文章目录
臭名昭著的goto
- continue inner,终止inner标签内层循环进入下次循环;
- continue outer,终止outer标签外层循环进入下次循环;
- break inner,终止inner标签内存循环;
- continue outer,终止outer标签外层循环;
带标签的break/continue在for中使用:
package com.onjava8.demo2;
/**
* @Author: dj
* @Date: 2021/6/3 9:30
*/
public class LabelFor{
public static void main(String[] args) {
int i = 0;
outer: // 此处不允许存在执行语句
for(; true ;) { // 无限循环
inner: // 此处不允许存在执行语句
for(; i < 10; i++) {
System.out.println("i = " + i);
if(i == 2) {
System.out.println("continue");
continue; }
if(i == 3) {
System.out.println("break");
i++; // 否则 i 永远无法获得自增
// 获得自增
break; }
if(i == 7) {
System.out.println("continue outer");
i++; // 否则 i 永远无法获得自增
// 获得自增
continue outer;
}
if(i == 8) {
System.out.println("break outer");
break outer;
}
for(int k = 0; k < 5; k++) {
if(k == 3) {
System.out.println("continue inner");
continue inner;
} } } }
// 在此处无法 break 或 continue 标签
} }
运行结果:
i = 0
continue inner
i = 1
continue inner
i = 2
continue
i = 3
break
i = 4
continue inner
i = 5
continue inner
i = 6
continue inner
i = 7
continue outer
i = 8
break outer
带标签的break/continue在while中使用:
package com.onjava8.demo2;
/**
* @Author: dongjie
* @Date: 2021/6/3 10:04
*/
public class LabeledWhile {
public static void main(String[] args) {
int i = 0;
outer:
while(true) {
System.out.println("Outer while loop");
while(true) {
i++;
System.out.println("i = " + i);
if(i == 1) {
System.out.println("continue");
continue; }
if(i == 3) {
System.out.println("continue outer");
continue outer;
}
if(i == 5) {
System.out.println("break");
break; }
if(i == 7) {
System.out.println("break outer");
break outer;
} } } } }
运行结果:
Outer while loop
i = 1
continue
i = 2
i = 3
continue outer
Outer while loop
i = 4
i = 5
break
Outer while loop
i = 6
i = 7
break outer
构造器初始化
初始化顺序
package com.onjava8.demo4;
/**
* @Author: dongjie
* @Date: 2021/6/3 16:02
*/
public class House {
Window w1 = new Window(1); // Before constructor
House() {
// Show that we're in the constructor:
System.out.println("House()");
w3 = new Window(33); // Reinitialize w3
}
Window w2 = new Window(2); // After constructor
void f() {
System.out.println("f()");
}
Window w3 = new Window(3); // At end
}
package com.onjava8.demo4;
/**
* @Author: dongjie
* @Date: 2021/6/3 16:01
*/
public class Window {
Window(int marker) {
System.out.println("Window(" + marker + ")");
}
}
package com.onjava8.demo4;
/**
* @Author: dongjie
* @Date: 2021/6/3 16:01
*/
public class OrderOfInitialization {
public static void main(String[] args) {
House h = new House();
h.f(); // Shows that construction is done
}
}
运行结果:
Window(1)
Window(2)
Window(3)
House()
Window(33)
f()
执行顺序:
静态数据的初始化
无论创建多少个对象,静态数据都只占用一份存储区域。
为什么static关键字不能应用于局部变量?
