搜索相关问题
深度优先搜索和广度优先搜索是两种最常见的优先搜索方法,它们被广泛地运用在图和树等结构中进行搜索。
1.深度优先搜索问题
在搜索到一个新的节点时,立即对该新节点进行遍历;因此遍历需要用先入后出的栈来实现,也可以通过与栈等价的递归来实现。深度优先搜索也可以用来检测环路:记录每个遍历过的节点的父节点,若一个节点被再次遍历且父节点不同,则说明有环。我们也可以用之后会讲到的拓扑排序判断是否有环路,若最后存在入度不为零的点,则说明有环。
695. Max Area of Island (Easy)
题目描述
给定一个二维的0-1 矩阵,其中0 表示海洋,1 表示陆地。单独的或相邻的陆地可以形成岛
屿,每个格子只与其上下左右四个格子相邻。求最大的岛屿面积。
输入输出样例
输入是一个二维数组,输出是一个整数,表示最大的岛屿面积。
Input:
[[1,0,1,1,0,1,0,1],
[1,0,1,1,0,1,1,1],
[0,0,0,0,0,0,0,1]]
Output: 6
思路
遍历所有元素,如果某元素不为0,从该位置深度优先遍历,记录与该位置相连的岛的数量。最后返回最大的岛的数量。一个tip:在遍历过某个岛时,只要将其设为0,就能记录其访问过,不需要另外的数组对其进行记录。
代码(非递归版)
public int maxAreaOfIsland(int[][] grid) {
int m = grid.length;
int n = grid[0].length;
int max_area = 0;
for(int i=0;i<m;i++){
for(int j=0;j<n;j++){
if(grid[i][j]==1){ //是陆地,且没被访问过
int area = 0;
grid[i][j]=0; //表示该位置已经遍历过了
Stack<int[]> stack = new Stack<>();
stack.push(new int[]{i,j}); //把该位置进栈
while (!stack.isEmpty()){
int[] tem = stack.pop(); //出栈后进行访问
int x = tem[0],y = tem[1];
area++; //陆地数量+1
if(x+1<m && grid[x+1][y]==1){
grid[x+1][y]=0;
stack.push(new int[]{x+1,y});
}
if(x-1>=0 && grid[x-1][y]==1){
grid[x-1][y]=0;
stack.push(new int[]{x-1,y});
}
if(y+1<n && grid[x][y+1]==1){
grid[x][y+1]=0;
stack.push(new int[]{x,y+1});
}
if(y-1>=0 && grid[x][y-1]==1){
grid[x][y-1]=0;
stack.push(new int[]{x,y-1});
}
}
max_area = Math.max(max_area,area);
}
}
}
return max_area;
}
代码(递归版)
class Solution {
public int maxAreaOfIsland(int[][] grid) {
int m = grid.length;
int n = grid[0].length;
int max_area = 0;
for(int i=0;i<m;i++){
for(int j=0;j<n;j++){
if (grid[i][j]==1){
max_area = Math.max(max_area,dfs(grid,new int[]{i,j}));
}
}
}
return max_area;
}
public int dfs(int[][] grid,int[] position){
int area = 0;
int m = grid.length,n = grid[0].length;
int x = position[0],y = position[1];
if(grid[x][y]==1){
area++;
grid[x][y]=0;
}
if(x+1<m && grid[x+1][y]==1){
area+=dfs(grid,new int[]{x+1,y});
}
if(x-1>=0 && grid[x-1][y]==1){
area+=dfs(grid,new int[]{x-1,y});
}
if(y+1<n && grid[x][y+1]==1){
area+=dfs(grid,new int[]{x,y+1});
}
if(y-1>=0 && grid[x][y-1]==1){
area+=dfs(grid,new int[]{x,y-1});
}
return area;
}
}
547. Friend Circles (Medium)
题目描述
给定一个二维的0-1 矩阵,如果第(i, j) 位置是1,则表示第i 个人和第j 个人是朋友。已知
朋友关系是可以传递的,即如果a 是b 的朋友,b 是c 的朋友,那么a 和c 也是朋友,换言之这
