问题阐述
近年来,城市道路交通拥堵问题日益严重,公共汽车难以在混行条件下提供高品质的出行服务。其中一个关键问题即公交车流常会在停靠站周边与社会交通流相互交织,形成城市交通的瓶颈点。

公共汽车停靠站通常设置在临近交叉口的位置以减少乘客的步行距离,但不可避免地造成驻站公共汽车与排队或换道车辆的相互交织,导致车辆频繁停车、通行能力降低、交通延误增加等问题。

那么能否开发一套quick response的交通流模型用于精确刻画公交沿线多个站点对混合交通流动态的影响,并基于此对站点位置和类型(路侧、路中、港湾)优选和调整做出指导呢?本研究就是要做好这件事!
有人可能会问,用微观仿真不是刻画的更精确吗?没错,但是微观仿真太慢了,集成到优化模型里面求解效率极低,也没法获得全局最优解。我们要的是quick response。要把研究落地,就需要在效率和精度之间做好权衡。
为此,本研究提出了一种路段-节点式的、双车道元胞传输模型(Cell transmission model, CTM),以捕捉特定交通需求水平下,公共汽车沿线多个站点对混合交通流动态的影响。与以往的此类模型不同,该模型同时捕捉了自主换道和强制换道以及相邻两车道的交织现象,以更好地反映现实世界中交通流的运行情况。
构建模型
根据道路属性,将道路划分成不同单元,划分出多个元胞路段,该模型以路侧车道及其相邻车道上各自的和彼此交互的交通流动态为研究对象。模型的逻辑框架及元胞示意图如下:

模型逻辑框架

公共汽车线路的元胞示意图
模型的构建过程如下:
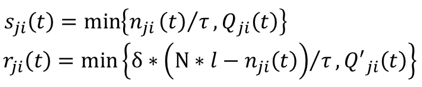
1. 输出与输入能力
模型中,车辆移动首先受到元胞输入和输出能力的影响,其公式为:

由于公共汽车驻站和小汽车驾驶行为中存在多种换道行为,模型将元胞内的车流量?ji(?)划分成不同成分:

元胞车流量成分
车流量计算的推导公式如下:

当元胞内有驻站公共汽车时,元胞的输出和输入能力调整为:


公共汽车驻站对元胞的输出和输入能力的影响
2. 流量传输
考虑到元胞中的多流成分,?时刻从元胞?到元胞(?+1)的交通流传输成分,??(i+1)(?),该流量中包括有换道与无换道的车流量,公式为:


从元胞?到元胞(?+1)的交通流
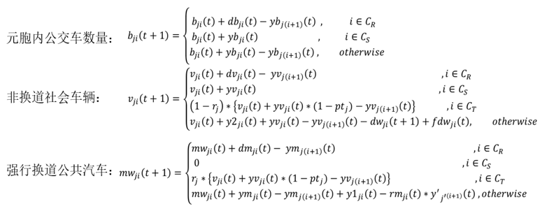
3. 流量守恒
在上述计算交通流量之后,根据流量守恒定律,更新元胞内的车辆数量,各计算公式如下:

建模效果
1. 实例情境
实例选用中国浙江省宁波市5条连续的信号控制路段作为分析对象。所用数据包括公共汽车的自动实时位置数据、视频监测数据以及三维地图信息,动态交通信息的采集时间是2018年6月5日(周二)的下午五点至七点。

2. 效果
关于实测数据与模型产生的交通流动态参数(比如流量)的比较,限于篇幅就不赘述了,这里我们比较了实测和模型产生的停靠站附近累计换道频数的时间分布差异如下(以停靠站1和2为例)。可以发现,尽管该模型的结果缓和了实测数据在换道数量上的骤增、骤减现象,但模型计算的换道数量与实际换道的数量在趋势上仍然有较高的一致性。

3. 敏感性分析
为了让模型可以用于指导公交站点布设和站点类型选择,我们做了敏感性分析,下图为用于敏感性分析的公共汽车实验线路示意图,以及社会交通流的流向。

实验公共汽车线路布设
设置以下三种情境:
情境 1:短路段,每隔一个路段设置一个停靠站;
情境 2:长路段,每隔一个路段设置一个停靠站;
情境 3:长路段,每个路段设置一个停靠站。
比较在不同情境、不同停靠站布设方案下,公共汽车沿线的交通流延误情况。我们用R值来表征公交站的位置,R为停靠站位置距离路段起点的长度与路段总长之比,三种情境下的R值分别为70%, 90%和80%。从下图可以看出,在不同路段长度和停靠站密度下延误的变化趋势大致相同。交通流延误随着R值增加产生的非线性变化,意味着存在最佳的停靠站布设方案,以实现交通流延误的最小化。

三种情境下,远端停靠站都出现了交通溢流。以情景一为例,该路段长为120m且站间距为240m,交通密度分布如下图。

Part I 总结
(1)通过与实测数据比较,模型能高效快速精准地捕捉交通流动态,反映交通延误。
(2)不论路段长度和停靠站间距如何,设置恰当的近端停靠站相比于远端和路中停靠站,能更好地减少交通延误。
(3)交通延误曲线随着停靠站向交叉口靠近而表现出先减少后增加的趋势,说明存在最小化交通流延误的停靠站布设方案,为我们下一期优化模型奠定了基础。
为了方便大家使用这个工具,我们基于utb.cloud还配套开发了模型的云装备,随着utb平台近期在国内上线,该工具也会以在线实验室的方式和大家见面,供大家体验、学习、继承和衍生。

在下一期Part II中,我们会介绍我们开发的混合整数规划运筹模型,将Part I中的交通流模型集成应用于公交站点的类型和位置优化,相关云装备也会介绍给大家。敬请大家关注!
英文论文原文请联系作者

--关于我们--




2015-2020 © utb.cloud. All Rights Reserved. 转载请注明:
转载自公众号“交托邦”