一、断链表是否为带环链表
首先需要知道链表是否为空,如果不为空,则继续判断。
思路:
定义两个快慢指针,让他们一直移动,如果最终快指针=慢指针,这说明在这个链表中必然存在环。
如果是非带环链表,那么快指针到最后一定是null
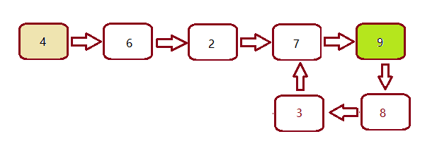
是否是带环链表思路图如下:
左边浅黄色为慢指针slow,右边浅绿色为快指针fast,一开始都在头部
第一次:
第二次:
第三次:
第四次:
此时fast和slow相遇,说明是带环链表
实现代码:
public class test {
public boolean hasCycle(ListNode head) {
ListNode fast = head;
ListNode slow = head;
//fast先到达链表末尾,链表末尾下一个指向为null,则不是带环链表
while(fast != null && fast.next != null){
fast = fast.next.next; //fast走两格
slow = slow.next; //slow走一格
if(fast == slow){ //当fast与slow相遇
return true; //说明该链表为带环链表
}
}
return false;
}
}
二、带环链表的环入口
带环链表入口思路图:

此时相遇,只需要把slow重新放到头部
让fast和slow都只走一步


slow和fast再次相遇,此时位置就是环的入口
实现代码:
public class test{
public ListNode detectCycle(ListNode head) {
ListNode fast = head;
ListNode slow = head;
while(fast != null && fast.next != null){
fast = fast.next.next;
slow = slow.next;
if(fast == slow){
break;
}
}
if(fast == null || fast.next == null){
return null;
}
//上面都是验证是否为带环链表
slow = head; //slwo放回头部head
while(fast != slow){ //没相遇就一直走,到再次相遇为止
slow = slow.next;
fast = fast.next;
}
return slow;
}
}
版权声明:本文为born_stubborn原创文章,遵循CC 4.0 BY-SA版权协议,转载请附上原文出处链接和本声明。