前言
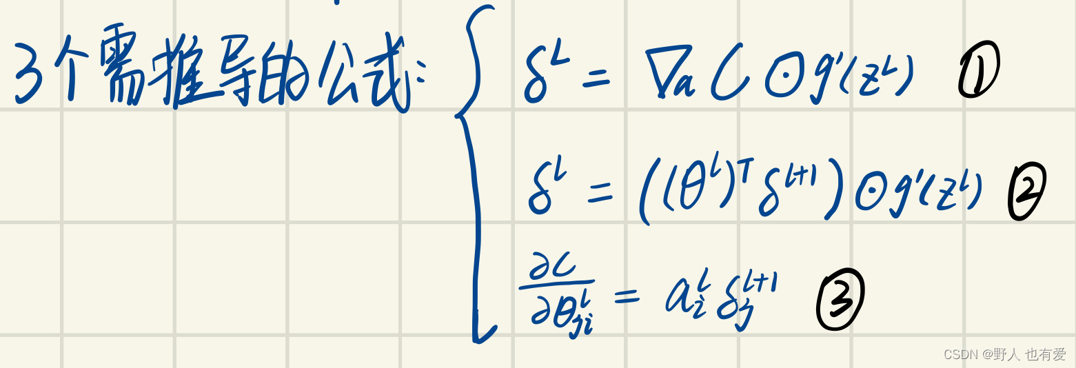
BP反向传播算法听起来一头雾水,看起来相当复杂,但是他其实没有特别的复杂,关键在于三个公式的推导和理解。本文同样给出了详尽的推导过程,若存在错误,敬请批评指正。
神经网络示意图
不妨增加一下求导细节(黄色部分)
反向求导路线图

公式1

公式2


公式3


结语
这3个公式为神经网络反向传播的关键所在,下篇为反向传播算法的应用篇,欢迎各位交流指正!!!
版权声明:本文为weixin_54910491原创文章,遵循CC 4.0 BY-SA版权协议,转载请附上原文出处链接和本声明。
BP反向传播算法听起来一头雾水,看起来相当复杂,但是他其实没有特别的复杂,关键在于三个公式的推导和理解。本文同样给出了详尽的推导过程,若存在错误,敬请批评指正。

不妨增加一下求导细节(黄色部分)






这3个公式为神经网络反向传播的关键所在,下篇为反向传播算法的应用篇,欢迎各位交流指正!!!