LeetCode 112 路径总和 题解
给你二叉树的根节点 root 和一个表示目标和的整数 targetSum ,判断该树中是否存在 根节点到叶子节点 的路径,这条路径上所有节点值相加等于目标和 targetSum 。
叶子节点 是指没有子节点的节点。
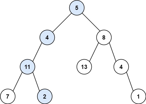
示例 1:

输入:root = [5,4,8,11,null,13,4,7,2,null,null,null,1], targetSum = 22
输出:true
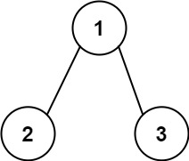
示例 2:

输入:root = [1,2,3], targetSum = 5
输出:false
示例 3:
输入:root = [1,2], targetSum = 0
输出:false
提示:
树中节点的数目在范围 [0, 5000] 内
-1000 <= Node.val <= 1000
-1000 <= targetSum <= 1000
代码:
/**
* Definition for a binary tree node.
* public class TreeNode {
* int val;
* TreeNode left;
* TreeNode right;
* TreeNode() {}
* TreeNode(int val) { this.val = val; }
* TreeNode(int val, TreeNode left, TreeNode right) {
* this.val = val;
* this.left = left;
* this.right = right;
* }
* }
*/
class Solution {
public boolean hasPathSum(TreeNode root, int sum) {
//1.递归 dfs
if(root == null){
return false;
}
// if(root.left == null && root.right == null){
// return root.val == sum;
// }
// return hasPathSum(root.left, sum - root.val) || hasPathSum(root.right, sum - root.val);
//2.迭代 bfs
Queue<TreeNode> nodes = new LinkedList<>();
Queue<Integer> nodeVal = new LinkedList<>();
nodes.offer(root);
nodeVal.offer(root.val);
while(!nodes.isEmpty()){
TreeNode cur = nodes.poll();
int curVal = nodeVal.poll();
if(cur.left == null && cur.right == null){
if(curVal == sum){
return true;
}
continue;
}
if(cur.left != null){
nodeVal.offer(curVal + cur.left.val);
nodes.offer(cur.left);
}
if(cur.right != null){
nodeVal.offer(curVal + cur.right.val);
nodes.offer(cur.right);
}
}
return false;
}
}
版权声明:本文为qq_39618369原创文章,遵循CC 4.0 BY-SA版权协议,转载请附上原文出处链接和本声明。