据源
- stream不可重复使用
2. 流的操作类型
stream所有操作组合在一起即便成了管道,管道中有如下两种操作:
- 中间操作:调用中间操作方法会返回一个新的流。通过连续执行多个操作就组成了Stream中的执行管道。需要注意的是这些管道被添加后并不会真正执行,只有等到终止操作后才会执行。
- 终止操作:在调用该方法后,将执行之前的所有中间操作,获取返回结果并结束对流的使用
流的执行顺序说明:其每个元素挨着作为参数去调用中间操作及终止操作,而不是遍历完一个方法,再遍历下一个方法

无状态:指元素的处理不受之前元素的影响;
有状态:指该操作只有拿到所有元素之后才能继续下去。
非短路操作:指必须处理所有元素才能得到最终结果;
短路操作:指遇到某些符合条件的元素就可以得到最终结果,如 A || B,只要A为true,则无需判断B的结果。
3. 流的执行过程图:

中间两个黄色的区域称为中间节点,也叫懒节点,在加入流时并不会立马执行,直到遇到终止节点,即红色区域的时候才会执行。中间节点可以有多个,而终止节点只能有一个,且只能放在最后面。
只有中间操作,没有终止操作,所以并没有执行打印语句:
public static void main(String[] args) {
// 中间节点 -> 懒节点
studentList.stream().filter(a->{
System.out.println("hello");
return true;
});
}
// 无输出
下面添加了终止操作.toArray(),开始执行前面的中间操作:
public static void main(String[] args) {
// 中间节点 -> 懒节点
studentList.stream().filter(a->{
System.out.println("hello");
return true;
}).toArray();
}
// 输出为:hello
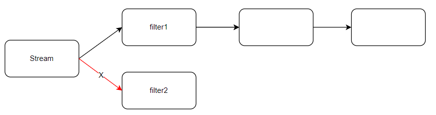
4. 不可重复使用

会报如下信息的错误:

因为流只可以按照顺序来执行,并不允许有分岔路口,当执行了filter1后,再去执行filter2,这是行不通的。

若要正常执行程序,可做如些修改:

这样既可顺利执行:

