标定
单目结构光三维扫描仪的标定,主要是将投影仪逆向成一个相机的过程,标定过程中投影仪投射横竖多频条纹,解相后得到在相机对应的投影感器的像素值,将相机纹理像素和投影仪传感像素对应后,识别两个相机的标定板(这里已经把投影仪看作一个相机)。
上图为相机识别标定板的输出结果,分辨率为1280x1024
上图为投影仪逆向相机后识别标定板的输出结果。分辨率为1280x720
此时完全可以当成双目相机来标定。分别可以得出相应相机内参。
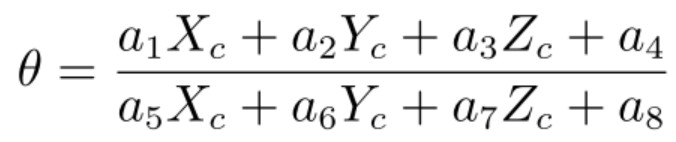
八参数标定
用单目八参数标定法的话,还需要根据竖条纹相位值做8个参数标定
八参数法三维扫描的时候,只需要打竖条纹结构光即可根据八参数值换算成三维坐标。

上图为竖条纹解相结果
三维重建

原始扫描的图片
1.多频竖条纹扫描(八参数标定法)
这里我使用的是4频4步相移,只有竖条纹,共16张
八参数法扫描的三维数据
2.多频横竖条纹扫描
这里我使用的是4频4步相移,横竖条纹,共32张
横竖多频扫描的三维数据
八参数标定法 VS 横竖条纹法
从上面扫描数据看,其实看不出什么太大问题,从原理来说 横竖条纹法数据会更精准些,但是拍照需要更多,解相也花时间,八参数标定法,基本是拍完照立刻出三维模型,计算时间都基本可以忽略,用cuda后更是快速出数据。
这里有2个三维数据模型重叠的数据可以看出他们还是有些不一样的。
单目结构光三维扫描仪重建后的三维模型

后续
后续有时间再说说双目结构光的各种重建,除了多频结构光外还有立体匹配(SGM , patch-match)等,我们会对比他们的效果和使用场景。
版权声明:本文为hoguowi原创文章,遵循CC 4.0 BY-SA版权协议,转载请附上原文出处链接和本声明。