目录
2.2.1. Scaled Dot Product Attention
前言
Transformer 是 Google 的团队在 2017 年提出的一种 NLP 经典模型,现在较火热的 BERT 也是基于 Transformer Encoder 的。Transformer 模型使用了self-attention 机制,不采用 RNN 顺序结构,使得模型可以 并行化训练,而且能够 拥有全局信息。本文是对 Vision Transformer 的原理和代码全面解读的第一部分。
一、一切从 Self-attention 开始
1.1 处理 Sequence 数据的模型
Transformer 是一个Sequence to Sequence (Seq2Seq) 模型,特别之处在于它大量用到了 Self-attention。
其实,要处理一个 Sequence,最常想到的是用 RNN,它输入一串 Vector Sequence,输出另一串 Vector Sequence,如下图 1 左所示。若为 Single-Directional RNN,那么输出 时,默认
都已 “看过”;若为Bi-directional RNN,那么输出任意
时,默认
都已 “看过”。RNN 非常擅长于处理 Sequence 输入。
然而,问题在于 RNN 很不易并行化 (hard to parallel)。例如,对于 Single-Directional RNN,若要算出 ,就必须依次看
,故这样先后顺序的串行步骤很难平行化。从而,诸如 RNN 和 LSTM 等网络 难以充分发挥 GPU 的加速优势。
所以,研究者提出 用 CNN 取代 RNN,如下图 1 右所示。其中,橘色三角形表示一个 kernel_size = 3 的 CNN filter,每次 卷/滑/扫 过 3 个向量。卷/滑/扫 过一轮以后,就输出一排结果,用橘色小圆点表示。

以上是第一轮或者说第一层橘色的 filter 的卷积过程,还有更多轮/层的 filter,如图 2 中的黄色的 filter,重复相同的卷积过程并输出一排结果,用黄色小圆点表示。

所以,用 CNN 的确也能做到类似 RNN 输入输出的关系 —— 输入一个 Sequence,输出另一个 Sequence。
然而,CNN 和 RNN 表面上可以做到相同的输入和输出,但是CNN 因感受野有限,只能考虑非常有限的内容。比如,在图 2 右侧中,CNN filter 每次只考虑 3 个 vector,不像 RNN 可以考虑之前的所有 vector。然而,CNN 也并非无法考虑 长时期/长距离依赖 (Long Term Dependency)—— 通过堆叠更多层 filter (扩大感受野),上层 (深层) 的 CNN filter 即可考虑更多信息。比如,第二层的 filter (蓝色的三角形) 考虑 6 个 vector,比第一层/最浅层的 filter 考虑更多的信息。所以,堆叠足够多层 CNN filter,就能看到相当长时期/长距离的信息。当然,使用 膨胀卷积/空洞卷积 等扩大 kernel size 也是常见的方式。
此外,CNN 的一个优势在于 可并行化 (parallel) 并使用 GPU 加速,即无需依次等待红色的 filter 算完,再算黄色的 filter。但是,必须要堆叠很多层 CNN filter,才可看到足够长时期/长距离的信息。所以,Self-attention 的产生旨在 使用 Self-attention Layer 取代 RNN 所做的事,如下图 3 所示:

重点在于,Self-attention 这种新 Layer 的 输入和输出和 RNN 一模一样,即 输入输出均为 Sequence,每一个输出 都看过了、考虑到整个输入 Sequence,这点与 Bi-Directional RNN 相同。但 优于 RNN 之处 在于,其每一个输出
都可以并行化计算得到。二者的对比如上图 3 所示。
1.2 Self-attention
那么 Self-attention 具体如何呢?

首先,设Input Vector是图 4 的一串蓝色 Sequence ,每个 Input Vector 先各乘一个权重参数矩阵
得到一串绿色的 Embedding Vector
,然后各馈入 Self-attention 层,即令每个 Embedding Vector
分别乘上 3 个不同的 Transformation Matrix
(Query, Key, Value)。例如
将分别得到 3 个不同的 Vector
,其余同理。

接下来 用每个 Query 去对每个 Key
做 Attention,以衡量任意 2 个 Vector 的相似程度。比如,现在要对
和
做 Attention,先对这 2 个 Vector 做 Scaled Inner-Product (Dot-Product) 得到
。
同理,对 和
做 Attention 得到
,对
和
做 Attention 得到
,对
和
做 Attention 得到
。其中,Scaled Inner Product的计算公式如下:

其中, 是
和
的维度 dimension 大小。因为
的数值会随 dimension 的增大而增大,所以要除以
相当于归一化的效果。
接下来,对所有 Attention 结果 执行
操作,如下所示:


执行 操作后得到了
,令
与各
相乘并求和,得到
,如下所示。因而,产生
的过程中用到了 整个 Input Sequence的信息 (considering the whole sequence)。
若要 考虑局部 (local) 信息,则只需学习出相应的 ,
就不再带有那个对应分支的信息了;
若要 考虑全局 (global) 信息,则只需学习所有的,
就带有全部的对应分支的信息了。


同理,可计算出 ,如下图 8 所示。


经过了以上一连串计算,Self-attention layer 做的事不仅 和 RNN 一样,还可以 并行地得到 layer 输出的结果,如图 9 所示。

接下来,用矩阵表示上述计算过程。首先输入 Embedding 。然后,
- 用
乘 Transformation Matrix
得到
,其每一列代表一个 Vector
;
- 用
乘 Transformation Matrix
得到
,其每一列代表一个 Vector
。
- 用
乘 Transformation Matrix
得到
,其每一列代表一个 Vector
。
计算过程如图 10 所示:

接下来是 与
的 Attention 过程,可以把 Vector
转置为行向量与列向量
做内积得到标量
(此处省略
)。整体上看,由 4 个行向量
拼成的矩阵
和 4 个列向量
拼成的矩阵
做内积将得到由标量
构成的
矩阵
,并对其取
得到
。要得到
,就要用
分别与
相乘并求和,故整体上
要再左乘
矩阵。上述过程如图 11 所示:



更进一步地,上述过程自上而下可表示为图 12 的形式:
- 令输入矩阵
分别乘 3 个权重矩阵
,
,
得到 3 个等尺寸矩阵
- 令
转置后右乘
得到 Attention 方阵
,代表每一个位置两两间的 Attention
- 对方阵
取
得到方阵
- 令方阵
乘
矩阵得到输出 Vector
,其与输入矩阵形状一致
![]()
![]()

总之,以上过程可表示为:

即 Scaled Dot-Product Attention:

其作为单头注意力,与多头注意力 MHA 的关系为:

可见,MHA 通过 Linear 线性投影来初始化多组不同的 (Q, K, V),并将多个 (图中表示为 h 个) 单头的自注意力结果 Concat 后,再经一个全连接层降维输出。可以将初始化不同的 (Q, K, V) 理解为单头从不同的方向去观察文本,从而使自注意力更具 “大局观”。
放缩因子 的含义:
方差的基本性质:
1.3 Multi-head Self-attention
还有一种 Multi-head Self-attention,以 2 个 head 的情况为例:
- 由
(图 10) 生成的
进一步乘上 2 个转移矩阵
和
变为
和
- 由
(图 10) 生成的
进一步乘上 2 个转移矩阵
和
变为
和
- 由
(图 10) 生成的
进一步乘上 2 个转移矩阵
和
变为
和
接下来,令 与
做 Attention 再与
相乘、
与
做 Attention 再与
相乘,二者做 Weighted-sum 得到最终的
。同理可得
。现在有了
和
,可以 把二者 Concat 起来,再通过一个 Transformation Matrix
调整维度,使之与原来 1.2 节中的
维度一致,如图 13 所示:



从下图 14 可见,Multi-Head Attention 包含 多个 Self-attention 层。首先,将输入矩阵 (蓝色) 分别传递到 2 个不同的Self-attention 中,计算得到 2 个输出结果 (红色)。得到 2 个输出矩阵后,Multi-Head Attention 将它们 Concat在一起,然后传入一个 Linear 层 (左乘一个参数矩阵 (黄色)),得到 Multi-Head Attention 最终的输出矩阵
(粉色)。可见,Multi-Head Attention 的输出矩阵
与其输入矩阵
维度一致。

另一组 Multi-head Self-attention 的结果示意,如下图 15 所示。其中,绿色、红色部分表示两组 Query 和 Key。可见,绿色部分覆盖范围更大,更关注 Global 信息;而红色部分覆盖范围更小,更关注 Local 信息。二者测重各不相同。