static 关键字修饰的变量是属于类的,局部变量的生命周期从{…}开始和结束;
package com.onjava8.demo5;
/**
* @Author: dongjie
* @Date: 2021/6/3 16:43
*/
public class StaticInitialization {
public static void main(String[] args) {
System.out.println("main creating new Cupboard()");
new Cupboard();
System.out.println("main creating new Cupboard()");
new Cupboard();
table.f2(1);
cupboard.f3(1);
}
static Table table = new Table();
static Cupboard cupboard = new Cupboard();
}
package com.onjava8.demo5;
/**
* @Author: dongjie
* @Date: 2021/6/3 16:42
*/
public class Cupboard {
Bowl bowl3 = new Bowl(3);
static Bowl bowl4 = new Bowl(4);
Cupboard() {
System.out.println("Cupboard()");
bowl4.f1(2);
}
void f3(int marker) {
System.out.println("f3(" + marker + ")");
}
static Bowl bowl5 = new Bowl(5);
}
package com.onjava8.demo5;
/**
* @Author: dongjie
* @Date: 2021/6/3 16:42
*/
public class Table {
static Bowl bowl1 = new Bowl(1);
Table() {
System.out.println("Table()");
bowl2.f1(1);
}
void f2(int marker) {
System.out.println("f2(" + marker + ")");
}
static Bowl bowl2 = new Bowl(2);
}
package com.onjava8.demo5;
/**
* @Author: dongjie
* @Date: 2021/6/3 16:42
*/
public class Bowl {
Bowl(int marker) {
System.out.println("Bowl(" + marker + ")");
}
void f1(int marker) {
System.out.println("f1(" + marker + ")");
}
}
运行结果:
Bowl(1)
Bowl(2)
Table()
f1(1)
Bowl(4)
Bowl(5)
Bowl(3)
Cupboard()
f1(2)
main creating new Cupboard()
Bowl(3)
Cupboard()
f1(2)
main creating new Cupboard()
Bowl(3)
Cupboard()
f1(2)
f2(1)
f3(1)
执行流程:
显式的静态初始化
当首次访问这个类的静态成员或者首次创建这个类的对象,静态代码块只执行一次
package com.onjava8.demo6;
/**
* @Author: dongjie
* @Date: 2021/6/3 17:19
*/
public class ExplicitStatic {
public static void main(String[] args) {
System.out.println("Inside main()");
}
static Cups cups1 = new Cups(); // [2]
static Cups cups2 = new Cups(); // [2]
}
package com.onjava8.demo6;
/**
* @Author: dongjie
* @Date: 2021/6/3 17:18
*/
public class Cups {
static Cup cup1;
static Cup cup2;
static {
cup1 = new Cup(1);
cup2 = new Cup(2);
}
Cups() {
System.out.println("Cups()");
}
}
package com.onjava8.demo6;
/**
* @Author: dongjie
* @Date: 2021/6/3 17:18
*/
public class Cup {
Cup(int marker) {
System.out.println("Cup(" + marker + ")");
}
void f(int marker) {
System.out.println("f(" + marker + ")");
}
}
运行结果:
Cup(1)
Cup(2)
Cups()
Cups()
Inside main()
运行顺序:
当首次访问这个类的静态成员时,执行顺序:

非静态实例初始化
package com.onjava8.demo7;
/**
* @Author: dongjie
* @Date: 2021/6/4 9:45
*/
public class Mugs {
Mug mug1;
Mug mug2;
{ // [1]
mug1 = new Mug(1);
mug2 = new Mug(2);
System.out.println("mug1 & mug2 initialized");
}
Mugs() {
System.out.println("Mugs()");
}
Mugs(int i) {
System.out.println("Mugs(int)");
}
public static void main(String[] args) {
System.out.println("Inside main()");
new Mugs();
System.out.println("new Mugs() completed");
new Mugs(1);
System.out.println("new Mugs(1) completed");
}
}
package com.onjava8.demo7;
/**
* @Author: dongjie
* @Date: 2021/6/4 9:43
*/
class Mug {
Mug(int marker) {
System.out.println("Mug(" + marker + ")");
}
}
输出:
Inside main()
Mug(1)
Mug(2)
mug1 & mug2 initialized
Mugs()
new Mugs() completed
Mug(1)
Mug(2)
mug1 & mug2 initialized
Mugs(int)
执行顺序:
关于Random r = new Random(47)中47的意思
/**
* 想要获取一个范围内的随机数(例如26,随机数可能是0-25),首先需要一个种子(其实就是一个数值)。
* 每个种子会对应这个范围内(0-26)的唯一的一个随机数。
* 47这个种子在26这个范围内,所对应的随机数为24,所以每次随机得出的结果都为24.