三个人处于同一个朋友圈之内。求一共有多少个朋友圈。
输入输出样例
输入是一个二维数组,输出是一个整数,表示朋友圈数量。因为朋友关系具有对称性,该二
维数组为对称矩阵。同时,因为自己是自己的朋友,对角线上的值全部为1。
Input:
[[1,1,0],
[1,1,0],
[0,0,1]]
Output: 2
思路
是一个深度遍历的问题,寻找一共有多少个“环”。可以分别从不同且没被访问的人出发遍历,如果是朋友就会被遍历访问到,将其标记。最后统计一共开始出发遍历了多少次即可。
代码
class Solution {
boolean[] visited;
public int findCircleNum(int[][] isConnected) {
int m = isConnected.length;
int n = isConnected[0].length;
visited = new boolean[m];
for(int i=0;i<m;i++){
visited[i]=false;
}
int count = 0;
for(int i=0;i<m;i++){
if(!visited[i]){
count++;
dfs(isConnected,i);
}
}
return count;
}
public void dfs(int[][] isConnected,int i){
if(!visited[i]){
visited[i]=true;
}
for(int j=0;j<isConnected.length;j++){
if(isConnected[i][j]==1 && !visited[j]){
dfs(isConnected,j);
}
}
}
}
417. Pacific AtlanticWater Flow (Medium)
题目描述
给定一个二维的非负整数矩阵,每个位置的值表示海拔高度。假设左边和上边是太平洋,右边和下边是大西洋,求从哪些位置向下流水,可以流到太平洋和大西洋。水只能从海拔高的位置流到海拔低或相同的位置。
输入输出样例
输入是一个二维的非负整数数组,表示海拔高度。输出是一个二维的数组,其中第二个维度大小固定为2,表示满足条件的位置坐标。
输入: heights = [[1,2,2,3,5],[3,2,3,4,4],[2,4,5,3,1],[6,7,1,4,5],[5,1,1,2,4]]
输出: [[0,4],[1,3],[1,4],[2,2],[3,0],[3,1],[4,0]]
示例 2:
输入: heights = [[2,1],[1,2]]
输出: [[0,0],[0,1],[1,0],[1,1]]
思路
如果从中间的元素正向搜索会比较麻烦,可以从数组最外层依次向里面深度优先遍历。分别用两个二维bool数组记录可以流入两个海洋的元素位置。之后,再遍历两个二维数组,利用这两个二维bool数组记录已经访问过的位置,最后如果某位置既能流入大西洋也能流入太平洋,输出该位置。
代码
class Solution {
public List<List<Integer>> pacificAtlantic(int[][] heights) {
//从边缘海洋四周反向深度优先遍历
int m=heights.length;
int n=heights[0].length;
boolean[][] pacific = new boolean[m][n]; //记录可以流入太平洋的位置
boolean[][] atlantic = new boolean[m][n]; //记录可以流入大西洋的位置
for(int i=0;i<m;i++){
for(int j=0;j<n;j++){
pacific[i][j]=false;
atlantic[i][j]=false;
}
}
// 能流入太平洋的位置
for(int i=0;i<n;i++){
dfs(new int[]{0,i},heights,pacific);
}
for(int j=0;j<m;j++){
dfs(new int[]{j,0},heights,pacific);
}
//能流入大西洋的位置
for(int i=0;i<n;i++){
dfs(new int[]{m-1,i},heights,atlantic);
}
for(int j=0;j<m;j++){
dfs(new int[]{j,n-1},heights,atlantic);
}
List<List<Integer>>list = new ArrayList<>();
//统计既能流入太平洋又能流入大西洋的位置
for(int i=0;i<m;i++){
for (int j = 0; j < n; j++) {
if(pacific[i][j]&&atlantic[i][j]){
List<Integer> result = new ArrayList<>();
result.add(i);
result.add(j);
list.add(result);
}
}
}
return list;
}
public void dfs(int[]position,int[][] heights,boolean[][]visited){