1.4 Positional Encoding ☆
以上是 Multi-head Self-attention 的原理,然而问题是:当前的 Self-attention 中没有位置的信息,例如,一个单词向量的 “近在咫尺” 位置的单词向量,和 “远在天涯” 位置的单词向量效果是无差别的;再如,输入 “A 打了 B” 或 “B 打了 A” 的效果其实是一样的,都是因为 没有表示位置的信息 (No position information in self-attention)。于是,Self-attention 原作者为解决该问题,作出如下图 16 所示的 位置编码 操作:


具体做法是:给每个位置人工设定一个表示位置信息的位置向量 (不是神经网络学出来的),每个位置 (如第
个) 都有一个不同的位置向量
,令其与输入 Embedding
相加 作为新
参与后续运算过程。
为什么 与
是相加而非拼接?相加后,原来表示位置信息的
不就混到
中且难以提取了吗?
以下提供一种解答该问题的思路:
如下图 15 所示,先给每个 输入向量 加上一个 独热编码的位置向量
得到新向量
作为输入,乘上一个 Transformation Matrix
。此时有:
可见,位置向量 与 输入 Embedding
直接相加 等同于 先原输入向量
拼接一个表示位置的独热编码
再做 Transformation 得到 Embedding。
其中,与位置编码相乘的矩阵 是手工设计的,如下图 17 所示:

Transformer 中除了需要 单词 Embedding 表示输入的内容主题,还需要 位置 Embedding 表示单词出现在句子中的位置。因为 Transformer 不采用 RNN 结构,而是使用全局信息,无法捕获或利用到单词的位置顺序信息,而这部分信息对于 NLP 而言非常重要 (事实上对 CV 也很重要)。所以 Transformer 中 使用位置 Embedding 保存单词在序列中的相对或绝对位置。
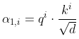
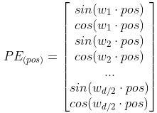
位置 Embedding 用 PE 表示,其维度与单词 Embedding 一致。PE 可通过训练得到,也可使用某种公式计算得到。在 Transformer 中采用了后者,公式如下:

换言之,第 个位置的位置编码
为:

其中, 表示 token 在 Sequence 中的位置,例如第一个 token "我" 的位置
。
而,或者准确意义上是
和
表示了 位置编码的维度。展开则更清晰地表示为:

注意, 是位置编码向量的第
组分量的频率,其表达式为:

例如,当 时,对应的位置编码可表示为:
![]()
式中,模型维度 (NLP 中表示最大文本长度max_len=512,CV中表示 Patch Embedding 维度 D=512)。然而,频率
底数为什么用
呢?原论文中完全没有提到 (玄学),这里不得不说说论文的 readability 问题,即便是很多高引的文章,最基本的内容都讨论不清楚,所以才出现像上面提问里的讨论,说实话这些论文还远未做到 easy to follow。这里给出一个假想:
是一个比较接近 1 的数 (1.018),如果用
,则是1.023。这只是猜想,其实可能完全可以使用别的底数。
PE 公式的好处:
- 每个位置有唯一的位置编码,使之能够适应比训练集中所有句子更长的句子。假设训练集中的最长句子长度为 20,若突然出现一个长度为 21 的句子,则使用 PE 公式仍可计算出第 21 位的位置编码。
- 可让模型容易地计算出相对位置。对于固定长度的间距
,任意位置的
都可被
的线性函数表示 —— 三角函数特性:
证明:
为什么 BERT 和 Transformer 等许多模型直接将 Embedding 直接 Sum Pooling 加在一起?
最后,可以看到 Self-attention 在 Seq2Seq 模型如何得到应用,可以把 Encoder-Decoder 中的 RNN 用 Self-attention 替换。

