ALBert
文章链接:
ALBERT: A Lite BERT for Self-supervised Learning of Language Representations
ALBert前世今生
ALBert是ICLR的一篇投稿论文,目前还没有被录用,但是却引起很多人的关注,这到底是为什么呢?
事情经过是这样的:
有 Reddit 网友发现,一个叫做 ALBERT 的模型,在 SQuAD 2.0 leaderboard 和 GLUE benchmark 都达到了最佳水准。这是一个前所未见的新模型,引起了大家的好奇。

不久,终于有网友扒出了这个模型的论文,原来是 ICLR 2020 的一篇投稿,出自谷歌。
ALBERT 又叫 A LITE BERT,顾名思义就是一个轻量级的 BERT 模型。模型大固然效果好,但也超吃资源。训练一次不仅耗时、更费钱。甚至在某些情况下,由于 GPU/TPU 内存限制、训练时间延长以及意外的模型退化等原因,更难提升模型大小。谷歌研究人员对此提出了通过两种参数约简技术来降低内存消耗,加快 BERT 的训练速度的思路,于是就有了 ALBERT。
ALBERT的模型,比 BERT-large 参数更少,却在 GLUE 基准远远甩开 BERT-Large 拿到榜首。不仅如此,该模型横扫 GLUE、RACE 和 SQuAD,以显著的优势稳坐第一。
基础回顾
什么是预训练?
预训练也叫做Pre-training, 是迁移学习中很重要的一项技术。在自然语言处理中主要以词向量为主。单词我们一般可以用两种不同的方式来表示,一种方式为"one-hot encoding",另外一种方式为分布式表示(通常也叫作词向量/Word2Vec)。 由于单词是所有文本的基础,所以如何去更好地表示单词变得尤其重要。
那如何去理解预训练呢? 举个例子,比如我们用BERT训练了一套模型,而且已经得到了每个单词的词向量, 那这时候我们可以直接把这些词向量用在我们自己的任务上,不用自己重新训练,这就类似于迁移学习的概念。 或者通过BERT已经训练好的模型去动态地去得出上下文中的词向量。
预训练在通常情况下既可以提升训练效率也可以提高模型效果,因为使用预训练的结果本身其实就是去试图寻找最好的最优解。
词向量技术
通过词向量技术我们可以把一个单词表示为向量的形式,然后接着应用在后续的模型当中。我们可以认为词向量表示的是单词的语义(semantic)。 我们可以按照不同的类别区分词向量技术。
常用的词向量模型比如SkipGram, CBOW, Glove 是不考虑上下文的,也就是一个单词有个固定(Fixed)的向量,不依赖于上下文的改变而改变。比如“I back my car"和 "I hurt my back"里,单词"back"在不同的语境下的含义是不一样的 。
近2,3年很多工作的重点放在了学习考虑上下文的词向量。在这个领域产生了诸多很有突破性的进展,从ELMo,BERT, XLNet到今日刚刚发布的ALBERT,无一不是以这个为重点。利用这些模型,我们可以动态地去学出一个单词在不同上下文之间的词向量。当然,这些向量在不同的语境下的表示肯定是不一样的。
什么是BERT?
BERT是一种基于Transformer Encoder来构建的一种模型,它整个的架构其实是基于DAE(Denoising Autoencoder)的,这部分在BERT文章里叫作Masked Lanauge Model(MLM)。MLM并不是严格意义上的语言模型,因为整个训练过程并不是利用语言模型方式来训练的。BERT随机把一些单词通过MASK标签来代替,并接着去预测被MASK的这个单词,过程其实就是DAE的过程。BERT有两种主要训练好的模型,分别是BERT-Small和BERT-Large, 其中BERT-Large使用了12层的Encoder结构。 整个的模型具有非常多的参数。
BERT在2018年提出,当时引起了爆炸式的反应,因为从效果上来讲刷新了非常多的记录,之后基本上开启了这个领域的飞速的发展。
什么是XLNet?
BERT之后的一个爆发节点发生在XLNet发布的时候,因为它刷新了BERT保留的很多记录。除了效果之外,那为什么要提出XLNet呢?这就需要从BERT的缺点说起。
虽然BERT有很好的表现,但本身也有一些问题。总结起来有以下几点:
