

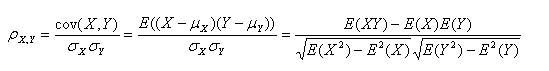
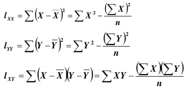
皮尔逊相关系数(Pearson Correlation Coefficient)
1.1 衡量两个值线性相关强度的量
1.2 取值范围 [-1, 1]:
正向相关: >0, 负向相关:<0, 无相关性:=0



R平方值:
4.1定义:决定系数,反应因变量的全部变异能通过回归关系被自变量解释的比例。
4.2 描述:如R平方为0.8,则表示回归关系可以解释因变量80%的变异。换句话说,如果我们能控制自变量不变,则因变量的变异程度会减少80%

链接:https://www.jianshu.com/p/f5db39172d48