文章目录
主要内容
- 等值式与基本的等值式
- 等值演算与置换规则
- 析取范式与合取范式,主析取范式与主合取范式
- 联结词完备集
- 可满足性问题与消解法
一 等值式
1 等值式
定义2.1 若等价式A↔B是重言式,则称A与B等值,记作A<=>B,并称A<=>B是等值式
几点说明:
- 定义中,A, B, <=>均为元语言符号
- A或B中可能有哑元出现.
例如 (p→q)<=> (( ¬p∨q)∨(¬r∧r)) r为左边公式的哑元.- 用真值表可检查两个公式是否等值
请验证:
p→(q→r) <=> (p∧q) →r
p→(q→r) 不与 (p→q) →r 等值
2 等值式例题
例1 判断下列各组公式是否等值:
(1) p→(q→r) 与 (p∧q) →r
结论: p→(q→r) <=> (p∧q) →r
(2) p→(q→r) 与 (p→q) →r
结论:p→(q→r) 与 (p→q) →r 不等值
3 基本等值式
- 双重否定律 ¬¬A<=>A
- 幂等律 A∨A<=>A, A∧A<=>A
- 交换律 A∨B<=>B∨A, A∧B<=>B∧A
- 结合律 (A∨B)∨C<=>A∨(B∨C), (A∧B)∧C<=>A∧(B∧C)
- 分配律 A∨(B∧C)<=>(A∨B)∧(A∨C),
A∧(B∨C)<=>(A∧B)∨(A∧C) - 德摩根律 ¬(A∨B)<=>¬A∧¬B
¬(A∧B)<=>¬A∨¬B - 吸收律 A∨(A∧B)<=>A, A∧(A∨B)<=>A
- 零律 A∨1<=>1, A∧0<=>0
- 同一律 A∨0<=>A. A∧1<=>A
- 排中律 A∨¬A<=>1
- 矛盾律 A∧¬A<=>0
- 蕴涵等值式 A→B<=>¬A∨B
- 等价等值式 A↔B<=>(A→B)∧(B→A)
- 假言易位 A→B<=>¬B→¬A
- 等价否定等值式 A↔B<=>¬A↔¬B
- 归谬论 (A→B)∧(A→¬B) <=>¬A
特别提示:必须牢记这16组等值式,这是继续学习的基础
4 等值演算与置换规则
- 等值演算——由已知的等值式推演出新的等值式的过程
- 等值演算的基础:
(1) 等值关系的性质:自反性、对称性、传递性
(2) 基本的等值式
(3) 置换规则(见3) - 置换规则
设 Φ(A) 是含公式 A 的命题公式,Φ(B) 是用公式 B 置换
Φ(A) 中所有的 A 后得到的命题公式
若 B<=>A,则Φ(B)<=>Φ(A)
5 等值演算的应用举例
证明两个公式等值
- 例2 证明 p→(q→r) <=> (p∧q)→r
证 p→(q→r)
<=> ¬p∨(¬q∨r) (蕴涵等值式,置换规则)
<=> (¬p∨¬q)∨r (结合律,置换规则)
<=> ¬(p∧q)∨r (德摩根律,置换规则)
<=> (p∧q)→r (蕴涵等值式,置换规则)
今后在注明中省去置换规则
注意:用等值演算不能直接证明两个公式不等值
证明两个公式不等值
- 例3 证明 p→(q→r) 与 (p∧q)→r 不等值
证
方法一 真值表法, 见例1(2)
方法二 观察法. 观察到000, 010是左边的成真赋值,是右边的成假赋值
方法三 先用等值演算化简公式,然后再观察
p→(q→r) <=>¬p∨¬q∨r
(p→q)→r <=>¬(¬p∨q)∨r<=>(p∧¬q)∨r
更容易看出前面的两个赋值分别是左边的成真赋
值和右边的成假赋值
判断公式类型: A为矛盾式当且仅当A <=> 0
A为重言式当且仅当A <=>1
- 例4 用等值演算法判断下列公式的类型
(1) q∧¬(p→q)
(2) (p→q) ↔(¬q→¬p)
(3) ((p∧q)∨(p∧¬q))∧r)
解 (1) q∧¬(p→q)
<=> q∧¬(¬p∨q) (蕴涵等值式)
<=> q∧(p∧¬q) (德摩根律)
<=> p∧(q∧¬q) (交换律,结合律)
<=> p∧0 (矛盾律)
<=> 0 (零律)
矛盾式
(2) (p→q) ↔(¬q→¬p)
<=> (¬p∨q)↔(q∨¬p) (蕴涵等值式)
<=> (¬p∨q)↔(¬p∨q) (交换律)
<=> 1
重言式
(3) ((p∧q)∨(p∧¬q))∧r)
<=> (p∧(q∨¬q))∧r (分配律)
<=> p∧1∧r (排中律)
<=> p∧r (同一律)
可满足式,101和111是成真赋值,000和010等是成假赋值.
