1. 综合能源系统规划研究方向
- 既定物理架构的综合能源系统规划
- 待定物理架构的综合能源系统规划
- 结合能源网络的综合能源系统规划
1.1 既定物理架构的IES规划
定义:规划前预设好系统结构,规划时只需要确定各设备的容量或型号。
从现有研究看,大多数综合能源系统规划建模基于文献1提出的能量枢纽概念,该概念将一个综合能源系统抽象成为一个多输入多输出的多端口网络,输入端与能源网络连接以输入相应的能源,在输出端输出电、气、热、冷等形式的能源以满足消费测的负荷需求,并通过全局优化得出最佳的能源供给方式。文献2总结了能量枢纽经典建模方法及考虑需求响应、电动汽车、新能源并网等因素的能量枢纽建模方法,并对包含热-电联产系统CHP和冷-热-电联供系统CCHP的综合能源系统建模进行实例分析。
文献3将综合能源系统设备容量视为连续变量,以综合费用(初始投资成本、系统维护成本、系统运行成本)最低为目标,提出了一种电、热、气耦合的综合能源系统混合整数线性规划规划方法,实现对综合能源系统设备容量的优化。
但是,将综合能源系统某类型设备指定为单一型号、容量视为连续变量或离散变量显然不符合工程实际。
文献4 设计了一种CCHP三级协同整体规划方法,在第一级优化中以一年能源利用率最高为目标,采用离散粒子群算法确定设备最优型号,但在第二级优化设备容量时,以CO2排放量最低为目标,将设备容量定位连续变量进行优化。文献5考虑了不同型号CHP的容量和成本的差异,通过计算不同型号的CHP全生命周期效益和成本,及不同应用场景的效益与成本的比值,以效益成本比最大来确定能源中心最佳的CHP型号。文献6在对计及可靠性的能量枢纽的规划过程中考虑了变压器、热电联产系统CHP和燃气锅炉选型的问题,并采用0-1变量来表示设备相应型号的安装状态,其中储能设备的容量采用离散变量进行优化。
既定物理架构的综合能源系统规划可以有效降低规划难度,提高结合能源网络的综合能源系统规划效率,但无形中限制了多能耦合关系的灵活性。规划过程中除了对设备容量或型号进行优化外,无法同时对系统结构优化。换言之,既定物理架构的综合能源系统规划结果可能非结构与设备配置上的综合最优。
1.2 待定物理架构的IES规划
定义:规划时需要同时对系统结构和设备配置进行优化,实现规划结果全局最优。
但是,综合能源系统内部包括电-气-热、电-气-热-冷、电-气、热-冷等8种耦合关系,每种耦合关系又涉及多种设备,因此待定物理架构的综合能源系统规划难度较大。一些研究为了简化该问题,通过预先设定若干个综合能源系统的物理架构方案,对比分析各种方案的综合成本来确定综合能源系统”最佳“的物理架构。
文献7提出了一种通过事先枚举能源系统的多种架构模型,结合遗传算法来配置能耗和CO2排放量最低的建筑能源系统的结构和设备容量。
这种方法的优化结果受限于预先设定的综合能源系统物理架构的数量,不同模型的物理架构方案可能会有不同的规划结果;对于结合能源网络的综合能源系统规划,若每个能量枢纽都单独设定若干个物理架构,显然会增加规划工作量;不同的规划场景(能源种类、负荷要求、供选设备等不同情况)均需要重新进行物理架构的设定,该类型规划方法不具备通用性。
为了降低多能量枢纽系统规划工作量、解决枚举物理架构规划法适用性差的问题,部分研究采用设备分层排布的理念对综合能源系统进行规划。
文献8 基于能量枢纽概念设计了一个单层综合能源系统规划模型,该模型假定所有设备都并排连接于能量枢纽的输入、输出端口之间,简化了综合能源系统的物理架构。
该规划方法对只含CHP的简单系统规划具有一定适用性,但是设备单层排布模型无法同时体现电、气、冷、热间的多种耦合关系,显然不适于规划物理架构较复杂的综合能源系统。
为了增加多能耦合的形式,文献9提出了一种按类分层的综合能源系统规划方法,将一次能源转换设备、二次能源转化设备和储能设备分别置于规划模型的一、二、三层,结合0-1变量来确定某类型设备的安装与否。
按类分层规划方法增加了模型层数,多数能量耦合关系得以体现,较之于单层规划法提升了模型的通用性。但是二次能源转化层设备无法直接进行耦合,导致物理架构规划灵活性减弱,本质上仍属于既定物理架构的规划,规划结果可能不是全局最优。
文献10结合有图论中向无环图的概念,提出了一种分层化的综合能源系统规划方法,实现多能耦合形式自由搭配。该规划方法将所有设备均置规划模型的各层中,通过设定特定的目标函数和约束条件,可以灵活地规划系统设备位置与各设备间的连接关系。