训练数据和测试数据之间的不一致性,这也叫作Discrephancy。当我们训练BERT的时候,会随机的Mask掉一些单词的,但实际上在使用的过程当中,我们却没有MASK这类的标签,所以这个问题就导致训练的过程和使用(测试)的过程其实不太一样,这是一个主要的问题。
并不能用来生成数据。由于BERT本身是依赖于DAE的结构来训练的,所以不像那些基于语言模型训练出来的模型具备很好地生成能力。之前的方法比如NNLM[12],ELMo是基于语言模型生成的,所以用训练好的模型可以生成出一些句子、文本等。但基于这类生成模型的方法论本身也存在一些问题,因为理解一个单词在上下文里的意思的时候,语言模型只考虑了它的上文,而没有考虑下文!
基于这些BERT的缺点,学者们提出了XLNet, 而且也借鉴了语言模型,还有BERT的优缺点。最后设计出来的模型既可以很好地用来执行生成工作,也可以学习出上下文的向量表示。那如何做的呢?
首先,生成模型是单向的,即便我们使用Bidirectional LSTM类模型,其实本质是使用了两套单向的模型。那又如何去解决呢?答案是他们使用了permutation language model, 也就是把所有可能的permutation全部考虑进来。这个想法源自于hugo之前的工作叫作NADE,感兴趣的读者可以去看一下。
另外,为了迎合这种改变,他们在原来的Transformer Encoder架构上做了改进,这不分叫作Two-stream attention, 而且为了更好地处理较长的文本,进而使用的是Transformer-XL。 这就是XLNet的几大核心!
为什么要提出ALBERT?
接着看一下那为什么要提出ALBERT呢?其实他们的想法很简单就是想让模型更轻,训练更快,效果更好!
过去几年深度学习圈子里一直出现了一些“怪象”,就是堆数据,让模型更复杂,训练出来的效果更好! 但真正的智能应该是用更简单的模型,用更少量的数据,得到更好的结果! 可以想一下人类是如何学习的?我们的学习不需要大量的样本,而且有举一反三的能力,这才叫作真正的智能! 我们的研究在这个道路上还有很长的路要走。
之前的BERT,XLNet为什么效果好? 这绝对离不开模型本身的复杂度,一个模型拥有上百亿的参数,效果不好就太对不起我们的资源了。我们要知道训练一套这类模型需要花费甚至几百万美金的成本。
所以这时候提出ALBERT也不奇怪的,就是试图解决上述的问题: 1. 让模型的参数更少 2. 使用更少的内存 3. 提升模型的效果。就是这么简单!
ALBert三种优化策略
这一部分中,我们将简要介绍 ALBERT 的三大模块,并提供与标准 BERT 的量化对比。
ALBERT 架构的骨干网络与 BERT 是相似的,即使用 Transformer 编码器和 GELU 非线性激活函数。现在先约定一下 BERT 的表示方式,即指定词嵌入大小为 E、编码器层数为 L、隐藏层大小为 H。与 Devlin 等人的研究一样,这篇论文将前馈网络/滤波器大小设置为 4H,将注意力 Head 的数量设置为 H/64。
接下来介绍这三点改进。
Factorized embedding parameterization(嵌入向量参数化的因式分解)
在 BERT 以及后续的 XLNet 和 RoBERTa 中,WordPiece 词嵌入大小 E 和隐藏层大小 H 是相等的,即 E ≡ H。由于建模和实际使用的原因,这个决策看起来可能并不是最优的。这个选择有两方面缺点:
- 从建模的角度来说,WordPiece 词嵌入的目标是学习上下文无关的表示,而隐藏层嵌入的目标是学习上下文相关的表示。通过上下文相关的实验,BERT 的表征能力很大一部分来自于使用上下文为学习过程提供上下文相关的表征信号。因此,将 WordPiece 词嵌入大小 E 从隐藏层大小 H 分离出来,可以更高效地利用总体的模型参数,其中 H 要远远大于 E。
- 从实践的角度,自然语言处理使用的词典大小 V 非常庞大,如果 E 恒等于 H,那么增加 H 将直接加大嵌入矩阵的大小,这种增加还会通过 V 进行放大。
因此,对于 ALBERT 而言,研究者对词嵌入参数进行了因式分解,将它们分解为两个小矩阵。研究者不再将 one-hot 向量直接映射到大小为 H 的隐藏空间,而是先将它们映射到一个低维词嵌入空间 E,然后再映射到隐藏空间。通过这种分解,研究者可以将词嵌入参数从 O(V × H) 降低到 O(V × E + E × H),这在 H 远远大于 E 的时候,参数量减少得非常明显。