三、具体用法
(一)、流的创建
- 使用Collection下的 stream() 和 parallelStream() 方法
List<String> list = new ArrayList<>();
Stream<String> stream = list.stream(); //获取一个顺序流
Stream<String> parallelStream = list.parallelStream(); //获取一个并行流
- 使用Arrays 中的 stream() 方法,将数组转成流
Integer[] nums = new Integer[10];
Stream<Integer> stream = Arrays.stream(nums);
- 使用Stream中的静态方法:of()、iterate()、generate()
Stream<Integer> stream = Stream.of(1,2,3,4,5,6);
Stream<Integer> stream2 = Stream.iterate(0, (x) -> x + 2).limit(6);
stream2.forEach(System.out::println); // 0 2 4 6 8 10
Stream<Double> stream3 = Stream.generate(Math::random).limit(2);
stream3.forEach(System.out::println);
- 使用 BufferedReader.lines() 方法,将每行内容转成流
BufferedReader reader = new BufferedReader(new FileReader("F:\\test_stream.txt"));
Stream<String> lineStream = reader.lines();
lineStream.forEach(System.out::println);
- 使用 Pattern.splitAsStream() 方法,将字符串分隔成流
Pattern pattern = Pattern.compile(",");
Stream<String> stringStream = pattern.splitAsStream("a,b,c,d");
stringStream.forEach(System.out::println);
(二)、中间操作
- filter():返回结果生成新的流中只包含满足筛选条件的数据。
- distinct():数据去重
- skip(n):将前几个元素跳过(取出)再返回一个流,如果流中的元素小于或者等于n,就会返回一个空的流
- limit(n):返回指定数量的元素的流。返回的是stream里前面的n个元素
Stream<Integer> stream = Stream.of(6, 4, 6, 7, 3, 9, 8, 10, 12, 14, 14);
stream.filter(s -> s > 5) //6 6 7 9 8 10 12 14 14
.distinct() //6 7 9 8 10 12 14
.skip(2) //9 8 10 12 14
.limit(2) //9 8
.forEach(System.out::println);
- map():接收一个函数作为参数,将流中的每一个元素通过此函数映射为新的元素,并作为新流中对应的元素
Stream<Integer> stream = Stream.of(1, 2, 3);
stream.map(a->a * a).forEach(System.out::print); // 149
- flatMap():将流中的每个元素都放到一个流中,最后将所有的流合并成一个新流,所有流对象中的元素都合并到这个新生成的流中返回
List<Integer> num1 = Arrays.asList(1, 2, 3);
List<Integer> num2 = Arrays.asList(4, 5, 6);
List<Integer> num3 = Arrays.asList(7, 8, 9);
List<List<Integer>> lists = Arrays.asList(num1, num2, num3);
Stream<Integer> outputStream = lists.stream().flatMap(l -> l.stream());
List<Integer> flatMapResult = outputStream.sorted().collect(Collectors.toList());
System.out.println(flatMapResult);
// [1, 2, 3, 4, 5, 6, 7, 8, 9]
- sorted():自然排序,流中元素需实现Comparable接口
- sorted(Comparator com):定制排序,自定义Comparator排序器
List<String> list = Arrays.asList("aa", "ff", "dd");
//String 类自身已实现Compareable接口
list.stream().sorted().forEach(System.out::println);// aa dd ff
Student s1 = new Student("aa", 10);
Student s2 = new Student("bb", 20);
Student s3 = new Student("aa", 30);
Student s4 = new Student("dd", 40);
List<Student> studentList = Arrays.asList(s1, s2, s3, s4);
//自定义排序:先按姓名升序,姓名相同则按年龄升序
studentList.stream().sorted(
(o1, o2) -> {
if (o1.getName().equals(o2.getName())) {
return o1.getAge() - o2.getAge();
} else {
return o1.getName().compareTo(o2.getName());
}
}
).forEach(System.out::println);
- peek():对流中每个元素执行操作,并返回一个新的流,返回的流还是包含原来流中的元素
- 与map类似,但是map有返回值,peek无返回值。
Stream<Integer> stream = Stream.of(1, 2, 3);
stream.peek(System.out::print).count(); // 123
(三)、终止操作方法分类:
- forEach():内部迭代
- forEachOrdered()
List<String> strs = Arrays.asList("a", "b", "c");
strs.stream().forEachOrdered(System.out::print);//abc
System.out.println();
strs.stream().forEach(System.out::print);//abc
System.out.println();
strs.parallelStream().forEachOrdered(System.out::print);//abc
System.out.println();
strs.parallelStream().forEach(System.out::print);//bca
先看第一段输出和第二段输出,使用的是stream的流,这个是一个串行流,也就是程序是串行执行的,所有看到遍历的结果都是按照集合的元素放入的顺序;
看第三段和第四段输出,使用的parallelStream的流,这个流表示一个并行流,也就是在程序内部迭代的时候,会并行处理;第三段代码的forEachOrdered表示严格按照顺序取数据,forEach在并行中,随机排列。
- toArray()
// 将字符串流转换为字符串数组
List<String> list = Arrays.asList("A", "B", "C", "D");
String[] strArray = list.stream().toArray(String[]::new);
// 将整数流转换为整数数组
List<Integer> list = Arrays.asList(1,3,2,4);
Integer[] strArray = list.stream().toArray(Integer[]::new);
- reduce():可以将流中元素反复结合起来,得到一个值。
List<Integer> list = Arrays.asList(1,2,3,4);
// reduce()方法中第一个参数是起始值,第二个参数Lambda表达式中第一个参数x就是起始值,lambda表达式第二个参数y就是集合中的每个值
// 遍历集合中每个参数作为y,然后进行计算(x+y) 得到结果作为x,最后将所有结果相加,得到sum
Integer sum = list.stream().reduce(0, (x, y) -> x + y);
System.out.println(sum); // 10
Integer sum = list.stream().reduce((x, y) -> x + y).get();
System.out.println(sum); // 10
- allMatch():检查是否匹配所有元素
- noneMatch():检查是否没有匹配所有元素