int m = visited.length;
int n= visited[0].length;
int x=position[0],y=position[1];
if(visited[x][y])return;
visited[x][y]=true;
if(x+1<m && heights[x+1][y]>=heights[x][y]){
dfs(new int[]{x+1,y},heights,visited);
}
if(x-1>=0 && heights[x-1][y]>=heights[x][y]){
dfs(new int[]{x-1,y},heights,visited);
}
if(y+1<n && heights[x][y+1]>=heights[x][y]){
dfs(new int[]{x,y+1},heights,visited);
}
if(y-1>=0 && heights[x][y-1]>=heights[x][y]){
dfs(new int[]{x,y-1},heights,visited);
}
}
}
46. Permutations (Medium)
问题描述
给定一个不含重复数字的数组 nums ,返回其 所有可能的全排列 。你可以 按任意顺序 返回答案。
输入输出样例
示例 1:
输入:nums = [1,2,3]
输出:[[1,2,3],[1,3,2],[2,1,3],[2,3,1],[3,1,2],[3,2,1]]
示例 2:
输入:nums = [0,1]
输出:[[0,1],[1,0]]
示例 3:
输入:nums = [1]
输出:[[1]]
思路
假设有一个空的排列[],每次将一个数放在start的位置,start递增+1,当start到末尾的位置时,这样一个排列就排好了。每次排一个位置时,将nums循环遍历一次,将没有访问过的元素放入该位置,并标记其访问过。一个排列完成后,需要将访问过的元素重新置为未访问。
代码
class Solution {
public List<List<Integer>> permute(int[] nums) {
List<Integer> list = new LinkedList<>();
List<List<Integer>> result = new LinkedList<>();
boolean[] visited = new boolean[nums.length];
for (int i = 0; i < visited.length; i++) {
visited[i]=false;
}
dfs(0,nums,visited,list,result);
return result;
}
public void dfs(int start,int[]nums,boolean[]visited,List<Integer> list,List<List<Integer>> result){
if(start == nums.length){
result.add(new LinkedList<>(list));
return;
}
for(int i=0;i<nums.length;i++){
if(!visited[i]){ //将每一个未访问过的数都往start的位置放置
list.add(nums[i]); //访问该位置
visited[i]=true;
dfs(start+1,nums,visited,list,result); //准备放置start+1位置
list.remove(list.size()-1); //把上一个排好的回溯
visited[i]=false;
}
}
}
}
77. Combinations (Medium)
问题描述
给定两个整数 n 和 k,返回范围 [1, n] 中所有可能的 k 个数的组合。你可以按 任何顺序 返回答案。
输入输出样例
示例 1:
输入:n = 4, k = 2
输出:
[
[2,4],
[3,4],
[2,3],
[1,2],
[1,3],
[1,4],
]
示例 2:
输入:n = 1, k = 1
输出:[[1]]
思路
这是一个组合问题,和排列问题有类似也有区别。
相当于一个深度优先搜索问题,先从start出发开始搜索,将当前位置的元素加入list表中,如果表长度为k则将该list结果放入result表中。之后从start+1开始遍历剩余数组,分别从剩余的数组进行深度优先搜索。(优化:遍历剩余数组时,剪枝优化,遍历范围为[start,n-(list.size()-k-1]左闭右闭区间)
class Solution {
List<Integer> list;
List<List<Integer>> result;
public List<List<Integer>> combine(int n, int k) {
result = new LinkedList<>();
list = new LinkedList<>();
dfs(1,n,k);
return result;
}
public void dfs(int start,int n,int k){