二、Transformer 的实现和代码解读


2.1 Transformer 原理分析


图 19 展示了一个 Seq2Seq 的模型,左侧为 Encoder Block,右侧为 Decoder Block。Multi-Head Attention (简称 MHA) 由多个 Self-Attention 组成,其中 Encoder block 包含一个 MHA,Decoder block 包含两个 MHA (其中有一个还用到了 Mask)。MHA 上方还包括一个 Add & Norm层,Add 表示 Residual Connection用于防止网络退化,Norm 表示 Layer Normalization,用于对每一层的激活值归一化。
例如,对于翻译任务,在 Encoder Input 处输入“机器学习”,在 Decoder Input 处的输入 “\”,输出是 “machine”。下一个时刻在 Decoder Input 处输入 “machine”,输出是 “learning”。不断重复直到输出句点 (.) 代表翻译结束。
接下来简要分析一下各结构的处理过程:
左半部分的 Encoder Block
首先输入向量 通过一个 Input Embedding 转移矩阵
得到一个张量
,再加上一个表示位置的 Positional Encoding
得到新的张量
,然后进入重复
次的绿色 Block。绿色 Block 中,张量
先经过一个 MHA 输出
。然后,通过 Add & Norm层 将 MHA 的输入
和输出
按元素相加,并进行 Layer Normalization。
下图 20 展示了常见的几种 Normalization 的对比示意图。


- Batch Normalization 令 batch 所有 samples / features 的某 channel 的
(对 batch 内所有数据沿/按 channel 归一化)
- Layer Normalization 令 batch 内各 samples / features 的所有 channel 的
(对 batch 内所有数据沿/按 sample 归一化)
为什么用 LN 而不用 BN? (max_len 对于 c, emb_dim 对应 h 或 w)
接着,是一个 Feed Forward 前馈网络和一个 Add & Norm 层。综上,
一个绿色 Block 的前 2 个 Layer 操作表达式为:
![]()
一个绿色 Block 的后 2 个 Layer 操作表达式为:
![]()
一个绿色 Block 的所有 Layer 简写为:
![]()
Transformer 的 Encoder Block由 N 个绿色 Block 构成,表达式为:

右半部分的 Decoder Block
Decoder Block 的输入包括 2 个来源,来自 Decoder Block 下方的输入是 前一个 Time Step 的 Input Embedding,即前一个 Time Step 的 加上一个表示位置的 Positional Encoding
所得的张量。然后,该张量进入了重复 N 次的绿色 Block。
对于 Decoder 的绿色 Block,首先是 Masked Multi-Head Self-attention,Mask 旨在使注意力只关注已产生的 Sequence 而不含未产生的部分。这很合理,因为还未产生的东西不存在,就无法做 Attention。
更具体地:
- Decoder 输出: (当前 Time Step) 对应位置
的输出词的概率分布。
- Decoder 输入: (当前 Time Step) 对应位置
的 Encoder 输出 + (前一 Time Step) 对应位置
的 Decoder 输出。所以中间的 Attention 不是 Self-attention,其 Key 和 Value 来自 Encoder 的输出,Query 来自上一位置 Decoder 的输出。
- Decoding 串行:注意,编码可并行计算,一次性全部 Encoding 出来;但解码不同,它是像 RNN 一样一个一个 Decoding的,因为要用上一位置 Decoder 的输出当作当前位置 Attention 的 Query。
Decoder 在组成上的主要的区别是:新增了 Mask 的 Attention —— Masked Multi-Head Self-attention。因为训练时的 Output 都是 Ground Truth,这样可以确保预测第 个位置时不会接触到未来
个位置的信息。
总之,Decoder 包含的两个 Multi-Head Attention 层,第一个 Multi-Head Attention 层采用了 Masked 操作,第二个 Multi-Head Attention 层的 Key,Value 矩阵使用 Encoder 的编码信息矩阵 C 进行计算,而 Query 使用上一个 Decoder block 的输出计算。最后有一个 Softmax 层计算下一个翻译单词的概率。
下面详细介绍 Masked Multi-Head Self-attention的具体操作,Masked 在 Scale 操作后、Softmax 操作前。

因为在 翻译任务 中,翻译是按顺序的 —— 翻译完第 个单词,才可翻译第
个单词。通过 Masked 操作可防止第
个单词不切实际地了解/接触到第
个单词及之后的信息。下面以将 "我有一只猫" 翻译成 "I have a cat" 为例,说明 Masked 操作。Decoder 时,需根据之前的翻译,求解当前最可能的翻译 (当前位置最大概率输出),如下图 23 所示。首先根据输入 <Begin> 预测出第一个单词为 "I",然后根据输入 "<Begin> I" 预测下一个单词 "have"。
Decoder 可在训练过程中使用 Teacher Forcing且 并行化训练,即将正确的单词序列 (<Begin> I have a cat) 和对应输出 (I have a cat <End>) 传递到 Decoder。那么在预测第个输出时,就要将第
之后的单词遮盖住 (Masked)。注意 Mask 操作是在 Self-Attention 的 Softmax 之前使用的,下面用 0 1 2 3 4 5 分别表示 "<Begin> I have a cat <End>"。

