1 引言
气中云的产生、发展、演变,对地-气系统的辐射平衡以及全球气候变化具有重要的调节作用(
CloudSat卫星是首颗专门设计用于观测全球的云层特征的太阳同步轨道卫星,属于美国宇航局(NASA)发射的A-Train系列卫星之一(
表 1 云廓线雷达的主要参数
Table 1 Introduction of CPR parameters
参数名称
参数值
水平分辨率
2.5 km(沿轨)×1.4 km(跨轨)
垂直分辨率
分125层,每一层代表气柱高度约为240 m
额定频率
94 GHz
脉冲宽度
3.3 μs
PRF(脉冲重复频率)
4300 Hz
最小可探测灵敏度
< -29 dBz
数据窗口
0—25 km
天线口径
1.85 m
动态范围
70 dB
天底角
0.16°
CALIPSO(Cloud-Aerosol Lidar and Infrared Pathfinder Satellite Observation)是与CloudSat同时发射升空的卫星,同属于A-Train系列卫星,其轨道与CloudSat相同,仅落后CloudSat卫星10—15 s。它是首颗搭载532、1064 nm波段的双通道的云-气溶胶正交偏振激光雷达(Cloud-Aerosol Lidar with Orthogonal Polarization,CALIOP)的卫星,能够同时测得高空的微弱水汽凝结层以及光学厚度较薄的冰云,因而与CloudSat结合能探测到更为完整的云垂直结构(
在CloudSat卫星升空以前,主要利用始于1983年的国际卫星云气候计划(ISCCP)的卫星探测资料对云量进行统计研究。ISCCP是一项联合全球多颗静止卫星和极轨卫星的观测资料专门对云进行全球性观测和研究的科学计划(
CloudSat卫星发射后,更为精确地发现了卷云的全球分布特征(
但是大部分云分布的统计研究中,没有详尽地划分云类、云相以及云层的数量。要对全球气候模式进行改进,全球范围详尽的云气候特征分析非常重要(
2 资料与方法2.1 CloudSat卫星的数据产品介绍
CloudSat数据处理中心目前有5种产品类型,分别为1、2、3级产品、与其他卫星的联合产品以及辅助型产品(
表 2 CloudSat的主要数据产品介绍*
Table 2 Introduction of main data products of CloudSat
产品名称
产品内容
1B-CPR
云廓线雷达(CPR)后向散射回波功率
2B-GEOPROF
水凝物(区别于雷达杂波和噪声)的雷达反射率的垂直分布
2B-GEOPROF-LIDAR
结合CALIOP激光雷达信号的雷达反射率的垂直分布
2B-CLDCLASS
云的分类产品
2B-CLDCLASS-LIDAR
结合云廓线雷达和CALIOP激光雷达的云分类产品
2B-CWC-RVOD
雷达和可见光学厚度探测的液态水/冰水含量
2B-FLXHR-LIDAR
结合云廓线雷达和CALIOP雷达反射率反演的辐射通量和加热率
2C-ICE
结合云廓线雷达和CALIOP雷达反射率反演的云冰水含量
ECMWF-AUX
结合CloudSat轨道的ECMWF再分析资料
2.2 统计方法
选取2B-CLDCLASS-LIDAR产品2007年3月—2010年2月的数据进行统计分析,

图 1 2B-CLDCLASS-LIDAR产品2007年3月—2008年2月的样本数据分布
(a.春季,b.夏季,c.秋季,d.冬季)
Figure 1 Global distributions of samples of 2B-CLDCLASS-LIDAR product from March 2007 to February 2008
(a.spring, b.summer, c.autumn, d.winter)
2.2.1 不同云类(云相)的云全球分布的统计方法
对全球的经纬度进行5°×5°的格点化,并计算云量

(1)
式中,t为每3个月(1个季度)的观测数据的廓线数,i、j分别代表经度和纬度的格点数,Ntotal(n)代表第n个产品数据落在该格点内的总廓线数,Ncloud(m)代表第m个产品数据落在该格点内的在10层云层中观测到该云类(云相)的廓线数。
2.2.2 不同云相的云量纬向-垂直分布的统计方法
对于垂直方向上的云量统计,先对纬度以及高度进行网格化,其中纬度的网格距取2.5°,高度的网格距取0.2 km,范围取0—20 km,从而分成72×100个网格点,并计算云量