- anyMatch():检查是否至少匹配一个元素
- findFirst():返回第一个元素
- findAny():返回当前流中的任意元素
- count():返回流中总数
- max():返回流中最大值
- min():返回流中最小值
List<Integer> list = Arrays.asList(1, 2, 3, 4, 5);
boolean allMatch = list.stream().allMatch(e -> e > 10); //false
boolean noneMatch = list.stream().noneMatch(e -> e > 10); //true
boolean anyMatch = list.stream().anyMatch(e -> e > 4); //true
Integer findFirst = list.stream().findFirst().get(); //1
Integer findAny = list.stream().findAny().get(); //1
long count = list.stream().count(); //5
Integer max = list.stream().max(Integer::compareTo).get(); //5
Integer min = list.stream().min(Integer::compareTo).get(); //1
- collect():将流转换为其他形式,接收一个Collector接口的实现,用于给Stream中元素做汇总的方法
// 第一个数组没有重复元素,第二个数组有重复元素
List<String> list = Arrays.asList("A", "B", "C", "D");
List<String> dlist = Arrays.asList("A", "A", "C", "D");
1. Collectors.toList()
List<String> listResult = list.stream().collect(Collectors.toList());
System.out.println(listResult); // [A, B, C, D]
2. Collectors.toSet()
Set<String> setResult = list.stream().collect(Collectors.toSet());
System.out.println(setResult); // [A, B, C, D]
Set<String> dsetResult = dlist.stream().collect(Collectors.toSet());
System.out.println(dsetResult); // [A, C, D]
3. Collectors.toCollection()
上面的toMap,toSet转换出来的都是特定的类型,如果我们需要自定义,则可以使用toCollection()
List<String> custListResult = list.stream().collect(Collectors.toCollection(LinkedList::new));
System.out.println(custListResult.getClass()); // class java.util.LinkedList
4. Collectors.toMap()
toMap接收两个参数,第一个参数是keyMapper,第二个参数是valueMapper:
如果stream中有重复的值,则转换会报IllegalStateException异常,在toMap中添加第三个参数mergeFunction,来解决冲突的问题。
Map<String, Integer> mapResult = list.stream()
.collect(Collectors.toMap(Function.identity(), String::length));
System.out.println(mapResult); // {A=1, B=1, C=1, D=1}
Map<String, Integer> dMapResult = dlist.stream()
.collect(Collectors.toMap(Function.identity(), String::length, (item, identicalItem) -> item));
System.out.println(dMapResult); // {A=1, C=1, D=1}
5. Collectors.collectingAndThen()
collectingAndThen允许我们对生成的集合再做一次操作。
List<String> collectAndThenResult = list.stream()
.collect(Collectors.collectingAndThen(Collectors.toList(), l -> {return new ArrayList<>(l);}));
System.out.println(collectAndThenResult); // [A, B, C, D]
6. Collectors.joining():joining用来连接stream中的元素:
String joinResult = list.stream().collect(Collectors.joining());
System.out.println(joinResult); // ABCD
String joinResult1 = list.stream().collect(Collectors.joining(" "));
System.out.println(joinResult1);// A B C D
String joinResult2 = list.stream().collect(Collectors.joining(" ", "E","F"));
System.out.println(joinResult2);// EA B C DF
7. Collectors.counting()
counting主要用来统计stream中元素的个数
8. Collectors.summarizingDouble/Long/Int()
summarizingDouble/Long/Int为stream中的元素生成了统计信息,返回的结果是一个统计类:
IntSummaryStatistics intResult = list.stream()
.collect(Collectors.summarizingInt(String::length));
System.out.println(intResult); // IntSummaryStatistics{count=4, sum=4, min=1, average=1.000000, max=1}
9. Collectors.averagingDouble/Long/Int()
averagingDouble/Long/Int()对stream中的元素做平均
10. Collectors.summingDouble/Long/Int()
summingDouble/Long/Int()对stream中的元素做sum操作
11. Collectors.maxBy()/minBy()
maxBy()/minBy()根据提供的Comparator,返回stream中的最大或者最小值
Optional<String> maxByResult = list.stream().collect(Collectors.maxBy(Comparator.naturalOrder()));
System.out.println(maxByResult); // Optional[D]
12. Collectors.groupingBy()
GroupingBy根据某些属性进行分组,并返回一个Map
Map<Integer, Set<String>> groupByResult = list.stream()
.collect(Collectors.groupingBy(String::length, Collectors.toSet()));
System.out.println(groupByResult); // {1=[A, B, C, D]}
13. Collectors.partitioningBy()
PartitioningBy是一个特别的groupingBy,PartitioningBy返回一个Map,这个Map是以boolean值为key,从而将stream分成两部分,一部分是匹配PartitioningBy条件的,一部分是不满足条件的
Map<Boolean, List<String>> partitionResult = list.stream()
.collect(Collectors.partitioningBy(s -> s.length() > 3));
System.out.println(partitionResult); // {false=[A, B, C, D], true=[]}
四、参考
1. 作者:旅行者yky
原博文地址:https://blog.csdn.net/y_k_y/article/details/84633001
2. 作者:flydean程序那些事
原博文地址:https://www.cnblogs.com/flydean/p/java-stream-collection.html