从后续的实验中来看,E的大小与实验效果也不是完全正相关,因此其他实验中E都取的128。
Cross-layer parameter sharing(跨层参数共享)
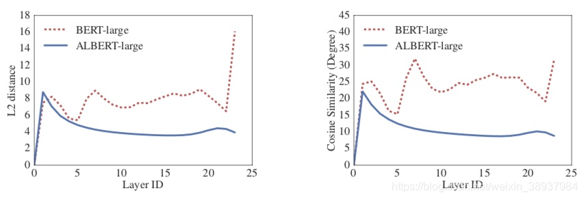
对于 ALBERT,研究者提出了另一种跨层参数共享机制来进一步提升参数效率。其实目前有很多方式来共享参数,例如只贡献前馈网络不同层之间的参数,或者只贡献注意力机制的参数,而 ALBERT 采用的是贡献所有层的所有参数。
这种机制之前也是有的,但研究者的度量发现词嵌入的 L2 距离和余弦相似性是震荡而不是收敛。如下图 2 展示了每一层输入与输出嵌入矩阵间的 L2 距离与余弦相似性。

研究者发现 ALBERT 从一层到另一层的转换要比 BERT 平滑得多,结果表明,权重共享有效地提升了神经网络参数的鲁棒性。即使相比于 BERT 这两个指标都有所下降,但在 24 层以后,它们也不会收敛到 0。
Inter-sentence coherence loss(句间连贯性损失)
除了自编码语言建模损失外,BERT 还是用了额外的下一句预测损失。下一句预测损失本来是为了提升下游任务的性能,但是后来很多研究者发现这种机制并不是很高效,因此决定去除它。
研究者猜测,下一句预测任务低效的原因,主要是它的难度太小。因为下一句预测将主题预测和连贯性预测结合到单个任务中,然而主题预测比连贯性预测简单得多,因此它与语言建模损失函数学到的内容是有重合的。
研究者表示,句间建模在语言理解中是非常重要的,因此他们提出了一种基于语言连贯性的损失函数。对于 ALBERT,研究者使用了一个句子顺序预测(SOP)损失函数,它会避免预测主题,而只关注建模句子之间的连贯性。
具体的损失函数表达式读者可以查阅原论文,但研究者表示,在使用了该损失函数后,ALBERT 能显著提升下游多句子编码任务的性能。
ALBert实验结果
为了进行更公平的对比,研究者在原始 BERT 的配置下训练试验模型效果。研究者使用了 BOOKCORPUS 和 English Wikipedia 共计 16GB 的纯文本作为预训练任务的数据。它们在 Cloud TPU V3 上训练所有的模型,TPU 数量从 64 到 1024 会根据模型大小进行选择。
如下表 3 所示,只有 BERT-Large 70% 的参数量,ALBERT-xxlarge 能实现显著的性能提升。

表 3:模型在 BOOKCORPUS 和 Wikipedia 数据集训练 125k 步后的开发集结果。
如上所示,ALBERT 相比 BERT 有更高的数据吞吐量,其中最慢的就是 BERT-xLarge,它也作为了基线结果。随着模型越来越大,BERT 和 ALBERT 之间的差别也越来越大。
前面介绍过嵌入矩阵分解的优势,如下表 4 展示了修改词嵌入大小 E 带来的影响,它们的参数量及下游任务效果也都展示在内。

表 4:ALBERT-base 随词嵌入大小的改变,其性能与参数量的变化。
对于 ALBERT 的第二个基础——跨层参数共享,下面表 5 展示了该机制的效果,其同样使用 ALBERT-base 作为示例模型。

表 5:跨层参数共享策略的效果,此处用到的模型是 ALBERT-base。
对于 ALBERT 的第三大基础——句间连贯性损失(SOP),下表 6 展示了其与下一句预测损失(NSP)的对比效果。

表 6:句子预测损失、NSP、SOP 的效果。
表 3 中的加速结果表明,BERT-large 的数据吞吐量是 ALBERT-xxlarge 的 3.17 倍。我们知道,延长训练时间通常能提升模型的表现,因此研究者决定让模型训练差不多相同的时间来观察其表现。下图 7 展示了实验结果:

图 7:BERT-large 和 ALBERT-xxlarge 在控制训练时间时的效果。
在训练了差不多相同的时间之后,ALBERT-xxlarge 明显优于 BERT-large。
上述实验都是在 Wikipedia 和 BOOKCORPUS 数据集上进行的,那么,如果增加额外的数据会对结果产生怎样的影响?

图 3a:在训练期间添加额外数据的影响。
图 3a 表明,添加额外数据后,模型的开发集 MLM 准确率显著提升。
此外,研究者还观察了添加额外数据后模型在下游任务中的性能情况,如下表 8 所示:

表 8:有/无额外训练数据的结果,此处使用的模型是 ALBERT-base。
研究者还注意到,即使在训练了 100 万步之后,最大的模型仍然没有过拟合。因此,他们决定删除 dropout,以进一步提高模型能力。如下图 3b 所示,去掉 dropout 可以显著提高 MLM 准确度。

图 3b:移除 dropout 前后的模型性能。

表 9:移除 dropout 前后的结果,此处使用的模型是 ALBERT-xxlarge。
除了上述实验之外,ALBERT 在 GLUE、SQuAD 和 RACE 基准测试中都取得了 SOTA 结果,如下图 10、11 所示:

图 10:ALBERT 在 GLUE 基准上的 SOTA 结果。

图 11:ALBERT 在 SQuAD 和 RACE 基准上的 SOTA 结果。