网络流基础:理解最大流/最小割定理 蒋炎岩
课程链接
网络流基础:理解最大流/最小割定理 (蒋炎岩)
https://www.bilibili.com/video/BV1Q7411R7ie
有向图的基本概念:
略
问题引入
给定一个有向图,给定起点s和终点t,我们能否找到一条路径:So easy!

我们可以使用DFS,BFS找到路径,只是找到,但是没有给出证明;
也就是为什么路径不存在?DFS和BFS只是方法,并没有在理论上严格证明路径是不存在,我们希望理论上严格证明。
直观感受反例
在下面的图里求解s–>t是否存在路径:
不存在
为了给出严格证明,先给出所有s开头,t结尾的路径排列:
而在这里面,有些路径是不存在的,比如s->t的有向边
如果存在合法路径,一定满足上述排列
这个证明是严格的,但是存在问题:
再来看一下DFS/BFS是怎么找不到路径的
在这个问题中,我们利用DFS和BFS的算法,最后是可以把原图上的点分割为S和T的两个集合,如果不存在所求路径,则红色的边是一定不存在,即出发点在S集合,终点在T集合的点,但是可以有反向边。
引入重要概念:

割的示例

这个图的割为2
这个图的割为3
小结
所以我们之所以找不到一条路径是因为图中存在一个大小为0的割

再来一个问题
DFS和BFS可以帮助我们找到路径,找到1条路径,so easy!
找到k条路径,k>=2呢?BFS和DFS还能解决吗?
例子

可以找到一条路径的情况

可以找到两条路径的情况

问题的转化
求解它存在多少条路径的问题,可以等价转化为求解下面验证性的判定问题
首先验证k=1;
成立,则验证k=2;
成立,则验证k=3;
………………
………………
直到k=m+1不成立,这样,我们就求解得到了k的最小值m
这是一种好思路,但是怎么做呢?It is difficult!
那就试试问题的反面

小结
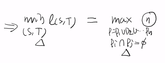
图中所有割的大小 L决定了可以找到k条路径的上限
我们目前已经找到的路径数m决定了可以找到k条路径的下限
不相交路径问题的求解
从一个错误的算法开始

我们可以使用贪心算法,在图中找到一条路径以后,就去掉这条路径,然后接着找下一条,但是问题是,贪心算法去掉的算法是正确的吗?会不会丢了不该丢的?
比如这样

这是同一个图
所以我们在错误的算法
算法的改进
FORD-FULKERSON算法
L. R. FORD, JR. AND D. R. FULKERSON MAXIMAL FLOW THROUGH A NETWORK 原文链接
http://bioinfo.ict.ac.cn/~dbu/AlgorithmCourses/Lectures/FordFulkerson1956.pdf
算法的进一步改进
非蒋炎岩老师提及内容
对FORD-FULKERSON算法进行了改进
提出了Boykov-Kolmogorov算法,提高求解速度,求解问题的本质没有变化
Yuri Boykov and Vladimir Kolmogorov An Experimental Comparison of Min-Cut/Max-Flow Algorithms for Energy Minimization in Vision:
https://www.csd.uwo.ca/~yboykov/Papers/pami04.pdf
回到正题
这个算法的重点:就是纠正过去的错误

路径寻找与反向边
左图:
错误的走法与正确的走法实质上只是差了那条被多次走过的边,因此只要调整这些反向边就可以了。
右图:
第一步:任意找到一条路径 L1 ,并将这条路径的边调整为反向边;
第二步:在原图的基础上,再找一条路径L2,并将这条路径的边调整为反向边;
…………
…………
直到DFS/BFS 算法终止
DFS/BFS算法会终止,是因为图中出现了大小为0的割。
将左下的图和右下的图进行对比,方向相悖的边就是我们要找的路径
小结
增广路径
残留网络
残差网络的例子
problem:已经找到三条路径P1,P2,P3,尝试再找到一条路径

当算法终止时,右图为残留网络
蓝色边为原来的边
绿色边是我们处理过的边
利用之前的假设,我们可以反证法证明,
当不存在s–>t的路径时,残差网络的割为0,原网络的割恰好为路径数,因为从T出发,到达S的边不可能穿过两次,穿过两次就会出现矛盾!!