* (注意:47在26这个范围内对应的是24,这个是死的,固定的,无论你执行多少次,它还是24)
* 至于为什么种子47会对应24,这个涉及到java封装的算法,有兴趣可以深入了解。
*
* @Author: dongjie
* @Date: 2021/6/4 10:34
*/
public class ArrayNew {
public static void main(String[] args) {
int[] a;
Random rand = new Random(47);
a = new int[rand.nextInt(26)];
System.out.println("length of a = " + a.length);
System.out.println(Arrays.toString(a));
}
}
运行结果:
length of a = 24
[0, 0, 0, 0, 0, 0, 0, 0, 0, 0, 0, 0, 0, 0, 0, 0, 0, 0, 0, 0, 0, 0, 0, 0]
枚举类型
public enum Spiciness {
NOT, MILD, MEDIUM, HOT, FLAMING
}
class SimpleEnumUse {
public static void main(String[] args) {
Spiciness howHot = Spiciness.MEDIUM;
System.out.println(howHot);
} }
运行结果:
MEDIUM
在你创建 enum 时,编译器会自动添加一些有用的特性。例如,它会创建toString() 方法,以便你方便地显示某个 enum 实例的名称,这从上面例子中的输出可以看出。编译器还会创建 ordinal() 方法表示某个特定 enum 常量的声明顺序
- ordinal():表示enum常量的声明顺序;
class EnumOrder {
public static void main(String[] args) {
for (Spiciness s: Spiciness.values()) {
System.out.println(s + ", ordinal " + s.ordinal());
} } }
运行结果:
NOT, ordinal 0
MILD, ordinal 1
MEDIUM, ordinal 2
HOT, ordinal 3
FLAMING, ordinal 4
由于 switch 是在有限的可能值集合中选择,因此它与 enum 是绝佳的组合。注意,enum 的名称是如何能够倍加清楚地表明程序的目的。
public enum Spiciness {
NOT, MILD, MEDIUM, HOT, FLAMING
}
package com.onjava8.demo9;
import com.onjava8.demo8.Spiciness;
/**
* @Author: dongjie
* @Date: 2021/6/4 11:28
*/
public class Burrito {
Spiciness degree;
public Burrito(Spiciness degree) {
this.degree = degree;
}
public void describe() {
System.out.print("This burrito is ");
switch (degree) {
case NOT:
System.out.println("not spicy at all.");
break;
case MILD:
case MEDIUM:
System.out.println("a little hot.");
break;
case HOT:
case FLAMING:
default:
System.out.println("maybe too hot");
}
}
public static void main(String[] args) {
Burrito plain = new Burrito(Spiciness.NOT),
greenChile = new Burrito(Spiciness.MEDIUM),
jalapeno = new Burrito(Spiciness.HOT);
plain.describe();
greenChile.describe();
jalapeno.describe();
}
}
运行结果:
This burrito is not spicy at all.
This burrito is a little hot.
This burrito is maybe too hot
访问权限
- public:对所有类可见;
- private:对本类可见;
- protected:对同一包类可见及子类可见;
- default:不要修饰符,对同一包类可见;
继承
初始化基类
java自动在派生类构造函数中插入对基类构造函数的调用。
public class Art {
Art() {
System.out.println("Art constructor");
}
}
public class Drawing extends Art{
Drawing() {
System.out.println("Drawing constructor");
}
}
public class Cartoon extends Drawing{
public Cartoon() {
System.out.println("Cartoon constructor");
}
public static void main(String[] args) {
Cartoon x = new Cartoon();
}
}
运行结果:
Art constructor
Drawing constructor
Cartoon constructor
执行顺序:
带参数的构造函数
如果必须调用具有参数的基类构造函数,则必须使用 super 关键字和适当的参数列表显式地编写对基类构造函数的调用;
public class Game {
Game(int i) {
System.out.println("Game constructor");
}
}
public class BoardGame extends Game{
BoardGame(int i) {
super(i);
System.out.println("BoardGame constructor");
}
}
public class Chess extends BoardGame{
Chess() {
super(11);
System.out.println("Chess constructor");
}
public static void main(String[] args) {
Chess x = new Chess();
}
}
运行结果:
Game constructor
BoardGame constructor
Chess constructor
执行顺序:
此外,对基类构造函数的调用必须是派生类构造函数中第一个操作。(如果你写错了,编译器会提醒你。)
保证适当的清理
执行顺序:
组合和继承的选择
组合:当想在一个新类中包含已有类的功能时就是用组合。
car是交通工具,这种是一个”的关系是用继承来表达的,而 “有一个 “的关系则用组合来表达
class Engine {
public void start() {}
