题目描述:
给定二叉搜索树(BST)的根节点 root 和一个整数值 val。
你需要在 BST 中找到节点值等于 val 的节点。 返回以该节点为根的子树。
如果节点不存在,则返回 null 。

示例 1:
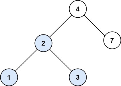
输入:root = [4,2,7,1,3], val = 2
输出:[2,1,3]
示例 2:
输入:root = [4,2,7,1,3], val = 5
输出:[]
提示:
数中节点数在 [1, 5000] 范围内
1 <= Node.val <= 107
root 是二叉搜索树
1 <= val <= 107

// 递归
/**
* Definition for a binary tree node.
* function TreeNode(val, left, right) {
* this.val = (val===undefined ? 0 : val)
* this.left = (left===undefined ? null : left)
* this.right = (right===undefined ? null : right)
* }
*/
/**
* @param {TreeNode} root
* @param {number} val
* @return {TreeNode}
*/
var searchBST = function(root, val) {
if (root == null) {
return null
}
if (root.val === val) {
return root
}
if (root.val > val) {
return searchBST(root.left, val)
}
if (root.val < val) {
return searchBST(root.right, val)
}
};
// 迭代
var searchBST = function (root, val) {
while (root) {
if (root.val === val) {
return root
}
if (root.val > val) {
root = root.left
} else {
root = root.right
}
}
return null
};
版权声明:本文为weixin_41198447原创文章,遵循CC 4.0 BY-SA版权协议,转载请附上原文出处链接和本声明。