注意这里 Transformer 模型 训练和测试的解码方法不同:
Transformer 测试 时的解码过程:
- 输入解码开始标志位 <Begin>,Decoder 输出 I
- 输入已解码的<Begin>, I,Decoder 输出 have
- 以此类推 ...
- 输入已解码的 <Begin>, I, have, a, cat,Decoder 输出解码结束标志位 <end>
- 总之,每次解码都会到利用先前已解码的所有单词嵌入信息
Transformer 训练 时的解码过程:

不采用上述类似 RNN 的方法 一个一个目标单词嵌入向量顺序输入训练,想采用 类似编码器中的矩阵并行算法,一步就把所有目标单词预测出来。要实现这个功能可以参考 Encoder 的操作,把目标单词嵌入向量组成矩阵一次输入即可 —— 并行化训练。
但在解码 have 时,不能利用到后面单词 a 和 cat 的目标单词嵌入向量信息,否则就是作弊 (测试时候不可能能未卜先知)。为此引入 mask。具体是:在解码器中,Self-attention 层只被允许处理输出序列中更靠前的那些位置,在 Softmax 步骤前,它会把后面的位置给隐去。
Masked Multi-Head Self-attention 的计算:
- Step1:Input Matrix
包含 "<Begin> I have a cat" (0, 1, 2, 3, 4) 五个单词的表示向量,Mask Matrix 是一个 5×5 矩阵。在 其中可见解码单词 0 时只能使用单词 0 的信息,而解码单词 1 时可使用单词 0, 1 的信息 —— 只能使用先前的信息。Input Matrix
经过 3 个 Transformation Matrix 得到 3 个 Matrix:Query
,Key
和Value
。
- Step2:
得到 Attention Matrix
,此时先不进行 Softmax 操作,而是与一个
矩阵相乘,使 Attention Matrix 的部分位置 (即相对当前位置的未来位置) 为 0,得到 Masked Attention Matrix
。Masked Attention Matrix 是个下三角矩阵,使得计算
矩阵的某一行时,只考虑其前面 token 的作用 (即相对当前位置的先前位置) 。例如,在计算
的第一行时,刻意地把 Attention Matrix 第一行的后面所有元素屏蔽掉,只考虑
。在产生单词 have 时,则只考虑之前的 I,不考虑之后的 have、a、cat,即只 attend on 已产生的 Sequence。这很合理,因为还没有产生出来的东西不存在,就无法做 Attention。
- Step3: Masked Attention Matrix 进行 Softmax,所得矩阵的每一行之和都为 1 (沿列方向按行归一化)。注意,单词 0 在单词 1, 2, 3, 4 上的 Attention Score 都为 0。所得矩阵再与矩阵
相乘得到最终的 Self-attention 层的输出结果
。
- Step4:
只是第 1 个 Head 的结果,将多个 Head 的结果 Concat 一起后,再进行 Linear Transformation得到最终的 Masked Multi-Head Self-attention结果
。

此外,需注意的是:第 1 个 Masked Multi-Head Self-attention 的,
,
均来自 Output Embedding;
而第 2 个 Multi-Head Self-attention 的 来自第 1 个 Self-attention 层的输出,
和
来自 Encoder 的输出。
关于这种设计的个人理解:
和
来自 Encoder 的输出,所以可看做 句子(Sequence) / 图片 (Image) 等的内容信息 (Content,比如句子含义是:"我有一只猫" / 图片内容是:"有几辆车,几个人等等")。
表达了一种诉求:希望得到 / 了解 / 寻求什么,可看做 引导信息 (Guide)。
通过 Multi-Head Self-attention 结合在一起的过程,就相当于是 把需要的内容信息指导表达出来。
Self-attention 和 Multi-Head Self-attention 的时间复杂度计算:
Decoder 的最后是 Softmax 预测输出单词。因为 Mask 的存在,使得单词 0 的输出 只包含单词 0 的信息。Softmax 根据输出矩阵的每一行预测下一个单词,如下图 25 所示。