if(start>n-(k-list.size())+1) return; //剪枝优化
if(list.size() == k){
result.add(new LinkedList<>(list));
return;
}
for(int i=start;i<=n;i++){
list.add(i);
dfs(i+1,n,k); //从剩余数组中搜索遍历
list.remove(list.size()-1);
}
}
}
回溯算法模板:
void backtracking(参数) {
if (终止条件) {
存放结果;
return;
}
for (选择:本层集合中元素(树中节点孩子的数量就是集合的大小)) {
处理节点;
backtracking(路径,选择列表); // 递归
回溯,撤销处理结果
}
}
79. Word Search (Medium)
问题描述
给定一个字母矩阵,所有的字母都与上下左右四个方向上的字母相连。给定一个字符串,求字符串能不能在字母矩阵中寻找到。
输入输出样例
示例 1:
输入:board = [[“A”,“B”,“C”,“E”],[“S”,“F”,“C”,“S”],[“A”,“D”,“E”,“E”]], word = “ABCCED”
输出:true
示例 2:
输入:board = [[“A”,“B”,“C”,“E”],[“S”,“F”,“C”,“S”],[“A”,“D”,“E”,“E”]], word = “SEE”
输出:true
思路
遍历二维char数组,从board[i][j]==word.charAt(0)的位置开始深度优先搜索,每次搜索用一个指针指向字符串,如果字符串最后指向了string.length()的位置,则说明找到了全部的字符串,返回false。否则查找该字符字符相邻4个位置的字符,查找完一个位置,每次需要回溯。
代码
class Solution {
char[][] board;
int m,n;
public boolean exist(char[][] board, String word) {
m = board.length;
n = board[0].length;
this.board = board;
boolean[][] visited = new boolean[m][n];
boolean result;
for(int i=0;i<m;i++){
for(int j=0;j<n;j++){
if(board[i][j]==word.charAt(0)){
result = dfs(i,j,0,word,visited);
if(result) return true;
}
}
}
return false;
}
public boolean dfs(int i,int j,int current,String word,boolean[][] visited){
if(current == word.length()){
//一直找到了最后一个
return true;
}
if(i>=m || j>=n || i<0 || j<0)return false;
boolean flag = false;
if(!visited[i][j] && board[i][j]==word.charAt(current)){
visited[i][j]=true;
boolean right=false,left=false,down=false,up=false;
right = dfs(i+1,j,current+1,word,visited);
down = dfs(i,j+1,current+1,word,visited);
left = dfs(i-1,j,current+1,word,visited);
up = dfs(i,j-1,current+1,word,visited);
visited[i][j]=false; //将搜索的位置回溯,注意字符串指针不用回溯
flag = right || down || up || left;
return flag;
}
return false;
}
}
51. N-Queens (Hard)
问题描述
给定一个大小为n 的正方形国际象棋棋盘,求有多少种方式可以放置n 个皇后并使得她们互不攻击,即每一行、列、左斜、右斜最多只有一个皇后。
输入输出样例
示例1:
输入:n = 4
输出:[[“.Q…”,“…Q”,“Q…”,“…Q.”],[“…Q.”,“Q…”,“…Q”,“.Q…”]]
解释:如上图所示,4 皇后问题存在两个不同的解法。
示例 2:
输入:n = 1
输出:[[“Q”]]
思路
由于同行,同列,同对角线都不能同时有两个Queen,而且n*n的棋盘放n个,则肯定是每一行都有一个(或者每一列都有一个)。可以一行一行的去遍历,然后每一行再从左往右遍历搜索满足条件的位置。相当于深度优先搜索,如果某一行的位置无法满足条件,需要回溯到上一行的位置。
代码
class Solution {
HashSet<Integer> column; //记录某列无法别访问
