MTPA原理
要了解MTPA原理,首先要从电机转矩公式说起。
这是电机在d-q轴下的电压表达式,电机有功功率部分的1系数1.5是为了补偿3/2坐标变换。
结合两个式子,就得出了电机的有功功率模型。

即电机的有功功率以由两个部分构成,真正输出转矩的是电机的机械功率

上式表明了电机机械功率与电机转矩、电机机械角速度的关系
结合上述几个公式,可以得出电机转矩表达式
kE就是永磁体磁链大小,p为电机磁极对数
同样转矩由两个部分构成:电磁转矩和磁阻转矩,对于表贴式电机,磁阻转矩很小,几乎为0,而内置式电机磁阻转矩一般较大,因此可以产生更大转矩
下面进入正题,MTPA控制
所谓MTPA,即最大转矩电流比(Maximum Torque Per Ampere),可以理解为输出转矩相同条件下,所需定子电流最小的控制策略。
不摆公式还是不行,虽然我很讨厌公式。。。
由于是要找到最大转矩下的电流分配,那就需要给出与电流和转矩相关的几个式子:
1待分配电流:
定子电流–
2定子电流两个分量id、iq参与产生的转矩
下面就是见证奇迹的时刻前的灰暗时刻–
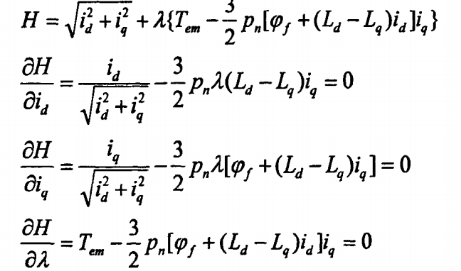
利用拉格朗日乘子法找到转矩关于电流的极值函数

对,就是它,知道怎么来的就行了,没必要再求一遍,虽然强迫症的我还是求了,结果,球球了。。。
具体过程:
终于,导出id的公式
对,心心念念的小式式,它终于来了。
可是,这是id和iq的关系啊,我不是要确定定子电流id、iq的分配吗,这个式子看起来好像用不上啊?别急,实际使用时,一般转速外环经PI调节后的输出量就是MTPA控制模块的iq输入量,也就是说,这个iq是已知了,接下来我们就可以快乐地PID调参了~~->_<~~
之后会给出MTPA控制和基本id=0控制的仿真对比,希望多多捧场,有需要交流的朋友随时欢迎_!
版权声明:本文为m0_66861238原创文章,遵循CC 4.0 BY-SA版权协议,转载请附上原文出处链接和本声明。