下图 26 则展示了Transformer 的整体结构:

2.2 Transformer 代码解读
2.2.1. Scaled Dot Product Attention
实现的是图 22 的操作,先令,再对结果按位乘以
矩阵,再做
操作,最后的结果与
相乘,得到 Self-attention 的输出。
class ScaledDotProductAttention(nn.Module):
''' Scaled Dot-Product Attention '''
def __init__(self, temperature, attn_dropout=0.1):
super().__init__()
self.temperature = temperature
self.dropout = nn.Dropout(attn_dropout)
def forward(self, q, k, v, mask=None):
attn = torch.matmul(q / self.temperature, k.transpose(2, 3)) # Q · K
if mask is not None:
attn = attn.masked_fill(mask == 0, -1e9) # Mask
attn = self.dropout(F.softmax(attn, dim=-1)) # Softmax + Dropout
output = torch.matmul(attn, v) # Att · V
return output, attn2.2.2. Positional Encoding
实现位置编码,如下所示:

class PositionalEncoding(nn.Module):
def __init__(self, d_hid, n_position=200):
super(PositionalEncoding, self).__init__()
# Not a parameter
self.register_buffer('pos_table', self._get_sinusoid_encoding_table(n_position, d_hid))
def _get_sinusoid_encoding_table(self, n_position, d_hid):
''' Sinusoid position encoding table '''
# TODO: make it with torch instead of numpy
def get_position_angle_vec(position):
return [position / np.power(10000, 2 * (hid_j // 2) / d_hid) for hid_j in range(d_hid)]
sinusoid_table = np.array([get_position_angle_vec(pos_i) for pos_i in range(n_position)])
sinusoid_table[:, 0::2] = np.sin(sinusoid_table[:, 0::2]) # dim 2i
sinusoid_table[:, 1::2] = np.cos(sinusoid_table[:, 1::2]) # dim 2i+1
return torch.FloatTensor(sinusoid_table).unsqueeze(0) # (1,N,d)
def forward(self, x):
# x(B, N, d)
return x + self.pos_table[:, :x.size(1)].clone().detach()2.2.3. Multi Head Attention
实现图 13、14 的多头 Self-attention。
class MultiHeadAttention(nn.Module):
''' Multi-Head Attention module '''
def __init__(self, n_head, d_model, d_k, d_v, dropout=0.1):
super().__init__()
self.n_head = n_head
self.d_k = d_k
self.d_v = d_v
self.w_qs = nn.Linear(d_model, n_head * d_k, bias=False)
self.w_ks = nn.Linear(d_model, n_head * d_k, bias=False)
self.w_vs = nn.Linear(d_model, n_head * d_v, bias=False)
self.fc = nn.Linear(n_head * d_v, d_model, bias=False)
self.attention = ScaledDotProductAttention(temperature=d_k ** 0.5)
self.dropout = nn.Dropout(dropout)
self.layer_norm = nn.LayerNorm(d_model, eps=1e-6)
def forward(self, q, k, v, mask=None):
d_k, d_v, n_head = self.d_k, self.d_v, self.n_head
sz_b, len_q, len_k, len_v = q.size(0), q.size(1), k.size(1), v.size(1)
residual = q
# Pass through the pre-attention projection: b x lq x (n*dv)
# Separate different heads: b x lq x n x dv
q = self.w_qs(q).view(sz_b, len_q, n_head, d_k)
k = self.w_ks(k).view(sz_b, len_k, n_head, d_k)
v = self.w_vs(v).view(sz_b, len_v, n_head, d_v)
# Transpose for attention dot product: b x n x lq x dv
q, k, v = q.transpose(1, 2), k.transpose(1, 2), v.transpose(1, 2)
if mask is not None:
mask = mask.unsqueeze(1) # For head axis broadcasting.
q, attn = self.attention(q, k, v, mask=mask)
#q (sz_b,n_head,N=len_q,d_k)
#k (sz_b,n_head,N=len_k,d_k)
#v (sz_b,n_head,N=len_v,d_v)
# Transpose to move the head dimension back: b x lq x n x dv
# Combine the last two dimensions to concatenate all the heads together: b x lq x (n*dv)
q = q.transpose(1, 2).contiguous().view(sz_b, len_q, -1)