二 析取范式与合取范式
基本概念
(1) 文字——命题变项及其否定的总称
(2) 简单析取式——有限个文字构成的析取式
p, ¬q, p∨¬q, p∨q∨r, …
(3) 简单合取式——有限个文字构成的合取式
p, ¬q, p∧¬q, p∧q∧r, …
(4) 析取范式——由有限个简单合取式组成的析取式
p, ¬p∧q, p∨¬q, (p∧¬q)∨(¬p∧q∧¬r)∨(q∧r)
(5) 合取范式——由有限个简单析取式组成的合取式
p, p∨¬q, ¬p∧q, (p∨q∧¬p)∧(p∨¬q∨¬r)
(6) 范式——析取范式与合取范式的总称
说明:
- 单个文字既是简单析取式,又是简单合取式
- 形如 p∧¬q∧r, ¬p∨q∨¬r 的公式既是析取范式,又是合取范式
1 范式的性质
定理2.1 (1) 一个简单析取式是重言式当且仅当它同时含有某个命题变项和它的否定式.
(2) 一个简单合取式是矛盾式当且仅当它同时含有某个命题变项和它的否定式.
定理2.2 (1) 一个析取范式是矛盾式当且仅当它每个简单合取式都是矛盾式.
(2) 一个合取范式是重言式当且仅当它的每个简单析取式都是重言式.
定理2.3(范式存在定理)
任何命题公式都存在与之等值的析取范式与合取范式
公式A的析取(合取)范式-与A等值的析取(合取)范式
求公式A的范式的步骤
(1) 消去A中的→, ↔(若存在)
A→B<=>¬A∨B
A↔B<=>(¬A∨B)∧(A∨¬B)
(2) 否定联结词¬的内移或消去
¬ ¬A<=> A
¬(A∨B)<=> ¬A∧¬B
¬(A∧B)<=> ¬A∨¬B
(3) 使用分配律
A∨(B∧C)<=> (A∨B)∧(A∨C) 求合取范式
A∧(B∨C)<=> (A∧B)∨(A∧C) 求析取范式
公式范式的不足——不惟一
例5 求下列公式的析取范式与合取范式
(1) (p→¬q)∨¬r
(2) (p→¬q)→r
解 (1) (p→¬q)∨¬r
<=> (¬p∨¬q)∨¬r (消去→)
<=> ¬p∨¬q∨¬r (结合律)
最后结果既是析取范式(由3个简单合取式组成的析取式),又
是合取范式(由一个简单析取式组成的合取式)
(2) (p→¬q)→r
<=> (¬p∨¬q)→r (消去第一个→)
<=> ¬(¬p∨¬q)∨r (消去第二个→)
<=> (p∧q)∨r (否定号内移——德摩根律) 析取范式
<=> (p∨r)∧(q∨r) (∨对∧分配律) 合取范式
2 极小项与极大项
定义2.4 在含有n个命题变项的简单合取式(简单析取式)
中,若每个命题变项均以文字的形式在其中出现且仅出现
一次,而且第i个文字出现在左起第i位上(1<=i<=n),称这
样的简单合取式(简单析取式)为极小项(极大项).
