借助堆栈以非递归(循环)方式求解汉诺塔的问题(n, a, b, c),即将N个盘子从起始柱(标记为“a”)通过借助柱(标记为“b”)移动到目标柱(标记为“c”),并保证每个移动符合汉诺塔问题的要求。
输入格式:
输入为一个正整数N,即起始柱上的盘数。
输出格式:
每个操作(移动)占一行,按柱1 -> 柱2的格式输出。
输入样例:
3
输出样例:
a -> c
a -> b
c -> b
a -> c
b -> a
b -> c
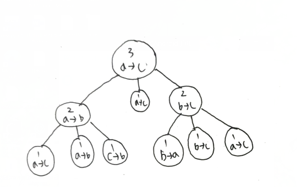
a -> c要实现非递归的汉诺塔,我们就要先分析下递归汉诺塔的过程
下面的图片是我画的过程图解(一手烂字,将就一下),数字是当前待处理的物品个数,数字下面的是当前任务的目标(如3 a->c的意思是此次任务有3个物品要移动,从a最后移动到c)

我们不难发现,这种树的叶节点就是我们的答案,及当物品数为1时,就要输出此次的过程。
一下是代码实现
#include<iostream>
#include<cstdio>
#include<stack>
using namespace std;
struct note{ //note表示每一次任务的状态,s是起点,e是终点,n是物品数量
char s,e;
int n;
};
stack<note> st; //建栈实现“递归”
void insert(stack<note> &t,char s,char e,int n){// 将状态(起点为s,终点为e,数量为n)入栈
note N;
N.s=s,N.e=e,N.n=n;
t.push(N);
}
void print(note n){ //输出节点n
printf("%c -> %c\n",n.s,n.e);
}
char f(note n){ //找到中转地
int a[4]={0};
a[n.s-'a']++;
a[n.e-'a']++;
int i=0;
for(;i<=2;i++){
if(!a[i])break;
}
return 'a'+i;
}
int main(){
int n ;
scanf("%d",&n);
note N;
N.s='a',N.e='c',N.n=n;
st.push(N);
while(!st.empty()){
N=st.top();
st.pop();
if(N.n==1)print(N);
else {
char x=f(N);
insert(st,x,N.e,N.n-1); //自己对着图看吧,三个过程
insert(st,N.s,N.e,1);
insert(st,N.s,x,N.n-1);
}
}
} 版权声明:本文为m0_63535901原创文章,遵循CC 4.0 BY-SA版权协议,转载请附上原文出处链接和本声明。