(2)
式中,t与式(1)相同,i、j分别代表纬度和高度的格点数,Hbase(m)、Htop(m)分别代表第m个观测数据在该格点观测到该云类(云相)的云底、云顶高度,Ncloud(n)与式(1)相同。
2.2.3 不同云类单、多层云出现概率的统计方法
在2B-CLDCLASS-LIDAR产品中,将云划分成10层,不同云类在不同云层中出现的次数不尽相同,于是对不同云类的多层云与单层云的区分统计有助于对云重叠现象的理解。各类云在不同云层数的云中出现的概率为

(3)
式中,t与式(1)相同,i=0时表示单层云,i=1时表示多层云,Ncloud(m)表示第m个产品数据中以单(多)层形式出现的该云类的廓线数,Ncloud(n)与式(1)相同。
3 2007—2010年8种云全球分布的四季平均变化特征3.1 卷云、深对流云

图 2 不同季节卷云(a1—a4)、深对流云(b1—b4)2007—2010年平均出现频率的全球分布
(a1、b1.春季,a2、b2.夏季,a3、b3.秋季,a4、b4.冬季)
Figure 2 Seasonal distributions of cloud occurrence frequencies of cirrus(a1-a4) and deep convective clouds (b1-b4) averaged from 2007 to 2010
(a1, b1.spring; a2, b2.summer; a3, b3.autumn; a4, b4.winter)
在卷云与深对流云的对比中,两者的分布格局均随着气压带和风带的季节性移动而南北移动,在热带地区的分布特征基本一致。研究表明,由于深对流云系统在热带高空的水平云砧具有卷云的特性,且有一定几率与已经存在的卷云相接,两者的分布格局具有相似性(
3.2 层云、层积云
由于层云与层积云的分布特征基本一致,所以结合起来讨论。

图 3 同
Figure 3 Same as
东太平洋赤道海域南侧靠近南美洲一带的层云平均云量占50%以上,夏、秋季节接近80%,安第斯山脉的地形阻挡使得洋面暖湿气流被迫抬升形成大范围的层状云。西风带常年有层云与层积云分布的原因主要是西风带在高空容易引起大范围的不规则扰动。层云与层积云在北半球春、夏季节的出现频率较高,而北半球秋、冬季节则在南半球的出现频率较高。说明层云与层积云的分布格局都随着全球温度带和风带的季节性移动而移动。
3.3 高层云、高积云

图 4 同
Figure 4 Same as
3.4 积云、雨层云

图 5 同
Figure 5 Same as
综合上述分析可以发现,层云与层积云的分布较为相似,高积云与层积云形成明显的海陆分布差异。
由于大范围的上升运动所形成的层状云主要包括卷云、高层云、雨层云等,雨层云与高层云的分布特征相似度较大,且在北半球冬季时在大陆上分布范围较广,主要是由于北半球冬季亚洲大陆有较为频繁且大范围的锋面气旋活动。卷云在中高纬度的分布特征与高层云基本一致,但在热带地区,可能由于深对流云的云砧发展,卷云的云量远高于高层云和雨层云。
在已有的ISCCP云分布的研究中,其模拟器输出的定量化云分布结果与AREM(Advanced Regional Eta-coordinate Model)模拟的云量对比提出了云量诊断方案的改进(
4 2007—2010年3种相态云的全球分布特征
依照云粒子的不同可分为水云、混合相态云以及冰云,云体的平均温度在0℃以上的云定义为水云,云顶温度在-20℃—-5℃而云底温度高于0℃的云定义为混合相态云,云底温度在-20℃—-5℃的云定义为冰云。利用CloudSat-CALIPSO卫星2B-CLDCLASS-LIDAR的2007—2010年数据集,对不同相态的云在全球的云量分布以及经向垂直分布进行了统计与分析。

图 6 3种云相的2007—2010年平均云量全球分布的四季(a—d.春—冬)变化特征
(a1—d1.冰云,a2—d2.混合相云,a3—d3水云)
Figure 6 Seasonal (a-d. spring-winter) distributions of cloud occurrence frequencies in three different cloud phases averaged from 2007 to 2010
(a1-d1. ice cloud, a2-b2. mixed cloud, a3-b3. liquid cloud)