HashSet<Integer> diag1; //记录对角线斜率,只要斜率在diag1,diag2就无法访问
HashSet<Integer> diag2;
public List<List<String>> solveNQueens(int n) {
column = new HashSet<>();
diag1 = new HashSet<>();
diag2 = new HashSet<>();
List<List<String>> result = new LinkedList<>();
queensDFS(0,n,new LinkedList<>(),result);
return result;
}
//list记录每行可行的列的索引集合
public void queensDFS(int row,int n,List<Integer> list,List<List<String>> result){//用row遍历每一行
if(row == n){ //遍历完
List<String> strings = convert2board(list, n);
result.add(strings);
return;
}
for(int j=0;j<n;j++){ //遍历列
if(!column.contains(j) && !diag1.contains(j+row) && !diag2.contains(j-row)){ //可以放置的位置
column.add(j); //将这一列记录下来,标记
diag1.add(j+row); //将这条副对角线记录下来
diag2.add(j-row);//将这条主对角线记录下来
list.add(j); //将当前行可以放的列位置记录
queensDFS(row+1,n,list,result);
//回溯
list.remove(list.size()-1);
column.remove(j);
diag1.remove(j+row);
diag2.remove(j-row);
}
}
}
//将记录可行的列的索引集合,转换为输出所需的List<String>类型
public List<String> convert2board(List<Integer> list,int n){
List<String> strings = new LinkedList<>();
for(Integer i:list){
char[] chars = new char[n];
Arrays.fill(chars,'.');
chars[i]='Q';
strings.add(new String(chars));
}
return strings;
}
}
广度优先搜索问题
934. Shortest Bridge (Medium)
问题描述
在给定的二维二进制数组 A 中,存在两座岛。(岛是由四面相连的 1 形成的一个最大组。)
现在,我们可以将 0 变为 1,以使两座岛连接起来,变成一座岛。
返回必须翻转的 0 的最小数目。(可以保证答案至少是 1 。)
输入输出样例
示例 1:
输入:A = [[0,1],[1,0]]
输出:1
示例 2:
输入:A = [[0,1,0],[0,0,0],[0,0,1]]
输出:2
示例 3:
输入:A = [[1,1,1,1,1],[1,0,0,0,1],[1,0,1,0,1],[1,0,0,0,1],[1,1,1,1,1]]
输出:1
思路
先从任意位置找到一个岛,然后使用深度优先搜索(也可以广度优先)找到一个完整岛链。然后可以在遍历的时候把访问过的位置置为2,这样我们找到的第一个岛链位置全部值都为2。之后使用广度优先搜索,相当于将现有岛链一层一层向外扩展,遇到值为0的位置,将其置为2(填岛),遇到值为1的位置,说明两个岛链相连了,此时返回扩展的层数即可。
代码
class Solution {
int m;
int n;
public int shortestBridge(int[][] grid) {
Deque<int[]> deque = new LinkedList<>();
m = grid.length;
n = grid[0].length;
boolean flag = true;
for(int i=0;i<m;i++){
if(!flag)break;
for (int j = 0; j < n; j++) {
if(grid[i][j]==1){
bridgeDFS(i,j,grid,deque);
flag = false; //跳出外层循环
break; //跳出当前循环
}
}
}
int level = 0; //记录遍历的层数
int[][] arounds = {{0,1},{0,-1},{1,0},{-1,0}};
while (!deque.isEmpty()){
int len = deque.size();
while(len-->0){ //将当前层遍历完
int[] tem = deque.pollFirst();
int x = tem[0],y = tem[1];
//从四个方向再次搜索
for(int[] around:arounds){
