Softmax激活函数函数:
Softmax激活函数用于多分类过程中,它将多个神经元的输出,映射到(0,1)区间内,可以看成概率来理解,从而来进行多分类!
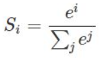
某个神经元的输出的值i ,则经过SoftMax函数的输出为Si,公式为:

示意图如下:

SoftMax的损失函数,以及下降方法:
要使用梯度下降,肯定需要一个损失函数,这里我们使用交叉熵作为我们的损失函数。也就是最小化训练数据与模型数据分布的KL散度 (等价于交叉熵)。
交叉熵的公式:

这里xi表示
所以可以建立损失函数:

其中x表示事件类型,共有i类,
表示xi
出现的次数,
表示
事件出现的概率。
所以有:

表示
事件类型的概率,就是softmax函数的输出值。
下面考虑一次实验的情况,因为一次实验只有
事件发生一次,
在这种情况下就是1。
设y为真实分类i时为1,其他情况为0,则对于一次实验,损失函数有:

ai是代表i类发生的概率,由SoftMax函数表示。
提一句最大似然与交叉熵的关系:更传统的机器学习说法是似然函数的最大化(当然要取log)就是交叉熵。
/
让我们接着说,在现实中我们认为除了预测目标的标记为y=1,其他的分类应该都是y=0。为了形式化说明,我这里认为训练数据的真实输出为第j个为1,其它均为0,那损失函数就变成了:
![]()
并且此时yj=1,所以有了非常简单的损失函数:
![]()
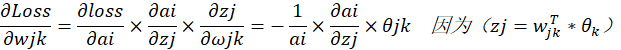
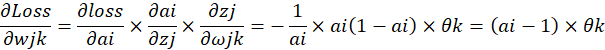
然后对某节点进行求偏导,以经典的神经网络形式来说明(也就是具有输入层、
隐藏层、输出层三个层级的神经网络,其中输入层到隐藏层是线性转换,隐藏层到输出层为softmax激活函数)拿一个语言分类器神经网络举例子:

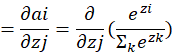
设ai为当前经过softmax处理的输出层节点的输出,
为输出层的某节点的输出(没经过softmax处理之前的输出),
是隐藏层的k节点到隐藏层的权值:

由于
和
都已知,所以重点是求解
:
这个式子有两种情况,第一种就是当前分类节点(所谓当前分类节点就是当前求得的经过softmax函数输出最大的节点)求导,一种是对其他分类节点求导:
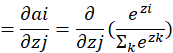
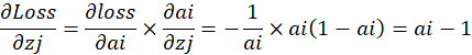
(i)对当前分类节点求导, j=i时即a的下标等于z的下标的情况下:

:



带入原式,对输出层节点求偏导:

可以看到,输出层经过softmax的节点对输出层节点求偏导,当最大的softmax输出对应的分类与输出层分类一致时,求对输出层节点的偏导只要将对应的最大的softmax输出层节点输出减1即可。
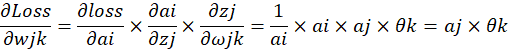
进一步可以接着求,隐藏层节点到输出层节点的权值偏导:

反向传播:

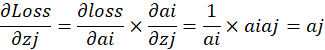
(ii)对其他分类节点求导, i≠j时即a的下标不等于z的下标时:

:



带入原式,对输出层节点求偏导:

可以看到,输出层经过Softmax的节点对输出层节点求偏导,当最大的Softmax输出对应的分类与输出层分类不一致时,求对输出层节点的偏导只要保持不变即可。
进一步可以接着求,隐藏层节点到输出层节点的权值偏导:

反向传播:

这样所有的节点就都可以反向传播到了。
分割线/
举个小例子:
举个例子,通过若干层的计算,最后得到的某个训练样本的输出向量是
,那么经过softmax激活函数作用后的输出分别就是:

如果真实情况下,第二种分类是正确的,那么softmax激活函数作用后的输出对输出向量的偏导数为
![]()
然后就可以反向传播了。
分割线/
但是这还有完,因为刚刚我们解决的是一次采样的。那么多次采样形成一批的话会有什么区别呢?
我们已经知道,一次实验的损失函数是:

第一种角度:
从交叉熵角度来说:
根据前面交叉熵公式:

设
发生的次数为
,则有:
![]()
所以有:

相当于:

这样属于i类的实验会叠加使得系数变为
,使得上面两个式子等价了,这样就可以处理批量的样本了。
第二种角度:
从极大似然函数来说:
一次实验中i事件发生的概率
为:

一批样本中最大似然函数为:

取相反数,这样最小值就是最大值。

两边取对数

由于上式子遍历类型i,将每种事件发生的对数概率按照发生次数
叠加,等同于遍历整批样本N,将每个样本发生的各事件的概率进行叠加:

然后
是个常数,所以有:

这个式子的问题是与N有关,随着N的增加,式子有变小的趋势。所以要进行归一化,除以这批样本的总数:

这样就和上面的式子一致了。
参考:
https://www.zhihu.com/question/23765351/answer/240869755
Softmax 函数的特点和作用是什么?
https://www.cnblogs.com/yanshw/p/10443735.html
softmax与多分类
https://www.zhihu.com/question/65288314/answer/849294209
为什么交叉熵(cross-entropy)可以用于计算代价?