142.环形链表 Ⅱ
题目
给定一个链表的头节点 head ,返回链表开始入环的第一个节点。 如果链表无环,则返回 null。
如果链表中有某个节点,可以通过连续跟踪 next 指针再次到达,则链表中存在环。 为了表示给定链表中的环,评测系统内部使用整数 pos 来表示链表尾连接到链表中的位置(索引从 0 开始)。如果 pos 是 -1,则在该链表中没有环。注意:pos 不作为参数进行传递,仅仅是为了标识链表的实际情况。
不允许修改 链表。
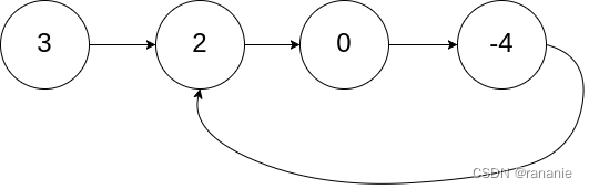
示例 1:
输入:head = [3,2,0,-4], pos = 1
输出:返回索引为 1 的链表节点
解释:链表中有一个环,其尾部连接到第二个节点。
示例 2:
在这里插入图片描述
输入:head = [1,2], pos = 0
输出:返回索引为 0 的链表节点
解释:链表中有一个环,其尾部连接到第一个节点。
示例 3:
输入:head = [1], pos = -1
输出:返回 null
解释:链表中没有环。
提示:
- 链表中节点的数目范围在范围 [0, 104] 内
- -105 <= Node.val <= 105
- pos 的值为 -1 或者链表中的一个有效索引
进阶:你是否可以使用 O(1) 空间解决此题?
来源:力扣(LeetCode)
链接:https://leetcode.cn/problems/linked-list-cycle-ii
著作权归领扣网络所有。商业转载请联系官方授权,非商业转载请注明出处。
题解
哈希表 有额外的空间
使用一个哈希表存储遍历过的节点,key为节点,value都可以,因为只需要节点信息,我用布尔值true。
在遍历的过程中,如果哈希表没有该节点,就将节点加入,如果已经有了,说明有环且为环的入口。
function detectCycle(head: ListNode | null): ListNode | null {
const map = new Map<ListNode,boolean>();
while(head){
if(map.has(head)) return head;
else map.set(head,true);
head = head.next;
}
return null;
};
双指针
链表的题不使用hash表都可以考虑下双指针,一般两个指针没有明显的关系可以使用快慢指针。
快指针fast走2个节点,慢指针slow走1个节点。
- 如果有环,快慢指针必相遇
因为每走 1 轮,fast 与 slow 的间距 +1,fast 终会追上 slow;
假设直线的距离为a,环形的距离为b,slow走了x步,那么fast走了2x步。
fast 比 slow多走了 n 个环的长度,即 2x = x+nb => x=nb
双指针都走过 a 步,然后在环内绕圈直到重合,重合时 fast 比 slow 多走 环的长度整数倍
- 第二次相遇
如果一个指针从头开始走,当走的步数是a+nb时,此位置是环的入口。
相遇时slow已经走了nb步了,所以slow再走a步就到环的入口了。
但是并不知道a步是几步,所以可以让一个指针从头开始走a步,此时a走了a+nb ,新指针走了a步,他们会在入口处相遇。
function detectCycle(head: ListNode | null): ListNode | null {
let fast = head;
let slow = head;
while(true){
if(fast ==null || fast.next == null) return null;//无环
fast = fast.next.next;
slow = slow.next;
if(fast == slow)break; //第一次相遇
}
fast = head;
while(fast!= slow){
fast = fast.next;
slow = slow.next;
}
return fast;
};
版权声明:本文为qq_41370833原创文章,遵循CC 4.0 BY-SA版权协议,转载请附上原文出处链接和本声明。