int x1 = x+around[0];
int y1 = y+around[1];
if(x1<m && x1>=0 && y1<n && y1>=0){
if(grid[x1][y1] == 0){
grid[x1][y1]=2;
deque.offerLast(new int[]{x1,y1});
}
if(grid[x1][y1] == 1){
return level;
}
}
}
}
level++; //扩展层+1
}
return -1;
}
public void bridgeDFS(int i,int j,int[][] grad,Deque<int[]> isLand){
if(grad[i][j]==1){
grad[i][j]=2; //标记访问
isLand.offerLast(new int[]{i,j});
if(i+1<grad.length){
bridgeDFS(i+1,j,grad,isLand);
}
if(i-1>=0){
bridgeDFS(i-1,j,grad,isLand);
}
if(j+1<grad[0].length){
bridgeDFS(i,j+1,grad,isLand);
}
if(j-1>=0){
bridgeDFS(i,j-1,grad,isLand);
}
}
}
}
130. Surrounded Regions (Medium)
问题说明
给你一个 m x n 的矩阵 board ,由若干字符 ‘X’ 和 ‘O’ ,找到所有被 ‘X’ 围绕的区域,并将这些区域里所有的 ‘O’ 用 ‘X’ 填充。
输入输出样例
输入:board = [[“X”,“X”,“X”,“X”],[“X”,“O”,“O”,“X”],[“X”,“X”,“O”,“X”],[“X”,“O”,“X”,“X”]]
输出:[[“X”,“X”,“X”,“X”],[“X”,“X”,“X”,“X”],[“X”,“X”,“X”,“X”],[“X”,“O”,“X”,“X”]]
解释:被围绕的区间不会存在于边界上,换句话说,任何边界上的 ‘O’ 都不会被填充为 ‘X’。 任何不在边界上,或不与边界上的 ‘O’ 相连的 ‘O’ 最终都会被填充为 ‘X’。如果两个元素在水平或垂直方向相邻,则称它们是“相连”的。
思路
周围的O不用填充,于是可以考虑从周围的O开始深度优先搜索,将搜索到的进行标记。之后再次遍历二维数组,将没有标记的O置为X即可。
代码
class Solution {
boolean[][] visited;
public void solve(char[][] board) {
int m = board.length;
int n = board[0].length;
visited = new boolean[m][n];
for(int j=0;j<n;j++){
boardDFS(0,j,board);//最上面
boardDFS(m-1,j,board);//最下面
}
for(int i=0;i<m;i++){
boardDFS(i,0,board);//最左侧
boardDFS(i,n-1,board);//最右侧
}
for (int i = 0; i < m; i++) {
for (int j = 0; j < n; j++) {
if(board[i][j]=='O'){
board[i][j]='X';
}
if(board[i][j]=='A'){ //将周围暂做标记的A改回O
board[i][j]='O';
}
}
}
}
public void boardDFS(int i,int j,char[][]board){
if(!visited[i][j] && board[i][j]=='O'){
visited[i][j]=true;
board[i][j]='A'; //用A暂做标记,表示周围相连的O
int[][]around = {{0,1},{0,-1},{-1,0},{1,0}};
for (int[] tem : around) {
int x = i+tem[0];
int y = j+tem[1];
if(x>=0 && x<board.length && y>=0 && y<board[0].length){
boardDFS(x,y,board);
}
}
}
}
}
257. Binary Tree Paths (Easy)
问题描述
给你一个二叉树的根节点 root ,按 任意顺序 ,返回所有从根节点到叶子节点的路径。
叶子节点 是指没有子节点的节点。
输入输出样例
示例1:
输入:root = [1,2,3,null,5]
输出:[“1->2->5”,“1->3”]
示例 2:
输入:root = [1]
输出:[“1”]
思路
从根节点开始深度优先搜索,用一个list表记录遍历到的节点信息,如果当前是叶子节点的时候,将叶子节点加入list中,然后将list整体结果保存在result的list集合中。每次遍历完一个节点时,还要回溯,否则输出list结果就是先序遍历的结果了。
代码
/**
* Definition for a binary tree node.