图 7 3种云相的2007—2010年平均云量的纬向垂直分布的四季(a—d.春—冬)变化特征
(a1—d1.冰云,a2—d2.混合相云,a3—d3水云)
Figure 7 Latitude-height cross sections of seasonal (a-d. spring-winter) distributions of zonally averaged cloud occurrence frequencies of three different cloud phases averaged from 2007 to 2010
(a1-d1. ice cloud, a2-b2. mixed cloud, a3-b3. liquid cloud)
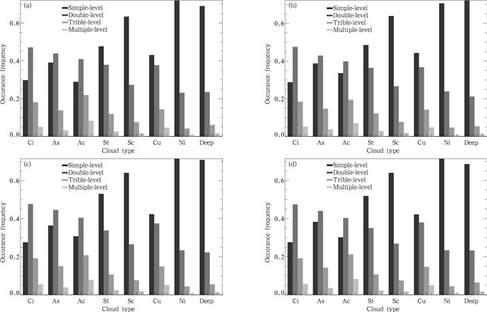
5 各云类2007—2010年平均单、多层形式出现概率
由

图 8 8种云类的2007—2010年平均四季(a—d.春—冬)单、多层形式概率分布
(颜色从深到浅分别对应单层云、双层云、三层云以及多层云的概率分布)
Figure 8 Histograms of seasonal (a-d. spring-winter) probability distribution of cloud layers for eight cloud types averaged from 2007 to 2010
(The color shades from deep to light correspond to single layer, double-layer, treble-layer and multiple-layer clouds)
6 总结与讨论
利用CloudSat/CALIPSO联合的2级云分类产品,分别对不同类型的云以及不同相态的云的云量全球分布、纬向垂直分布以及季节变化特征进行统计与分析。
对8种云类的统计中,主要发现卷云的分布以及季节变化与深对流云相似,主要集中在低纬度地区以及赤道辐合带。层云与层积云的分布格局较为相似,均匀分布在全球的洋面上,且陆地上的云量较少。高积云与层积云的分布格局形成明显的季节差异。高层云夏季主要分布在南半球的中、高纬度地区,冬季主要分布在北半球的中、高纬度地区,低纬度地区云量相对分布较低。高积云在低纬度地区的大陆上云量常年分布较高,且北半球中、高纬度地区在夏季云量较高,南半球中、高纬度地区在冬季云量较高。雨层云与积云的分布格局也形成明显对比,雨层云常年分布于中、高纬度地区,积云常年分布于中、低纬度的洋面上。
对3种相态云的统计中,主要发现冰云与水云在全球范围的云量分布较高,水云集中于中、低纬度地区的洋面,冰云分布广泛,且分布格局与卷云相似,混合相云的云量较低,主要分布于中、高纬度地区以及赤道辐合带。在垂直方向上,水云主要分布在低空,冰云主要分布在高空,且从赤道向两极递减,混合相云处于冰云与水云之间,并存在云量相对集中的随纬度变化的0—10 km弧形带。对8种云类的单、多层云出现概率的研究发现,层状云以多层云形式出现的概率较大,积云以单、双层云形式出现的概率相当,深对流云和雨层云以单层云形式出现的概率较大。
由8种详细云类的云量四季分布的结果还可以进一步与区域或全球气候模式的云量模拟结果相比较,进一步优化模式的云量诊断方案。其中积云、深对流云与已有的积云降水特征一致,层云、层积云、高层云和雨层云的分布特征与层云降水特征一致,验证了已有的降水特征的研究成果。
文中的统计只涉及到CloudSat/CALIPSO联合的2级产品数据,由于CloudSat和CALIPSO卫星属于极轨卫星,其观测的时间连续性较低,无法实现对云的连续观测以研究其分布的演变过程。同时,其窄视场也导致其无法完整地得到较大范围的天气系统,如台风以及大范围的锋面系统,在分析云的形成机制方面,造成一定困难。所以尚需结合其他卫星数据来弥补其不足。未来将结合MERRA再分析资料以及搭载在Aqua卫星的大气红外探测仪(AIRS)的温、湿度廓线数据,对不同云类在东亚地区洋面上的云量分布与大尺度环境条件的关系,进一步探讨云的分布形成机制。
致谢:
感谢NASA CloudSat Data Processing Center提供CloudSat和CALIPSO的二级云分类产品数据。