不同个数参数输出的讲解:
一个参数时:
x = np.random.randn(3)
输出一行三列的一维数组:
两个参数时:
x = np.random.randn(4,3)
输出4行3列的二维数组:
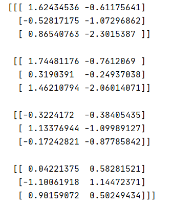
三个参数时:
x = np.random.randn(4,3,2)
输出4个小矩阵,每个小矩阵都是3行2列,并且这4个小矩阵组成一个大矩阵
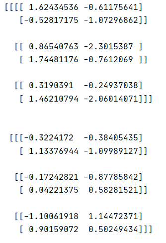
四个参数时:
x = np.random.randn(4,3,2,2)
输出:一个大矩阵里包含4个矩阵,然后每个矩阵又有三个矩阵,这三个矩阵分别是2行2列里面包含

当参数个数不断增加时,以此类推。
版权声明:本文为RELANGGUSHI原创文章,遵循CC 4.0 BY-SA版权协议,转载请附上原文出处链接和本声明。