因为割的大小决定了路径的上界,而实际上限制路径数的上界的关键,是所有的割中最小的那个割!
也就是说,我们求得的最小的那个割,实际上就是我们可以找到的最大的路径数
小结
目前我们就得到了***最小割和最大流定理的离散版本***
正式谈最大流最小割算法
问题引导

求解这样的问题,你可以得到一个带权重的有向图,本部分over,非蒋老师的课件内容
带权重的图与不带权重的图的转化
原图
可以在原图中允许两个点之间存在同向边,这样就可以理解为,权值为多大,边就有多少条。然后使用之前的算法求解,可以证明,这种情况下,算法仍然有效。
也可以直接求解x
引入之前的《算法导论》中的流的概念:
这里将权值视作路径上的容量,不允许有超过容量的路径存在
x 1 : 表 示 s − > a − > b − > t 的 路 径 数 x 2 : 表 示 s − > a − > b − > c − > d − > t 的 路 径 数 … … … … … … x_1:表示s->a->b->t的路径数\\ x_2:表示s->a->b->c->d->t的路径数\\ ………………x1:表示s−>a−>b−>t的路径数x2:表示s−>a−>b−>c−>d−>t的路径数………………
对于权重的约束条件,应满足:
对 边 s − > a 来 说 , 应 满 足 : x 1 + x 2 + x 3 + x 4 + … … … … < = 20 对边s->a来说,应满足:\\ x_1+x_2+x_3+x_4+…………<=20对边s−>a来说,应满足:x1+x2+x3+x4+…………<=20
同时我们也得到我们要求解问题的最优表达式:
m a x x 1 + x 2 + x 3 + … … … … … … + x p max \space{ }x_1+x_2+x_3+………………+x_pmax x1+x2+x3+………………+xp
这样我们就得到了网络流问题的原始表达的线性规划问题
但是这样的线性规划的问题,如果使用一般的方法去求解,计算量巨大,十分不现实,所以,可以这样理解:
通过对这样的线性规划问题的图化,使得将它转化为图论问题,然后利用FORD-FULKERSON算法和Boykov-Kolmogorov算法求解,大大降低算法求解难度;
关于网络流的定义

对每条边的权重,认为是它的流量
概括起来就是,除了源点S和汇点T外,流入必定等于流出
可以证明:在满足约束条件的前提下,从s流出的流量一定全部流入t
所以为了求得最大流,只要最大化流出S的流:
所以我们可以得到更加简洁的线性规划表达式,从而降低复杂度.
最后简要提及了最大流问题和最小割问题的等价性
这里叙述的不是很清楚,建议直接查找《运筹学》的 对偶理论。
结尾
好了,蒋炎岩老师用了将近1个小时为你打开了最大流最小割算法的冰山一角,最后推荐了一本参考资料Jeff Erickson:《Algorithms》(可以下载pdf版本)
在此送上链接:
http://jeffe.cs.illinois.edu/teaching/algorithms/
番外
求解最大流最小割问题,在python语言里并不是难事,因为你总是可以
pip install PyMaxflow
然后接着
import maxflow
一个简单的例子:
import maxflow
# Create a graph with integer capacities.
g = maxflow.Graph[int](2, 2)
# Add two (non-terminal) nodes. Get the index to the first one.
nodes = g.add_nodes(2)
# Create two edges (forwards and backwards) with the given capacities.
# The indices of the nodes are always consecutive.
g.add_edge(nodes[0], nodes[1], 1, 2)
# Set the capacities of the terminal edges...
# ...for the first node.
g.add_tedge(nodes[0], 2, 5)
# ...for the second node.
g.add_tedge(nodes[1], 9, 4)
pypi:
https://pypi.org/project/PyMaxflow/
帮助文档: