Seq2Seq
RNN 网络结构
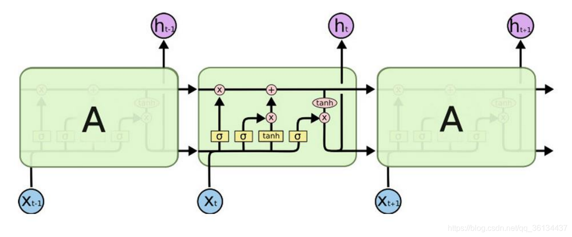
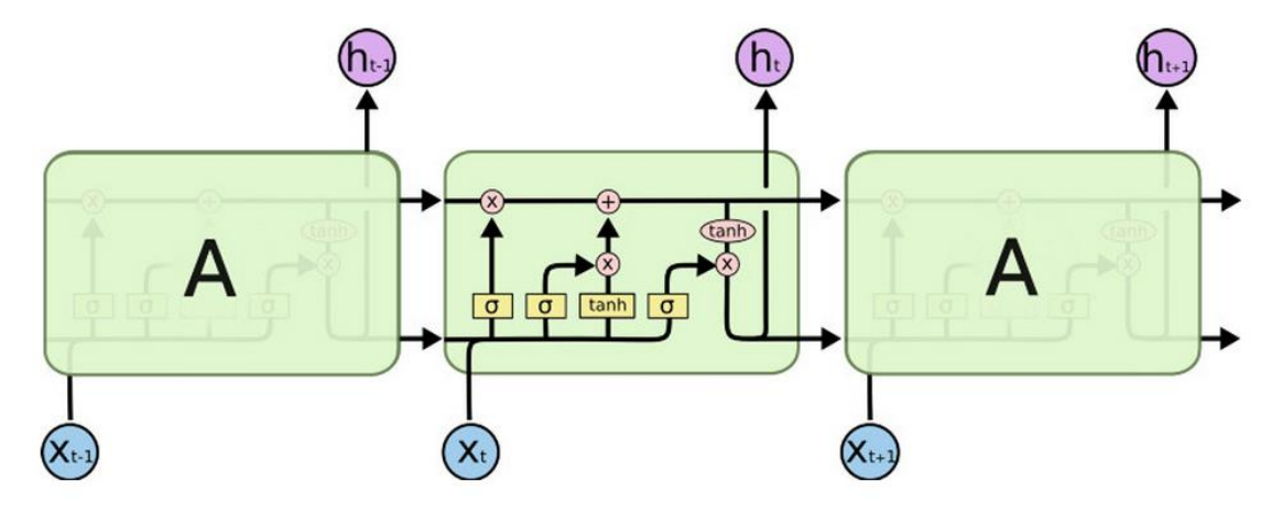
LSTM网络结构
机器翻译的历史





Seq2Seq的应用




Seq2Seq存在的问题


Attention机制
“高分辨率”聚焦在图片的某个特定区域并以“低分辨率”感知图像的周边区域的模式,通过大量实验证明,将attention机制应用在机器翻译,摘要生成,阅读理解等问题上,取得的成效显著
关注输入序列中某些状态下的内容



Bucket机制
正常情况要对所有句子进行补全,Bucket可以先分组,再计算
Seq2Seq对输入单词字母排序
Seq2Seq
本篇代码将实现一个基础版的Seq2Seq,输入一个单词(字母序列),模型将返回一个对字母排序后的“单词”。
基础Seq2Seq主要包含三部分:
• Encoder
• 隐层状态向量(连接Encoder和Decoder)
• Decoder
任务:
按字母顺序排序:hello --> ehllo
查看TensorFlow版本
http://www.lfd.uci.edu/~gohlke/pythonlibs/#tensorflow
from distutils.version import LooseVersion
import tensorflow as tf
from tensorflow.python.layers.core import Dense
# Check TensorFlow Version
assert LooseVersion(tf.__version__) >= LooseVersion('1.1'), 'Please use TensorFlow version 1.1 or newer'
print('TensorFlow Version: {}'.format(tf.__version__))
TensorFlow Version: 1.2.0
# 数据加载
import numpy as np
import time
import tensorflow as tf
with open('data/letters_source.txt', 'r', encoding='utf-8') as f:
source_data = f.read()
with open('data/letters_target.txt', 'r', encoding='utf-8') as f:
target_data = f.read()
# 数据预览
source_data.split('\n')[:10]
['bsaqq',
'npy',
'lbwuj',
'bqv',
'kial',
'tddam',
'edxpjpg',
'nspv',
'huloz',
'kmclq']
target_data.split('\n')[:10]
['abqqs',
'npy',
'bjluw',
'bqv',
'aikl',
'addmt',
'degjppx',
'npsv',
'hlouz',
'cklmq']
# # 数据预处理
def extract_character_vocab(data):
'''
构造映射表
'''
special_words = ['<PAD>', '<UNK>', '<GO>', '<EOS>']
set_words = list(set([character for line in data.split('\n') for character in line]))
# 这里要把四个特殊字符添加进词典
int_to_vocab = {idx: word for idx, word in enumerate(special_words + set_words)}
vocab_to_int = {word: idx for idx, word in int_to_vocab.items()}
return int_to_vocab, vocab_to_int
# In[6]:
# 构造映射表
source_int_to_letter, source_letter_to_int = extract_character_vocab(source_data)
target_int_to_letter, target_letter_to_int = extract_character_vocab(target_data)
# 对字母进行转换
source_int = [[source_letter_to_int.get(letter, source_letter_to_int['<UNK>'])
for letter in line] for line in source_data.split('\n')]
target_int = [[target_letter_to_int.get(letter, target_letter_to_int['<UNK>'])
for letter in line] + [target_letter_to_int['<EOS>']] for line in target_data.split('\n')]
# In[7]:
# 查看一下转换结果
source_int[:10]
[[17, 9, 12, 11, 11],
[16, 29, 26],
[13, 17, 15, 25, 8],
[17, 11, 4],
[18, 10, 12, 13],
[23, 7, 7, 12, 24],
[27, 7, 6, 29, 8, 29, 5],
[16, 9, 29, 4],
[28, 25, 13, 21, 20],
[18, 24, 22, 13, 11]]
target_int[:10]
[[12, 17, 11, 11, 9, 3],
[16, 29, 26, 3],
[17, 8, 13, 25, 15, 3],
[17, 11, 4, 3],
[12, 10, 18, 13, 3],
[12, 7, 7, 24, 23, 3],
[7, 27, 5, 8, 29, 29, 6, 3],
[16, 29, 9, 4, 3],
[28, 13, 21, 25, 20, 3],
[22, 18, 13, 24, 11, 3]]
# # 构建模型
# ## 输入层
# In[9]:
def get_inputs():
'''
模型输入tensor
'''
inputs = tf.placeholder(tf.int32, [None, None], name='inputs')
targets = tf.placeholder(tf.int32, [None, None], name='targets')
learning_rate = tf.placeholder(tf.float32, name='learning_rate')
# 定义target序列最大长度(之后target_sequence_length和source_sequence_length会作为feed_dict的参数)
target_sequence_length = tf.placeholder(tf.int32, (None,), name='target_sequence_length')
max_target_sequence_length = tf.reduce_max(target_sequence_length, name='max_target_len')
source_sequence_length = tf.placeholder(tf.int32, (None,), name='source_sequence_length')
return inputs, targets, learning_rate, target_sequence_length, max_target_sequence_length, source_sequence_length
# ## Encoder
# 在Encoder端,我们需要进行两步,第一步要对我们的输入进行Embedding,再把Embedding以后的向量传给RNN进行处理。
#
# 在Embedding中,我们使用[tf.contrib.layers.embed_sequence](https://www.tensorflow.org/api_docs/python/tf/contrib/layers/embed_sequence),它会对每个batch执行embedding操作。
# * ## tf.contrib.layers.embed_sequence:##
#
# 对序列数据执行embedding操作,输入[batch_size, sequence_length]的tensor,返回[batch_size, sequence_length, embed_dim]的tensor。
#
# features = [[1,2,3],[4,5,6]]
#
# outputs = tf.contrib.layers.embed_sequence(features, vocab_size, embed_dim)
#
# 如果embed_dim=4,输出结果为
#
# [
# [[0.1,0.2,0.3,0.1],[0.2,0.5,0.7,0.2],[0.1,0.6,0.1,0.2]],
# [[0.6,0.2,0.8,0.2],[0.5,0.6,0.9,0.2],[0.3,0.9,0.2,0.2]]
# ]
#
# * ## tf.contrib.rnn.MultiRNNCell:##
#
# 对RNN单元按序列堆叠。接受参数为一个由RNN cell组成的list。
#
# rnn_size代表一个rnn单元中隐层节点数量,layer_nums代表堆叠的rnn cell个数
#
# * ## tf.nn.dynamic_rnn:##
#
# 构建RNN,接受动态输入序列。返回RNN的输出以及最终状态的tensor。
#
# dynamic_rnn与rnn的区别在于,dynamic_rnn对于不同的batch,可以接收不同的sequence_length。
#
# 例如,第一个batch是[batch_size,10],第二个batch是[batch_size,20]。而rnn只能接收定长的sequence_length。
# In[10]:
def get_encoder_layer(input_data, rnn_size, num_layers,
source_sequence_length, source_vocab_size,
encoding_embedding_size):
'''
构造Encoder层
参数说明:
- input_data: 输入tensor
- rnn_size: rnn隐层结点数量
- num_layers: 堆叠的rnn cell数量
- source_sequence_length: 源数据的序列长度
- source_vocab_size: 源数据的词典大小
- encoding_embedding_size: embedding的大小
'''
# Encoder embedding
encoder_embed_input = tf.contrib.layers.embed_sequence(input_data, source_vocab_size, encoding_embedding_size)
# RNN cell
def get_lstm_cell(rnn_size):
lstm_cell = tf.contrib.rnn.LSTMCell(rnn_size, initializer=tf.random_uniform_initializer(-0.1, 0.1, seed=2))
return lstm_cell
cell = tf.contrib.rnn.MultiRNNCell([get_lstm_cell(rnn_size) for _ in range(num_layers)])
encoder_output, encoder_state = tf.nn.dynamic_rnn(cell, encoder_embed_input,
sequence_length=source_sequence_length, dtype=tf.float32)
return encoder_output, encoder_state
Decoder
对target数据进行预处理
def process_decoder_input(data, vocab_to_int, batch_size):
'''
补充<GO>,并移除最后一个字符
'''
# cut掉最后一个字符
ending = tf.strided_slice(data, [0, 0], [batch_size, -1], [1, 1])
decoder_input = tf.concat([tf.fill([batch_size, 1], vocab_to_int['<GO>']), ending], 1)
return decoder_input
对数据进行embedding
同样地,我们还需要对target数据进行embedding,使得它们能够传入Decoder中的RNN。
•tf.contrib.seq2seq.TrainingHelper:
Decoder端用来训练的函数。
这个函数不会把t-1阶段的输出作为t阶段的输入,而是把target中的真实值直接输入给RNN。
主要参数是inputs和sequence_length。返回helper对象,可以作为BasicDecoder函数的参数。
•tf.contrib.seq2seq.GreedyEmbeddingHelper:
它和TrainingHelper的区别在于它会把t-1下的输出进行embedding后再输入给RNN。
下面的图中代表的是training过程。
在training过程中,我们并不会把每个阶段的预测输出作为下一阶段的输入,下一阶段的输入我们会直接使用target data,这样能够保证模型更加准确。
def decoding_layer(target_letter_to_int, decoding_embedding_size, num_layers, rnn_size,
target_sequence_length, max_target_sequence_length, encoder_state, decoder_input):
'''
构造Decoder层
参数:
- target_letter_to_int: target数据的映射表
- decoding_embedding_size: embed向量大小
- num_layers: 堆叠的RNN单元数量
- rnn_size: RNN单元的隐层结点数量
- target_sequence_length: target数据序列长度
- max_target_sequence_length: target数据序列最大长度
- encoder_state: encoder端编码的状态向量
- decoder_input: decoder端输入
'''
# 1. Embedding
target_vocab_size = len(target_letter_to_int)
decoder_embeddings = tf.Variable(tf.random_uniform([target_vocab_size, decoding_embedding_size]))
decoder_embed_input = tf.nn.embedding_lookup(decoder_embeddings, decoder_input)
# 2. 构造Decoder中的RNN单元
def get_decoder_cell(rnn_size):
decoder_cell = tf.contrib.rnn.LSTMCell(rnn_size,
initializer=tf.random_uniform_initializer(-0.1, 0.1, seed=2))
return decoder_cell
cell = tf.contrib.rnn.MultiRNNCell([get_decoder_cell(rnn_size) for _ in range(num_layers)])
# 3. Output全连接层
output_layer = Dense(target_vocab_size,
kernel_initializer = tf.truncated_normal_initializer(mean = 0.0, stddev=0.1))
# 4. Training decoder
with tf.variable_scope("decode"):
# 得到help对象
training_helper = tf.contrib.seq2seq.TrainingHelper(inputs=decoder_embed_input,
sequence_length=target_sequence_length,
time_major=False)
# 构造decoder
training_decoder = tf.contrib.seq2seq.BasicDecoder(cell,
training_helper,
encoder_state,
output_layer)
training_decoder_output, _ = tf.contrib.seq2seq.dynamic_decode(training_decoder,
impute_finished=True,
maximum_iterations=max_target_sequence_length)
# 5. Predicting decoder
# 与training共享参数
with tf.variable_scope("decode", reuse=True):
# 创建一个常量tensor并复制为batch_size的大小
start_tokens = tf.tile(tf.constant([target_letter_to_int['<GO>']], dtype=tf.int32), [batch_size],
name='start_tokens')
predicting_helper = tf.contrib.seq2seq.GreedyEmbeddingHelper(decoder_embeddings,
start_tokens,
target_letter_to_int['<EOS>'])
predicting_decoder = tf.contrib.seq2seq.BasicDecoder(cell,
predicting_helper,
encoder_state,
output_layer)
predicting_decoder_output, _ = tf.contrib.seq2seq.dynamic_decode(predicting_decoder,
impute_finished=True,
maximum_iterations=max_target_sequence_length)
return training_decoder_output, predicting_decoder_output
Seq2Seq
上面已经构建完成Encoder和Decoder,下面将这两部分连接起来,构建seq2seq模型
def seq2seq_model(input_data, targets, lr, target_sequence_length,
max_target_sequence_length, source_sequence_length,
source_vocab_size, target_vocab_size,
encoder_embedding_size, decoder_embedding_size,
rnn_size, num_layers):
# 获取encoder的状态输出
_, encoder_state = get_encoder_layer(input_data,
rnn_size,
num_layers,
source_sequence_length,
source_vocab_size,
encoding_embedding_size)
# 预处理后的decoder输入
decoder_input = process_decoder_input(targets, target_letter_to_int, batch_size)
# 将状态向量与输入传递给decoder
training_decoder_output, predicting_decoder_output = decoding_layer(target_letter_to_int,
decoding_embedding_size,
num_layers,
rnn_size,
target_sequence_length,
max_target_sequence_length,
encoder_state,
decoder_input)
return training_decoder_output, predicting_decoder_output
# 超参数
# Number of Epochs
epochs = 60
# Batch Size
batch_size = 128
# RNN Size
rnn_size = 50
# Number of Layers
num_layers = 2
# Embedding Size
encoding_embedding_size = 15
decoding_embedding_size = 15
# Learning Rate
learning_rate = 0.001
# 构造graph
train_graph = tf.Graph()
with train_graph.as_default():
# 获得模型输入
input_data, targets, lr, target_sequence_length, max_target_sequence_length, source_sequence_length = get_inputs()
training_decoder_output, predicting_decoder_output = seq2seq_model(input_data,
targets,
lr,
target_sequence_length,
max_target_sequence_length,
source_sequence_length,
len(source_letter_to_int),
len(target_letter_to_int),
encoding_embedding_size,
decoding_embedding_size,
rnn_size,
num_layers)
training_logits = tf.identity(training_decoder_output.rnn_output, 'logits')
predicting_logits = tf.identity(predicting_decoder_output.sample_id, name='predictions')
masks = tf.sequence_mask(target_sequence_length, max_target_sequence_length, dtype=tf.float32, name='masks')
with tf.name_scope("optimization"):
# Loss function
cost = tf.contrib.seq2seq.sequence_loss(
training_logits,
targets,
masks)
# Optimizer
optimizer = tf.train.AdamOptimizer(lr)
# Gradient Clipping 基于定义的min与max对tesor数据进行截断操作,目的是为了应对梯度爆发或者梯度消失的情况
gradients = optimizer.compute_gradients(cost)
capped_gradients = [(tf.clip_by_value(grad, -5., 5.), var) for grad, var in gradients if grad is not None]
train_op = optimizer.apply_gradients(capped_gradients)
# ## Batches
# In[16]:
def pad_sentence_batch(sentence_batch, pad_int):
'''
对batch中的序列进行补全,保证batch中的每行都有相同的sequence_length
参数:
- sentence batch
- pad_int: <PAD>对应索引号
'''
max_sentence = max([len(sentence) for sentence in sentence_batch])
return [sentence + [pad_int] * (max_sentence - len(sentence)) for sentence in sentence_batch]
# In[17]:
def get_batches(targets, sources, batch_size, source_pad_int, target_pad_int):
'''
定义生成器,用来获取batch
'''
for batch_i in range(0, len(sources)//batch_size):
start_i = batch_i * batch_size
sources_batch = sources[start_i:start_i + batch_size]
targets_batch = targets[start_i:start_i + batch_size]
# 补全序列
pad_sources_batch = np.array(pad_sentence_batch(sources_batch, source_pad_int))
pad_targets_batch = np.array(pad_sentence_batch(targets_batch, target_pad_int))
# 记录每条记录的长度
pad_targets_lengths = []
for target in pad_targets_batch:
pad_targets_lengths.append(len(target))
pad_source_lengths = []
for source in pad_sources_batch:
pad_source_lengths.append(len(source))
yield pad_targets_batch, pad_sources_batch, pad_targets_lengths, pad_source_lengths
# ## Train
# In[18]:
# 将数据集分割为train和validation
train_source = source_int[batch_size:]
train_target = target_int[batch_size:]
# 留出一个batch进行验证
valid_source = source_int[:batch_size]
valid_target = target_int[:batch_size]
(valid_targets_batch, valid_sources_batch, valid_targets_lengths, valid_sources_lengths) = next(get_batches(valid_target, valid_source, batch_size,
source_letter_to_int['<PAD>'],
target_letter_to_int['<PAD>']))
display_step = 50 # 每隔50轮输出loss
checkpoint = "trained_model.ckpt"
with tf.Session(graph=train_graph) as sess:
sess.run(tf.global_variables_initializer())
for epoch_i in range(1, epochs+1):
for batch_i, (targets_batch, sources_batch, targets_lengths, sources_lengths) in enumerate(
get_batches(train_target, train_source, batch_size,
source_letter_to_int['<PAD>'],
target_letter_to_int['<PAD>'])):
_, loss = sess.run(
[train_op, cost],
{input_data: sources_batch,
targets: targets_batch,
lr: learning_rate,
target_sequence_length: targets_lengths,
source_sequence_length: sources_lengths})
if batch_i % display_step == 0:
# 计算validation loss
validation_loss = sess.run(
[cost],
{input_data: valid_sources_batch,
targets: valid_targets_batch,
lr: learning_rate,
target_sequence_length: valid_targets_lengths,
source_sequence_length: valid_sources_lengths})
print('Epoch {:>3}/{} Batch {:>4}/{} - Training Loss: {:>6.3f} - Validation loss: {:>6.3f}'
.format(epoch_i,
epochs,
batch_i,
len(train_source) // batch_size,
loss,
validation_loss[0]))
# 保存模型
saver = tf.train.Saver()
saver.save(sess, checkpoint)
print('Model Trained and Saved')
Epoch 1/60 Batch 50/77 - Training Loss: 2.332 - Validation loss: 2.091
Epoch 2/60 Batch 50/77 - Training Loss: 1.803 - Validation loss: 1.593
Epoch 3/60 Batch 50/77 - Training Loss: 1.550 - Validation loss: 1.379
Epoch 4/60 Batch 50/77 - Training Loss: 1.343 - Validation loss: 1.184
Epoch 5/60 Batch 50/77 - Training Loss: 1.230 - Validation loss: 1.077
Epoch 6/60 Batch 50/77 - Training Loss: 1.096 - Validation loss: 0.956
Epoch 7/60 Batch 50/77 - Training Loss: 0.993 - Validation loss: 0.849
Epoch 8/60 Batch 50/77 - Training Loss: 0.893 - Validation loss: 0.763
Epoch 9/60 Batch 50/77 - Training Loss: 0.808 - Validation loss: 0.673
Epoch 10/60 Batch 50/77 - Training Loss: 0.728 - Validation loss: 0.600
Epoch 11/60 Batch 50/77 - Training Loss: 0.650 - Validation loss: 0.539
Epoch 12/60 Batch 50/77 - Training Loss: 0.594 - Validation loss: 0.494
Epoch 13/60 Batch 50/77 - Training Loss: 0.560 - Validation loss: 0.455
Epoch 14/60 Batch 50/77 - Training Loss: 0.502 - Validation loss: 0.411
Epoch 15/60 Batch 50/77 - Training Loss: 0.464 - Validation loss: 0.380
Epoch 16/60 Batch 50/77 - Training Loss: 0.428 - Validation loss: 0.352
Epoch 17/60 Batch 50/77 - Training Loss: 0.394 - Validation loss: 0.323
Epoch 18/60 Batch 50/77 - Training Loss: 0.364 - Validation loss: 0.297
Epoch 19/60 Batch 50/77 - Training Loss: 0.335 - Validation loss: 0.270
Epoch 20/60 Batch 50/77 - Training Loss: 0.305 - Validation loss: 0.243
Epoch 21/60 Batch 50/77 - Training Loss: 0.311 - Validation loss: 0.248
Epoch 22/60 Batch 50/77 - Training Loss: 0.253 - Validation loss: 0.203
Epoch 23/60 Batch 50/77 - Training Loss: 0.227 - Validation loss: 0.182
Epoch 24/60 Batch 50/77 - Training Loss: 0.204 - Validation loss: 0.165
Epoch 25/60 Batch 50/77 - Training Loss: 0.184 - Validation loss: 0.150
Epoch 26/60 Batch 50/77 - Training Loss: 0.166 - Validation loss: 0.136
Epoch 27/60 Batch 50/77 - Training Loss: 0.150 - Validation loss: 0.124
Epoch 28/60 Batch 50/77 - Training Loss: 0.135 - Validation loss: 0.113
Epoch 29/60 Batch 50/77 - Training Loss: 0.121 - Validation loss: 0.103
Epoch 30/60 Batch 50/77 - Training Loss: 0.109 - Validation loss: 0.094
Epoch 31/60 Batch 50/77 - Training Loss: 0.098 - Validation loss: 0.086
Epoch 32/60 Batch 50/77 - Training Loss: 0.088 - Validation loss: 0.079
Epoch 33/60 Batch 50/77 - Training Loss: 0.079 - Validation loss: 0.073
Epoch 34/60 Batch 50/77 - Training Loss: 0.071 - Validation loss: 0.067
Epoch 35/60 Batch 50/77 - Training Loss: 0.063 - Validation loss: 0.062
Epoch 36/60 Batch 50/77 - Training Loss: 0.057 - Validation loss: 0.057
Epoch 37/60 Batch 50/77 - Training Loss: 0.052 - Validation loss: 0.053
Epoch 38/60 Batch 50/77 - Training Loss: 0.047 - Validation loss: 0.049
Epoch 39/60 Batch 50/77 - Training Loss: 0.043 - Validation loss: 0.045
Epoch 40/60 Batch 50/77 - Training Loss: 0.039 - Validation loss: 0.042
Epoch 41/60 Batch 50/77 - Training Loss: 0.036 - Validation loss: 0.039
Epoch 42/60 Batch 50/77 - Training Loss: 0.033 - Validation loss: 0.037
Epoch 43/60 Batch 50/77 - Training Loss: 0.030 - Validation loss: 0.034
Epoch 44/60 Batch 50/77 - Training Loss: 0.028 - Validation loss: 0.032
Epoch 45/60 Batch 50/77 - Training Loss: 0.026 - Validation loss: 0.029
Epoch 46/60 Batch 50/77 - Training Loss: 0.024 - Validation loss: 0.028
Epoch 47/60 Batch 50/77 - Training Loss: 0.027 - Validation loss: 0.029
Epoch 48/60 Batch 50/77 - Training Loss: 0.030 - Validation loss: 0.030
Epoch 49/60 Batch 50/77 - Training Loss: 0.023 - Validation loss: 0.026
Epoch 50/60 Batch 50/77 - Training Loss: 0.021 - Validation loss: 0.024
Epoch 51/60 Batch 50/77 - Training Loss: 0.019 - Validation loss: 0.022
Epoch 52/60 Batch 50/77 - Training Loss: 0.017 - Validation loss: 0.021
Epoch 53/60 Batch 50/77 - Training Loss: 0.016 - Validation loss: 0.020
Epoch 54/60 Batch 50/77 - Training Loss: 0.015 - Validation loss: 0.019
Epoch 55/60 Batch 50/77 - Training Loss: 0.014 - Validation loss: 0.018
Epoch 56/60 Batch 50/77 - Training Loss: 0.013 - Validation loss: 0.018
Epoch 57/60 Batch 50/77 - Training Loss: 0.012 - Validation loss: 0.017
Epoch 58/60 Batch 50/77 - Training Loss: 0.011 - Validation loss: 0.016
Epoch 59/60 Batch 50/77 - Training Loss: 0.011 - Validation loss: 0.016
Epoch 60/60 Batch 50/77 - Training Loss: 0.010 - Validation loss: 0.015
Model Trained and Saved
# ## 预测
# In[21]:
def source_to_seq(text):
'''
对源数据进行转换
'''
sequence_length = 7
return [source_letter_to_int.get(word, source_letter_to_int['<UNK>']) for word in text] + [source_letter_to_int['<PAD>']]*(sequence_length-len(text))
# 输入一个单词
input_word = 'common'
text = source_to_seq(input_word)
checkpoint = "./trained_model.ckpt"
loaded_graph = tf.Graph()
with tf.Session(graph=loaded_graph) as sess:
# 加载模型
loader = tf.train.import_meta_graph(checkpoint + '.meta')
loader.restore(sess, checkpoint)
input_data = loaded_graph.get_tensor_by_name('inputs:0')
logits = loaded_graph.get_tensor_by_name('predictions:0')
source_sequence_length = loaded_graph.get_tensor_by_name('source_sequence_length:0')
target_sequence_length = loaded_graph.get_tensor_by_name('target_sequence_length:0')
answer_logits = sess.run(logits, {input_data: [text]*batch_size,
target_sequence_length: [len(text)]*batch_size,
source_sequence_length: [len(text)]*batch_size})[0]
pad = source_letter_to_int["<PAD>"]
print('原始输入:', input_word)
print('\nSource')
print(' Word 编号: {}'.format([i for i in text]))
print(' Input Words: {}'.format(" ".join([source_int_to_letter[i] for i in text])))
print('\nTarget')
print(' Word 编号: {}'.format([i for i in answer_logits if i != pad]))
print(' Response Words: {}'.format(" ".join([target_int_to_letter[i] for i in answer_logits if i != pad])))
INFO:tensorflow:Restoring parameters from ./trained_model.ckpt
原始输入: common
Source
Word 编号: [20, 28, 6, 6, 28, 5, 0]
Input Words: c o m m o n <PAD>
Target
Word 编号: [20, 6, 6, 5, 28, 28, 3]
Response Words: c m m n o o <EOS>