#q (sz_b, len_q, n_head, N * d_k)
# 最终的输出矩阵 Z
q = self.dropout(self.fc(q))
# Add & Norm 层
q += residual
q = self.layer_norm(q)
return q, attn2.2.4. Feed Forward Network
实现前向传播网络。
class PositionwiseFeedForward(nn.Module):
''' A two-feed-forward-layer module '''
def __init__(self, d_in, d_hid, dropout=0.1):
super().__init__()
self.w_1 = nn.Linear(d_in, d_hid) # position-wise
self.w_2 = nn.Linear(d_hid, d_in) # position-wise
self.layer_norm = nn.LayerNorm(d_in, eps=1e-6)
self.dropout = nn.Dropout(dropout)
def forward(self, x):
residual = x
# 两层 FCs + Dropout
x = self.w_2(F.relu(self.w_1(x)))
x = self.dropout(x)
# Add & Norm 层
x += residual
x = self.layer_norm(x)
return x2.2.5. Encoder Layer
实现图 26 中的一个Encoder Layer,具体的结构见图 19。
class EncoderLayer(nn.Module):
''' Compose with two layers '''
def __init__(self, d_model, d_inner, n_head, d_k, d_v, dropout=0.1):
super(EncoderLayer, self).__init__()
# MHA + Add & Norm
self.slf_attn = MultiHeadAttention(n_head, d_model, d_k, d_v, dropout=dropout)
# FFN + Add & Norm
self.pos_ffn = PositionwiseFeedForward(d_model, d_inner, dropout=dropout)
def forward(self, enc_input, slf_attn_mask=None):
enc_output, enc_slf_attn = self.slf_attn(enc_input, enc_input, enc_input, mask=slf_attn_mask)
enc_output = self.pos_ffn(enc_output)
return enc_output, enc_slf_attn2.2.6. Decoder Layer
实现图 26 中的一个 Decoder Layer,具体的结构见图19。
class DecoderLayer(nn.Module):
''' Compose with three layers '''
def __init__(self, d_model, d_inner, n_head, d_k, d_v, dropout=0.1):
super(DecoderLayer, self).__init__()
self.slf_attn = MultiHeadAttention(n_head, d_model, d_k, d_v, dropout=dropout)
self.enc_attn = MultiHeadAttention(n_head, d_model, d_k, d_v, dropout=dropout)
self.pos_ffn = PositionwiseFeedForward(d_model, d_inner, dropout=dropout)
def forward(self, dec_input, enc_output, slf_attn_mask=None, dec_enc_attn_mask=None):
# MMHA + Add & Norm
dec_output, dec_slf_attn = self.slf_attn(dec_input, dec_input, dec_input, mask=slf_attn_mask)
# MHA + Add & Norm
dec_output, dec_enc_attn = self.enc_attn(dec_output, enc_output, enc_output, mask=dec_enc_attn_mask)
# FFN + Add & Norm
dec_output = self.pos_ffn(dec_output)
return dec_output, dec_slf_attn, dec_enc_attn2.2.7. Encoder
实现图 26、19 左侧的 Encoder。
class Encoder(nn.Module):
''' A encoder model with self attention mechanism. '''
def __init__(
self, n_src_vocab, d_word_vec, n_layers, n_head, d_k, d_v,
d_model, d_inner, pad_idx, dropout=0.1, n_position=200):
super().__init__()
self.src_word_emb = nn.Embedding(n_src_vocab, d_word_vec, padding_idx=pad_idx)
self.position_enc = PositionalEncoding(d_word_vec, n_position=n_position)
self.dropout = nn.Dropout(p=dropout)
self.layer_stack = nn.ModuleList([
EncoderLayer(d_model, d_inner, n_head, d_k, d_v, dropout=dropout)
for _ in range(n_layers)])
self.layer_norm = nn.LayerNorm(d_model, eps=1e-6)
def forward(self, src_seq, src_mask, return_attns=False):
enc_slf_attn_list = []
# -- Forward --
# Input Embedding + Position Embedding + Dropout + Norm
enc_output = self.dropout(self.position_enc(self.src_word_emb(src_seq)))
enc_output = self.layer_norm(enc_output)
# N × Encoder Block
for enc_layer in self.layer_stack:
enc_output, enc_slf_attn = enc_layer(enc_output, slf_attn_mask=src_mask)