* public class TreeNode {
* int val;
* TreeNode left;
* TreeNode right;
* TreeNode() {}
* TreeNode(int val) { this.val = val; }
* TreeNode(int val, TreeNode left, TreeNode right) {
* this.val = val;
* this.left = left;
* this.right = right;
* }
* }
*/
class Solution {
public List<String> binaryTreePaths(TreeNode root) {
List<Integer> list = new LinkedList<>();
List<String> result = new LinkedList<>();
DFS(root,list,result);
return result;
}
public void DFS(TreeNode root,List<Integer> list,List<String> result){
if(root == null)return;
if(root.left==null && root.right==null ) { //是叶子节点
list.add(root.val); //叶子节点要加进去
String strings = convert(list);
result.add(strings);
list.remove(list.size()-1); //回溯
return;
}
list.add(root.val);
DFS(root.left,list,result);
DFS(root.right,list,result);
list.remove(list.size()-1); //回溯
}
//转化格式
public String convert(List<Integer> list){
StringBuilder stringBuilder = new StringBuilder();
for (int i = 0; i < list.size() - 1; i++) {
stringBuilder.append(list.get(i) + "->");
}
stringBuilder.append(list.get(list.size() - 1));
return new String(stringBuilder);
}
}
47. Permutations II (Medium)
问题描述
给定一个可包含重复数字的序列 nums ,按任意顺序 返回所有不重复的全排列。
示例 1:
输入:nums = [1,1,2]
输出:
[[1,1,2],
[1,2,1],
[2,1,1]]
示例 2:
输入:nums = [1,2,3]
输出:[[1,2,3],[1,3,2],[2,1,3],[2,3,1],[3,1,2],[3,2,1]]
思路
和没有重复数字的全排列类似,只是在排某个位置时,如果访问的当前元素和上一个元素相等(有序),即上一个相同的元素已将访问过了,于是就可以跳过当前元素。
代码
class Solution {
public List<List<Integer>> permuteUnique(int[] nums) {
List<Integer> list = new LinkedList<>();
List<List<Integer>> result = new LinkedList<>();
boolean[] visited = new boolean[nums.length];
Arrays.sort(nums);
dfs(0,nums,visited,list,result);
return result;
}
public void dfs(int start,int[]nums,boolean[]visited,List<Integer> list,List<List<Integer>> result){
if(start == nums.length){
result.add(new LinkedList<>(list));
return;
}
for(int i=0;i<nums.length;i++){
if(visited[i])continue;
if(i>0 && nums[i]==nums[i-1] && visited[i-1]) continue;
list.add(nums[i]); //访问该位置
visited[i]=true;
dfs(start+1,nums,visited,list,result); //准备放置start+1位置
list.remove(list.size()-1); //把上一个排好的回溯
visited[i]=false;
}
}
}
使用一个set来过滤结果:
class Solution {
public List<List<Integer>> permuteUnique(int[] nums) {
List<List<Integer>> result = new LinkedList<>();
List<Integer> list = new LinkedList<>();
Set<Integer> set = new HashSet<>();
boolean[] visited = new boolean[nums.length];
backTrace_permuteUnique2(0,nums,visited,list,result);
return result;
}
void backTrace_permuteUnique2(int start,int[] nums,boolean[] visited,List<Integer> list,List<List<Integer>> result){
if(start == nums.length){
result.add(new LinkedList<>(list));
return;
}
Set<Integer> set = new HashSet<>();
for(int i=0;i<nums.length;i++){
if(!visited[i]){
if(set.contains(nums[i]))continue;
list.add(nums[i]);
set.add(nums[i]);
visited[i]=true;