几点说明:
n个命题变项有2n个极小项和2n个极大项
2n个极小项(极大项)均互不等值
用mi表示第i个极小项,其中i是该极小项成真赋值的十进制表示. 用Mi表示第i个极大项,其中i是该极大项成假赋值的十进制表示. mi(Mi)称为极小项(极大项)的名称.
3 实例
由两个命题变项 p, q 形成的极小项与极大项
由三个命题变项 p, q, r 形成的极小项与极大项.
mi与Mi的关系: ¬mi <=> Mi, ¬Mi <=> mi
4 主析取范式与主合取范式
主析取范式——由极小项构成的析取范式
主合取范式——由极大项构成的合取范式
例如,n=3, 命题变项为 p, q, r 时,
(¬p∧¬q∧r)∨(¬p∧q∧r) <=> m1∨m3 ——主析取范式
(p∨q∨¬r)∧(¬p∨¬q∨¬r) <=> M1∨M7——主合取范式
公式A的主析取(合取)范式——与A 等值的主析取(合取)范式
定理2.5 (主范式的存在惟一定理)
任何命题公式都存在与之等值的主析取范式和主合取范式,
并且是惟一的
5 求公式主范式的步骤
求公式主析取范式的步骤:
设公式A含命题变项p1,p2,…,pn
(1) 求A的析取范式A’=B1∨ B2∨ … ∨ Bs , 其中Bj是简单合取
式 j=1,2, … ,s
(2) 若某个Bj既不含pi, 又不含¬pi, 则将Bj展开成
Bj <=> Bj∧(pi∨¬pi) <=> (Bj∧pi)∨(Bj∧¬ pi)
重复这个过程, 直到所有简单合取式都是长度为n的极小项为止
(3) 消去重复出现的极小项, 即用mi代替mi∧mi
(4) 将极小项按下标从小到大排列
6 实例
例6 (1) 求公式 A=(p→¬q)→r的主析取范式和主合取范式

7 主范式的应用
1.求公式的成真成假赋值
设公式A含n个命题变项, A的主析取范式有s个极小项, 则A有s个成真赋值, 它们是极小项下标的二进制表示, 其余2n -s个赋值都是成假赋值
例如 (p→¬q)→r <=> m1∨m3∨m5∨ m6∨m7
成真赋值为 001, 011, 101, 110, 111,
成假赋值为 000, 010, 100.
类似地,由主合取范式也立即求出成假赋值和成真赋值.
2. 判断公式的类型
设A含n个命题变项.
A为重言式<=> A的主析取范式含全部2n个极小项
<=> A的主合取范式不含任何极大项, 记为1.
A为矛盾式 <=> A的主合析取范式含全部2n个极大项
<=> A的主析取范式不含任何极小项, 记为0.
A为非重言式的可满足式
<=>A的主析取范式中至少含一个、但不是全
部极小项
<=>A的主合取范式中至少含一个、但不是全
部极大项.
例7 用主析取范式判断公式的类型:
3. 判断两个公式是否等值
例8 用主析取范式判以下每一组公式是否等值
显见,⑴中的两公式等值,而⑵的不等值.
4. 解实际问题
例9 某单位要从A,B,C三人中选派若干人出国考察, 需满足下
述条件:
(1) 若A去, 则C必须去;
(2) 若B去, 则C不能去;
(3) A和B必须去一人且只能去一人.
问有几种可能的选派方案?
解 记 p:派A去, q:派B去, r:派C去
(1) p→ r, (2) q→ ¬r, (3) (p∧¬q)∨(¬p∧q)
求下式的成真赋值
A=(p→r)∧(q→¬r)∧((p∧¬q)∨(¬p∧q))
求A的主析取范式
成真赋值:101,010
结论: 方案1 派A与C去, 方案2 派B去
由主析取范式确定主合取范式
例10 设A有3个命题变项, 且已知A= m1∨m3∨m7, 求A的主合取
范式.