enc_slf_attn_list += [enc_slf_attn] if return_attns else []
if return_attns:
return enc_output, enc_slf_attn_list
return enc_output,2.2.8. Decoder
实现图 26,19 右侧的 Decoder。
class Decoder(nn.Module):
''' A decoder model with self attention mechanism. '''
def forward(self, trg_seq, trg_mask, enc_output, src_mask, return_attns=False):
dec_slf_attn_list, dec_enc_attn_list = [], []
# -- Forward --
dec_output = self.dropout(self.position_enc(self.trg_word_emb(trg_seq)))
dec_output = self.layer_norm(dec_output)
for dec_layer in self.layer_stack:
dec_output, dec_slf_attn, dec_enc_attn = dec_layer(
dec_output, enc_output, slf_attn_mask=trg_mask, dec_enc_attn_mask=src_mask)
dec_slf_attn_list += [dec_slf_attn] if return_attns else []
dec_enc_attn_list += [dec_enc_attn] if return_attns else []
if return_attns:
return dec_output, dec_slf_attn_list, dec_enc_attn_list
return dec_output,2.2.9. 整体结构
实现图 26,19 整体的 Transformer。
class Transformer(nn.Module):
''' A sequence to sequence model with attention mechanism. '''
def __init__(
self, n_src_vocab, n_trg_vocab, src_pad_idx, trg_pad_idx,
d_word_vec=512, d_model=512, d_inner=2048,
n_layers=6, n_head=8, d_k=64, d_v=64, dropout=0.1, n_position=200,
trg_emb_prj_weight_sharing=True, emb_src_trg_weight_sharing=True):
super().__init__()
self.src_pad_idx, self.trg_pad_idx = src_pad_idx, trg_pad_idx
self.encoder = Encoder(
n_src_vocab=n_src_vocab, n_position=n_position,
d_word_vec=d_word_vec, d_model=d_model, d_inner=d_inner,
n_layers=n_layers, n_head=n_head, d_k=d_k, d_v=d_v,
pad_idx=src_pad_idx, dropout=dropout)
self.decoder = Decoder(
n_trg_vocab=n_trg_vocab, n_position=n_position,
d_word_vec=d_word_vec, d_model=d_model, d_inner=d_inner,
n_layers=n_layers, n_head=n_head, d_k=d_k, d_v=d_v,
pad_idx=trg_pad_idx, dropout=dropout)
self.trg_word_prj = nn.Linear(d_model, n_trg_vocab, bias=False)
for p in self.parameters():
if p.dim() > 1:
nn.init.xavier_uniform_(p)
assert d_model == d_word_vec, \
'To facilitate the residual connections, \
the dimensions of all module outputs shall be the same.'
self.x_logit_scale = 1.
if trg_emb_prj_weight_sharing:
# Share the weight between target word embedding & last dense layer
self.trg_word_prj.weight = self.decoder.trg_word_emb.weight
self.x_logit_scale = (d_model ** -0.5)
if emb_src_trg_weight_sharing:
self.encoder.src_word_emb.weight = self.decoder.trg_word_emb.weight
def forward(self, src_seq, trg_seq):
# source mask:用于产生 Encoder 的 mask,它是一列 Bool 值,负责把标点 mask 掉
src_mask = get_pad_mask(src_seq, self.src_pad_idx)
# target mask:用于产生 Decoder 的 mask。它是一个矩阵,如图 24 中的 mask 所示,功能已在上文介绍
trg_mask = get_pad_mask(trg_seq, self.trg_pad_idx) & get_subsequent_mask(trg_seq)
enc_output, *_ = self.encoder(src_seq, src_mask)
dec_output, *_ = self.decoder(trg_seq, trg_mask, enc_output, src_mask)
seq_logit = self.trg_word_prj(dec_output) * self.x_logit_scale
return seq_logit.view(-1, seq_logit.size(2))2.2.10. 产生 Mask
def get_pad_mask(seq, pad_idx):
return (seq != pad_idx).unsqueeze(-2)
def get_subsequent_mask(seq):
''' For masking out the subsequent info. '''
sz_b, len_s = seq.size()
subsequent_mask = (1 - torch.triu(
torch.ones((1, len_s, len_s), device=seq.device), diagonal=1)).bool()
return subsequent_mask参考资料