backTrace_permuteUnique2(start+1,nums,visited,list,result);
list.remove(list.size()-1);
visited[i]=false;
}
}
}
}
40. Combination Sum II (Medium)
问题描述
给定一个候选人编号的集合 candidates 和一个目标数 target ,找出 candidates 中所有可以使数字和为 target 的组合。
candidates 中的每个数字在每个组合中只能使用 一次 。
注意:解集不能包含重复的组合。
输入输出样例
示例 1:
输入: candidates = [10,1,2,7,6,1,5], target = 8,
输出:
[
[1,1,6],
[1,2,5],
[1,7],
[2,6]
]
示例 2:
输入: candidates = [2,5,2,1,2], target = 5,
输出:
[
[1,2,2],
[5]
]
思路
和前面的组合问题类似,需要排除一些相同的情况。一种思路是最后再列表中清除相同的,另外一种思路是在组合的过程中跳过相同的情况。这里说第二种思路:排某一个空位时,从start的位置依次向后遍历放入,如果遇到前一个位置排过相同的元素,即 candidates[i-1]==candidates[i]的情况,就将当前元素跳过。
代码
class Solution {
List<Integer> list;
List<List<Integer>> result;
public List<List<Integer>> combinationSum2(int[] candidates, int target){
result = new LinkedList<>();
list = new LinkedList<>();
Arrays.sort(candidates);
dfs(0,candidates,target);
return result;
}
public void dfs(int start,int[] candidates,int k){
if(sum(list) == k){
result.add(new LinkedList<>(list));
return;
}
if(sum(list)<k){
for(int i=start;i<candidates.length;i++){
//没有i>start条件,则1,1,6这种情况会被跳过
//每次保证当前递归元素被访问,如果从下一个元素开始与前一个元素相同就跳过该元素
if(i>start && candidates[i-1]==candidates[i])continue;
list.add(candidates[i]);
dfs(i+1,candidates,k); //将当前元素的下一个元素进行递归搜索
list.remove(list.size()-1);
}
}
}
public int sum(List<Integer> list){
int s=0;
for(int a:list){
s+=a;
}
return s;
}
}
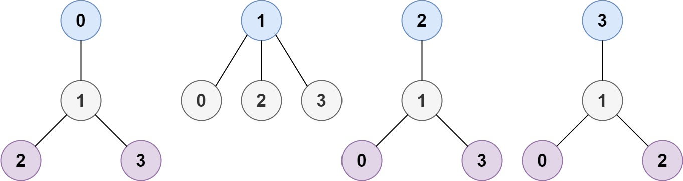
310. Minimum Height Trees (Medium)
问题描述
树是一个无向图,其中任何两个顶点只通过一条路径连接。 换句话说,一个任何没有简单环路的连通图都是一棵树。
给你一棵包含 n 个节点的树,标记为 0 到 n - 1 。给定数字 n 和一个有 n - 1 条无向边的 edges 列表(每一个边都是一对标签),其中 edges[i] = [ai, bi] 表示树中节点 ai 和 bi 之间存在一条无向边。
可选择树中任何一个节点作为根。当选择节点 x 作为根节点时,设结果树的高度为 h 。在所有可能的树中,具有最小高度的树(即,min(h))被称为 最小高度树 。
请你找到所有的 最小高度树 并按 任意顺序 返回它们的根节点标签列表。
树的 高度 是指根节点和叶子节点之间最长向下路径上边的数量。
输入输出样例
输入:n = 4, edges = [[1,0],[1,2],[1,3]]
输出:[1]
解释:如图所示,当根是标签为 1 的节点时,树的高度是 1 ,这是唯一的最小高度树。
思路
方法一:直接使用广度优先遍历(或深度优先遍历)记录树的高度,最后统计最小的数的高度(思路没问题,但是复杂度太高会超时)
方法二:拓扑排序,观察可以得知最小高度树的根节点都在中间。输入是一个无环图,只需从最外层叶子节点开始遍历,每次删除一层叶子节点,最后剩下的一个或者两个叶子节点就是最小高度树的根节点。
代码
class Solution {
public List<Integer> findMinHeightTrees(int n, int[][] edges) {
List<List<Integer>> graph = new ArrayList<>();
List<Integer> leaves = new ArrayList<>();
if(n==1){
leaves.add(0);
return leaves;
}
for (int i = 0; i < n; i++) {
graph.add(new ArrayList<>());
}
//构建邻接表
for(int[] tem:edges){
int x = tem[0],y = tem[1];
graph.get(x).add(y);
graph.get(y).add(x);
}
//用一个列表存储叶子节点
for(int i=0;i<graph.size();i++){
if(graph.get(i).size() == 1){
leaves.add(i);
}
}
while (n>2){
n -= leaves.size();
List<Integer> tem = new ArrayList<>();;
for(int leaf:leaves){
int delet = graph.get(leaf).remove(0); //从邻接表叶子节点所在列表弹出与它相邻结点
graph.get(delet).remove(new Integer(leaf)); //从相邻结点列表中删除叶子节点
if(graph.get(delet).size() == 1)tem.add(delet); //相邻结点删除后如果也成为了一个叶子节点,就用一个新的叶子节点列表添加进去
}
leaves = tem;
}
return leaves;
}
}