解 A的成真赋值是1,3,7的二进制表示, 成假赋值是在主析取范式中没有出现的极小项的下角标0,2,4,5,6的二进制表示, 它们恰好是A的主合取范式的极大项的下角标, 故
A <=> M0∧M2∧M4∧M5∧M6
由主合取范式确定主析取范式
用真值表确定主范式
三 联结词的完备集
真值函数
定义2.6 称F:{0,1}n→ {0,1} 为n元真值函数.
{0,1} n ={00…0, 00…1, …, 11…1},包含
2^(2 ^n)次个长为n的0,1符号串.
共有 2的(2的n次)个n元真值函数.
1元真值函数
2元真值函数

任何一个含n个命题变项的命题公式A都对应惟一的一个n元真值函数 F , F 恰好为A的真值表.
等值的公式对应的真值函数相同.
例如:p→ q, ¬p∨q 都对应F13(2)
联结词完备集
定义2.7 设S是一个联结词集合,如果任何n(n>=1) 元真值函
数都可以由仅含S中的联结词构成的公式表示,则称S是联结
词完备集
若S是联结词完备集, 则任何命题公式都可由S中的联结词表示
定理2.6 S = { ¬,∧ ,∨}是联结词完备集
证明 由范式存在定理可证
推论 以下都是联结词完备集
(1) S1 = {¬,∧ ,∨,→} (2) S2 = {¬,∧ ,∨,→, ↔}
(3) S3 = {¬,∧} (4) S4 = {¬,∨}
(5) S5 = {¬, →}
证明
(1),(2) 在联结词完备集中加入新的联结词后仍为完备集
(3) A∨B <=> ¬(¬A∧¬B)
(4) A∧B <=> ¬(¬A∨¬B)
(5) A→B<=>¬A∨B
{∧,∨,→,↔}不是联结词完备集, 0不能用它表示
它的子集{∧},{∨},{→},{↔},{∧,∨},{∧,∨,→}等都不是
复合联结词
定义2.8 设 p, q 为两个命题,¬(p∧q)称作p与q的与非式, 记作
p↑q, 即 p↑q <=> ¬(p∧q), ↑称为与非联结词
¬(p∨q) 称作 p 与 q 的或非式, 记作 p↓q, 即 p↓q <=>¬(p∨q), ↓
称为或非联结词
定理2.7 {↑}与{↓}为联结词完备集.
证明 {¬, ∧, ∨}为完备集
¬p <=> ¬p∧¬p <=> ¬(p∨p)<=> p↓p
p∧q <=> ¬(¬p∨¬q) <=> ¬p↓¬q <=> (p↓p)↓(q↓q)
p∨q <=>¬¬(p∨q) <=> ¬(p↓q) <=> (p↓q)↓(p↓q)
得证{↓}为联结词完备集. 对{↑}类似可证
四 可满足性问题与消解法
不含任何文字的简单析取式称作空简单析取式,记作λ.
规定λ是不可满足的.
约定:简单析取式不同时含某个命题变项和它的否定
S:合取范式, C:简单析取式, l:文字, α:赋值, 带下角标或 ’
文字l的补lc:若l=p,则lc=¬p;若l=¬p,则lc=p.
S≈S’:S是可满足的当且仅当S’ 是可满足的
消解规则
定义2.9 设C1=l∨C1’, C2=lc∨C2’, C1’和C2’不含l和lc, 称C1’∨C2’为
C1和C2(以l和lc为消解文字)的消解式或消解结果, 记作
Res(C1,C2)
例如, Res(¬p∨q∨r, p∨q∨¬s)= q∨r∨¬s
消解序列与合取范式的否证

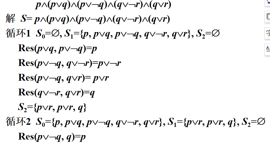
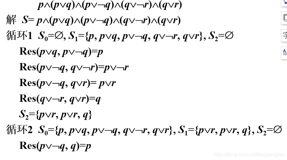
消解算法


消解算法例题
例12 用消解算法判断下述公式是否是可满足的:

