数据结构-树转化为对应的二叉树
第一层根节点的左孩子放在左子树,其余兄弟节点全部放在左孩子的右子树 (即:根节点没有右子树) 第一步很重要,仔细体会这句话,下面的每一步其实都是这一步的递归
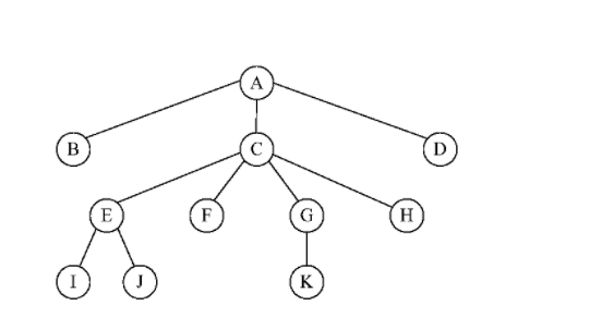
直接上例题:
对应的二叉树为:

可以看到,C,D是B的兄弟节点,所以全部在B的右子树。
然后把C点看做根节点它的左孩子分支(E,I,J)全在C的左子树

兄弟节点(F,G,H)全在它的右子树(跟第一步A节点是一样的)
所以说第一句话很重要,理解了第一句话便会转化树与二叉树了。
版权声明:本文为qq_43969650原创文章,遵循CC 4.0 BY-SA版权协议,转载请附上原文出处链接和本声明。