目录
(5)torch.optim.Adam(AMSGrad)(实际中常用)
1、张量
import torch
a = torch.Tensor([[2, 3],
[4, 8],
[7, 9]])
b = torch.Tensor([[1, 2],
[2, 3],
[3, 4]])
c = torch.Tensor([[3, 4],
[2, 3]])
print(a.size()) # a为3*2的张量
print(torch.mm(a, c)) # 两张量相乘
print(torch.cat((a, b), 1)) # 两张量拼接
print(torch.mul(a, b)) # 两维度相同的张量对应元素相乘
print(torch.inverse(c)) # 张量求逆
d = c.numpy() # 张量转变为数组
print(d)
print(type(d))
e = torch.from_numpy(d) # 数组转变为张量
print(e)
print(type(e))
2、分类问题
监督学习分为回归问题与分类问题
Logistic回归:二分类问题中,是希望能找到一个区分度足够好的决策边界将两类分开
3、激活函数
存在必要性:如果没有激活函数的话,神经元的信号处理本质上就是一个线性组合,即使叠加再多层的神经元,整个神经网络也还是线性组合,这样就不能解决非线性的问题,所以激活函数的作用,是为神经网络引入非线性组合的能力,使其可以适用于复杂的应用场景。
正样本让激活函数激活变大,负样本让激活函数激活变小
(1)sigmoid函数

缺点:1>造成梯度消失,对多层网络十分不友好
2>sigmoid函数输出是非零均值的
3>收敛速度慢
(2)Tanh函数

解决了sigmoid函数中零均值问题,但依旧存在梯度消失问题
(3)ReLU函数

优点:1>简单
2>解决了梯度消失问题
缺点:1>对于负数,其导数为0,此时会出现神经元的参数永远无法更新的情况称之为神经元死亡,造成这种现象的原因由两个,第一种是在初始化参数时出现负值,第二种是学习率设置较大,导致参数更新幅度太大,出现负值。所以在使用ReLU时,对学习率的设置要注意,需要一个合适的较小的学习率
(4)SoftMax函数
作为输出层的激活函数,专门用于处理多分类问题

(5)Maxout函数
maxout是由人为设定的K个神经元构成的一层神经元,示意如下

对于maxout层的输出,取k个神经元输出值的最大值作为最终的输出值,这就是maxout的含义。maxout可以看作是分段的线性函数,可以拟合任意的凸函数,提供模型的拟合能力。
引入maxout层,意味着额外增加了一层权重和参数,使得神经网络整体的参数变多,计算量更大。
4、模型表示能力
1>拥有至少一个隐藏层的神经网络可以逼近任何连续函数
2>过拟合:模型复杂,但忽略了潜在的数据关系,将噪声放大了
5、反向传播算法
能够自动求导,从而根据导数来更新网络参数
6、优化算法
梯度下降:![]()
(1)torch.optim.SGD
torch.optim.SGD 可实现SGD优化算法,带动量SGD优化算法,带 NAG(Nesterov accelerated gradient) 动量SGD优化算法,并且有 weight_decay 项。
torch.optim.SGD(params,
lr=<required parameter>,
momentum=0,
dampening=0,
weight_decay=0,
nesterov=False)params (iterable):参数组,优化器要管理的那部分参数。
lr (float):初始学习率,可按需随着训练过程不断调整学习率。
momentum (float):动量,通常设置为0.9,0.8。
dampening (float):若采用 nesterov,dampening 必须为 0。
weight_decay (float):权值衰减系数,即L2正则项的系数。
nesterov (bool):bool,是否使用 NAG(Nesterov accelerated gradient)。
(2) torch.optim.Adagrad:
torch.optim.Adagrad(params,
lr=0.01,
lr_decay=0,
weight_decay=0,
initial_accumulator_value=0,
eps=1e-10)(3)torch.optim.RMSprop


torch.optim.RMSprop(params,
lr=0.01,
alpha=0.99,
eps=1e-08,
weight_decay=0,
momentum=0,
centered=False)(4)torch.optim.Adadelta
torch.optim.Adadelta(params,
lr=1.0,
rho=0.9,
eps=1e-06,
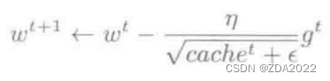
weight_decay=0)(5)torch.optim.Adam(AMSGrad)(实际中常用)
Adam是一种自适应学习率的优化方法,Adam利用梯度的一阶矩估计和二阶矩估计动态的调整学习率。Adam 结合了 RMSprop 和 Momentum,并进行了偏差修正,是非常常用的优化算法。
torch.optim.Adam(params,
lr=0.001,
betas=(0.9, 0.999),
eps=1e-08,
weight_decay=0,
amsgrad=False)(6)torch.optim.Adamax
torch.optim.Adamax(params,
lr=0.002,
betas=(0.9, 0.999),
eps=1e-08,
weight_decay=0)(7)torch.optim.SparseAdam
torch.optim.SparseAdam(params,
lr=0.001,
betas=(0.9, 0.999),
eps=1e-08)(8) torch.optim.AdamW
torch.optim.AdamW(params,
lr=0.001,
betas=(0.9, 0.999),
eps=1e-08,
weight_decay=0.01,
amsgrad=False)(9) torch.optim.ASGD
torch.optim.ASGD(params,
lr=0.01,
lambd=0.0001,
alpha=0.75,
t0=1000000.0,
weight_decay=0)(10)torch.optim.LBFGS
torch.optim.LBFGS(params, lr=1,
max_iter=20,
max_eval=None,
tolerance_grad=1e-07,
tolerance_change=1e-09,
history_size=100,
line_search_fn=None)(11)torch.optim.Rprop
torch.optim.Rprop(params,
lr=0.01,
etas=(0.5, 1.2),
step_sizes=(1e-06, 50))7、处理数据和训练模型的技巧
(1)预处理阶段:
1>中心化:所有数据减去均值,使得均值为0
2>标准化:方法一:除以标准差,使得分布接近高斯分布
方法二:按比例缩放到-1~1之间
3>PCA(主成分分析):能够降低数据的维度
4>白噪声:与PCA一样,先将数据投影到一个特征空间,再每个维度除以特征值来标准化数据,使得数据呈(0,1)的多元高斯分布
(2)权重初始化
1>全0(不可取)
2>随机初始化:高斯随机化,均匀随机化
3>稀疏初始化:(使用较少)
4>初始化偏置:(bias)
5>批标准化:通常在全连接层后面,非线性层前面(标准技术)
(3)防止过拟合:
一般采用全局权重L2正则化搭配Dropout
1>正则化:L2正则化使用较多(对权重过大的部分进行惩罚)
2>Dropout:训练网络时依概率P保留每个神经元
8、多层全连接层实现手写数字识别
import torch
import torch.nn as nn
import torch.nn.functional as F
import torch.optim as optim
from torchvision import datasets, transforms
import torchvision
from torch.autograd import Variable
from torch.utils.data import DataLoader
import cv2
# 数据集加载
train_dataset = datasets.MNIST(
root='./num/',
train=True,
transform=transforms.ToTensor(),
download=True
)
test_dataset = datasets.MNIST(
root='./num/',
train=False,
transform=transforms.ToTensor(),
download=True
)
batch_size = 64
train_loader = torch.utils.data.DataLoader(
dataset=train_dataset,
batch_size=batch_size,
shuffle=True
)
test_loader = torch.utils.data.DataLoader(
dataset=test_dataset,
batch_size=batch_size,
shuffle=True
)
# 单批次数据预览
# 实现单张图片可视化
images, labels = next(iter(train_loader))
img = torchvision.utils.make_grid(images)
img = img.numpy().transpose(1, 2, 0)
std = [0.5, 0.5, 0.5]
mean = [0.5, 0.5, 0.5]
img = img * std + mean
print(labels)
cv2.imshow('win', img)
key_pressed = cv2.waitKey(0)
# 神经网络模块
class LeNet(nn.Module):
def __init__(self, in_dim=None, n_hidden_1=None, n_hidden_2=None, out_dim=None):
super(LeNet, self).__init__()
self.flatten = nn.Flatten()
self.layer1 = nn.Linear(in_dim, n_hidden_1)
self.layer2 = nn.Linear(n_hidden_1, n_hidden_2)
self.layer3 = nn.Linear(n_hidden_2, out_dim)
def forward(self, x):
x = self.flatten(x)
x = self.layer1(x)
x = self.layer2(x)
x = self.layer3(x)
return x
# 训练模型
if torch.cuda.is_available():
device = 'cuda'
else:
device = "cpu"
net = LeNet(28 * 28, 300, 100, 10).to(device)
criterion = nn.CrossEntropyLoss()
optimizer = optim.Adam(params=net.parameters(), lr=1e-3)
epoch = 1
if __name__ == '__main__':
for epoch in range(epoch):
sum_loss = 0.0
for i, data in enumerate(train_loader):
inputs, labels = data
inputs, labels = Variable(inputs).to(device), Variable(labels).to(device)
optimizer.zero_grad() # 将梯度归零
outputs = net(inputs) # 将数据传入网络进行前向运算
loss = criterion(outputs, labels) # 得到损失函数
loss.backward() # 反向传播
optimizer.step() # 通过梯度做一步参数更新
# print(loss)
sum_loss += loss.item()
if i % 100 == 99:
print('[%d,%d] loss:%.03f' %
(epoch + 1, i + 1, sum_loss / 100))
sum_loss = 0.0
net.eval() # 将模型变换为测试模式
correct = 0
total = 0
for data_test in test_loader:
images, labels = data_test
images, labels = Variable(images).to(device), Variable(labels).to(device)
output_test = net(images)
_, predicted = torch.max(output_test, 1)
total += labels.size(0)
correct += (predicted == labels).sum()
print("correct1: ", correct)
print("Test acc: {0}".format(correct.item() /
len(test_dataset)))

测试结果:90.47%正确率