public void rev() {}
public void stop() {}
}
class Wheel {
public void inflate(int psi) {}
}
class Window {
public void rollup() {}
public void rolldown() {}
}
class Door {
public Window window = new Window();
public void open() {}
public void close() {}
}
public class Car {
public Engine engine = new Engine();
public Wheel[] wheel = new Wheel[4];
public Door left = new Door(), right = new Door(); // 2-door
public Car() {
for (int i = 0; i < 4; i++) {
wheel[i] = new Wheel();
} }
public static void main(String[] args) {
Car car = new Car();
car.left.window.rollup();
car.wheel[0].inflate(72);
} }
类初始化和加载
public class Insect {
private int i = 9;
protected int j;
Insect() {
System.out.println("i = " + i + ", j = " + j);
j = 39; }
private static int x1 = printInit("static Insect.x1 initialized");
static int printInit(String s) {
System.out.println(s);
return 47; } }
public class Beetle extends Insect{
private int k = printInit("Beetle.k.initialized");
public Beetle() {
System.out.println("k = " + k);
System.out.println("j = " + j);
}
private static int x2 = printInit("static Beetle.x2 initialized");
public static void main(String[] args) {
System.out.println("Beetle constructor");
Beetle b = new Beetle();
}
}
运行结果:
static Insect.x1 initialized
static Beetle.x2 initialized
Beetle constructor
i = 9, j = 0
Beetle.k.initialized
k = 47
j = 39
执行顺序:
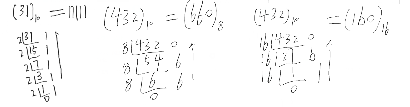
进制转换
10进制转2进制/8进制/16进制

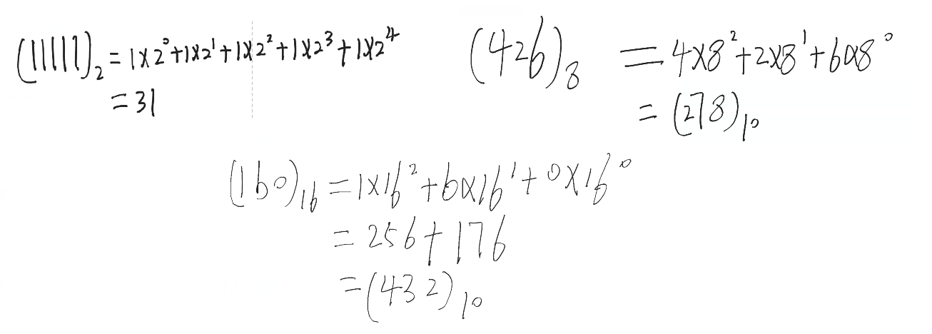
2进制/8进制/16进制转10进制

8进制转2进制以及2进制转8进制
16进制转2进制以及2进制转16进制

位移
<<无符号左移运算符
左移1位,低位补1个0,乘以2的1次方;左移n位,低位补n个0,乘以2的n次方
2:
10
10<<3:
10000:
16
3:
11
11<<3:
11000:
24
-3
原码:10000000 00000000 00000000 00000011
反码:11111111 11111111 11111111 11111100
补码:11111111 11111111 11111111 11111101
-3<<3:
11111111 11111111 11111111 11101000
右移运算符>>
右移1位,高位补1个0,除以2的1次方;右移n位,高位补n个0,除以2的n次方;
16:
10000
>>3:2
00010
注意:负数在高位补上符号位
-16:
原码:100000000 00000000 00000000 00010000
反码:111111111 11111111 11111111 11101111
补码:111111111 11111111 11111111 11110000
>>3:-2
111111111 11111111 11111111 11111110
-10:
源码:10000000 00000000 00000000 00001010
反码:11111111 11111111 11111111 11110101
补码:11111111 11111111 11111111 11110110
>>3:
11111111 11111111 11111111 111111110
int a=-31;
补码:11111111111111111111111111100001
>>3:-4
11111111111111111111111111111100
在上面的代码中-31/8是-3.875,右移运算向下取整所以为-4
>>>无符号右移
注意:无符号右移几位,就去掉几位
16:
10000
>>>3:2
10
12:
1100
>>>2:3
10
-16:
原码:100000000 00000000 00000000 00010000
反码:111111111 11111111 11111111 11101111
补码:111111111 11111111 11111111 11110000
>>>3:536870910
111111111 11111111 11111111 11110
-10:
源码:10000000 00000000 00000000 00001010
反码:11111111 11111111 11111111 11110101
补码:11111111 11111111 11111111 11110110
>>>3:536870910
11111111 11111111 11111111 11110
补码到原码计算过程:等于再求一次补码
补码:1111 1100
反码:1000 0011
原码:1000 0100
泛型
泛型方法
要定义泛型方法,请将泛型参数列表放置在返回值之前,如下所示:
public <T> void f(T x) {
System.out.println(x.getClass().getName());
}
泛型擦除
异常
异常丢失
一种更加简单的丢失异常的方式是从 finally 子句中返回:
package com.onjava8.demo32;
/**
* @Author: dongjie
* @Date: 2021/6/11 10:42
*/
public class ExceptionSilencer {
public static void main(String[] args) {
try {
throw new RuntimeException();
} finally {
// Using 'return' inside the finally block
// will silence any thrown exception.
