向量的外积(outer product)与克罗内克积(Kronecker)

向量的外积与克罗内克积

外积的定义

外积(outer product)是线性代数中的一类重要运算,对于n维和m维的两个向量,其外积为一个n × m n\times mn×m的矩阵。
给定两个向量u = ( u 1 , u 2 , . . . u m ) \textbf{u}=(u_1, u_2,...u_m)u=(u1,u2,...um)v = ( v 1 , v 2 , . . . v n ) \textbf{v}=(v_1,v_2,...v_n)v=(v1,v2,...vn),其外积用u ⊗ v \textbf{u}\otimes \textbf{v}uv表示,定义为由u \textbf{u}u中的每个元素和v \textbf{v}v中的每个元素相乘得到的m × n m\times nm×n阶矩阵A:
在这里插入图片描述
或者用索引方式表示为:
( u ⊗ v ) i j = u i v j (\textbf{u}\otimes \textbf{v})_{ij}=\textbf{u}_i\textbf{v}_j(uv)ij=uivj
u \textbf{u}uv \textbf{v}v以列向量形式表示时,外积等价于按矩阵乘法计算的u v T \textbf{u}\textbf{v}^TuvT的结果,例如,当m=4, n=3时,有:
在这里插入图片描述
与内积不同的地方在于,内积是通过u T v \textbf{u}^T\textbf{v}uTv计算得来,其结果为一个标量,不难发现,内积是外积的迹(trace).

克罗内克积

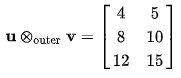
外积与克罗内克积是紧密相关的,其运算符也经常混用,例如,
u = [ 1 , 2 , 3 ] T \textbf{u}=[1,2,3]^Tu=[1,2,3]T, v = [ 4 , 5 ] T \textbf{v}=[4,5]^Tv=[4,5]T时,两种运算结果分别为:

实际上,当u \textbf{u}uv \textbf{v}v为列向量时,克罗内克积可以看作外积向量化(vectorization)的结果,即:
在这里插入图片描述
由于向量化的定义为将矩阵的每列逐次向下堆叠排布,上式右端写为v \textbf{v}vu \textbf{u}u的外积。这一关系还可以表示为:
在这里插入图片描述

外积的性质

向量的外积满足以下性质:
在这里插入图片描述
在这里插入图片描述


版权声明:本文为qq_38402294原创文章,遵循CC 4.0 BY-SA版权协议,转载请附上原文出处链接和本声明。