return; } }
}
异常处理方式
编译型异常
- 方式一:a方法上面声明异常并手动抛出异常,b方法调用a方法可以捕获处理
- 方式二:a方法上面声明异常并手动抛出异常,c方法调用a方法可以继续向上声明该异常,别的方法调用c方法,它也可以继续向上声明该异常,以此类推,一直向上声明…
package com.onjava8.demo34;
import java.io.IOException;
/**
* @Author: dongjie
* @Date: 2021/6/11 12:55
*/
public class MyException {
public static void a() throws IOException {
throw new IOException();
}
public static void b(){
try{
a();
}catch (IOException e){
e.printStackTrace();
}
}
public static void c() throws IOException{
a();
}
public static void main (String[] args) throws IOException {
b();
c();
}
}
运行时异常
a方法上面声明异常并手动抛出异常,b方法调用a方法可以处理异常也可以不处理异常
package com.onjava8.demo34;
import java.io.IOException;
/**
* @Author: dongjie
* @Date: 2021/6/11 12:55
*/
public class MyException2 {
public static void a() throws NullPointerException {
throw new NullPointerException();
}
public static void b(){
try{
a();
}catch (NullPointerException e){
e.printStackTrace();
}
}
public static void c() throws NullPointerException{
a();
}
public static void d() {
a();
}
public static void main (String[] args){
b();
c();
d();
}
}
Try-with-resources用法
需要资源清理:

括号内部分成为资源规范头,try-with-resoutces 定义子句中创建的对象(括号内)必须实现AutoCloseable接口,接口里面有个方法close();
规范头中定义的每个对象都会在try语句块运行结束之后调用close()方法。
package com.onjava8.demo34;
/**
* @Author: dongjie
* @Date: 2021/6/11 13:54
*/
public class Reporter implements AutoCloseable{
String name=this.getClass().getSimpleName();
public Reporter() {
System.out.println("creating:"+name);
}
@Override
public void close() {
System.out.println("creating:"+name);
}
}
class First extends Reporter{}
class Second extends Reporter{}
class AutoCloseableDetails{
public static void main(String[] args) {
try(
final First first = new First();
final Second second = new Second()
){
//关闭second
//关闭first
}
}
}
退出 try 块会调用两个对象的 close() 方法,并以与创建顺序相反的顺序关闭它们。顺序很重要,因为在这种情况下,Second 对象可能依赖于 First 对象,因此如果 First在第 Second 关闭时已经关闭。Second 的 close() 方法可能会尝试访问 First 中不再可用的某些功能。
package com.onjava8.demo35;
/**
* @Author: dongjie
* @Date: 2021/6/11 15:17
*/
public class CloseException extends Exception{
}
class Reporter2 implements AutoCloseable {
String name = getClass().getSimpleName();
Reporter2() {
System.out.println("Creating " + name);
}
@Override
public void close() throws CloseException {
System.out.println("Closing " + name);
} }
class Closer extends Reporter2 {
@Override
public void close() throws CloseException {
super.close();
throw new CloseException();
} }
class CloseExceptions {
public static void main(String[] args) {
try(
First f = new First();
Closer c = new Closer();
Second s = new Second()
) {
System.out.println("In body");
} catch(CloseException e) {
System.out.println("Caught: " + e);
} } }
public class First extends Reporter {
}
public class Second extends Reporter {
}
public class Reporter implements AutoCloseable{
String name=this.getClass().getSimpleName();
public Reporter() {
System.out.println("creating:"+name);
}
@Override
public void close() {
System.out.println("closeing:"+name);
}
}
运行结果:
creating:First
Creating Closer
creating:Second
In body
closeing:Second
Closing Closer
closeing:First
Caught: com.onjava8.demo35.CloseException