然而,分层规划法需要预先设定规划模型的层数,模型层数的多少势必影响综合能源系统多能耦合关系。因此,该规划法的规划结果实则是特定模型层数下的最优结果,需要通过对比分析不同层数的规划结果来确定最佳规划方案;其次,该规划方法在完成设备选址及确定位置后,还需按能源类型逐一确定各类型设备的连接关系,规划流程较为繁琐。
目前,涉及待定物理架构的综合能源系统规划研究较少,现有规划方法存在多能耦合关系限制、系统架构设置影响规划结果和规划步骤复杂等问题需要解决,有必要对规划模型进一步改进。
1.3 结合能源网络的IES规划
定义:在规划时考虑能量枢纽与电、热、气等能源网络中的一种或几种进行协同规划。
协同规划时,能量流可以在生产、传输、消费等环节进行耦合,决策变量比分开规划具有更高维度的可行域,因此可能获得比分开规划更低成本、更高效率的规划方案。
- 结合电网-气网的综合能源系统规划方面:
文献11提出了一种综合考虑能源网络”N-1“准则、投资成本和运维成本的多目标电网=气网协同规划模型,因考虑风电出力的随机性而使规划模型成为非线性。文献12为了实现电网、气网建设连续灵活的投资决策,构建了一种考虑负荷不确实性的电网-气网联合扩展规划多阶段模型。然而,非线性规划模型容易使计算陷入困境,因此如何对模型进行线性化成为研究的一个热点。文献13采用分段线性化和一阶泰勒展开分别对电网潮流方程和气网节点流量平衡方程进行线性化处理,提出了一种电网-气网扩展线性规划方法。文献14为了解决电网-气网协同规划模型非凸的问题,利用二阶锥松弛重构了电网和气网模型,简化了大规模扩展规划的计算问题。文献15结合能量枢纽模型进行电网-气网扩展规划,在能量枢纽计划中考虑了基于CHP和燃气锅炉的电/气/热/间的耦合关系。文献16提出了一种结合分层化能量枢纽规划模型的电网-气网扩展规划方法,实现了对电、气耦合节点未知物理架构情况下的区域综合能源系统”从无到有“的规划。
- 结合热网的综合能源系统规划方面:(考虑热量损失,该规划多见于区域级系统)
文献17以运营成本和CO2排放量最低为目标函数,得出了两个不同权重下CHP、锅炉、储热设备和热网的规划结果及运行方案,并对储热设备和区域热网的投资成本进行灵敏度分析,结果显示储热设备在文中的应用情境下具有更好的经济性。文献18构建了只考虑节点和管道热能守恒的热网简化模型,结合环状网模型进行多区域CCHP系统协同规划,优化了CCHP系统各设备及热网的容量。
目前,该方面的规划研究主要以优化热网容量为主,对于管道型号的规划还欠缺考虑。
- 结合电网、热网、气网的综合能源系统规划方面:
目前,该方面的研究较少,更多涉及三网潮流计算和联合建模等基础研究。
文献19基于电、热、气网典型数学模型,并将含压缩机的天然气管道流量等效为节点负荷,构建了综合能源系统的电、热、气多能流计算模型,提出了一种能够计及多能源耦合的扩展牛顿-拉夫逊发的多能流计算方法。文献20通过多维效率矩阵将负荷转换为网络能量流,并采用牛顿-拉夫逊法对多能网络潮流进行计算,以此提出一种集成电、热、气网的多时相仿真模型,适用于不同的能源网络拓扑结构和能源供给方式,仿真结果可为电、热、气网联合规划及运行评估提供参考。文献21考虑了电、热、气网络的运行约束,并以能源枢纽作为能源网络的能量枢纽,提出一种适用于电、热、气多能系统的解耦混合能量流算法,达到对区域能源系统能量流的最优分配。在规划方面,文献22构建了一种考虑配电网、配热网、配气网及能量枢纽约束的城市综合能源系统扩展规划模型,用以确定设备和管道的安装时间、安装型号、扩容或新装,但没有对能源枢纽物理架构进行优化。
从现有的研究来看,结合能源网络的综合能源系统规划倾向于管道容量或型号的优化,对能量枢纽内部结构的优化鲜有涉及;在结合的能源网络类型选择上,更多同时考虑电网和气网,综合考虑电网、热网、气网的研究还较少。为了进一步提升设备利用效率、运行灵活性及供能可靠性,有必要对区域综合能源系统的电网、热网、气网及能量枢纽的物理架构进行综合规划。
2 系统架构及能源耦合关系分析
综合能源系统涉及的设备种类繁多、能源耦合关系多样、系统结构复杂,因此,在对综合能源系统进行规划前,有必要对其物理架构、能源网络模型、设备模型进行梳理,并对能源耦合关系进行总结,为后续设备及能源网络通用模型的构建和规划方法的研究奠定基础。
2.1 典型物理结构
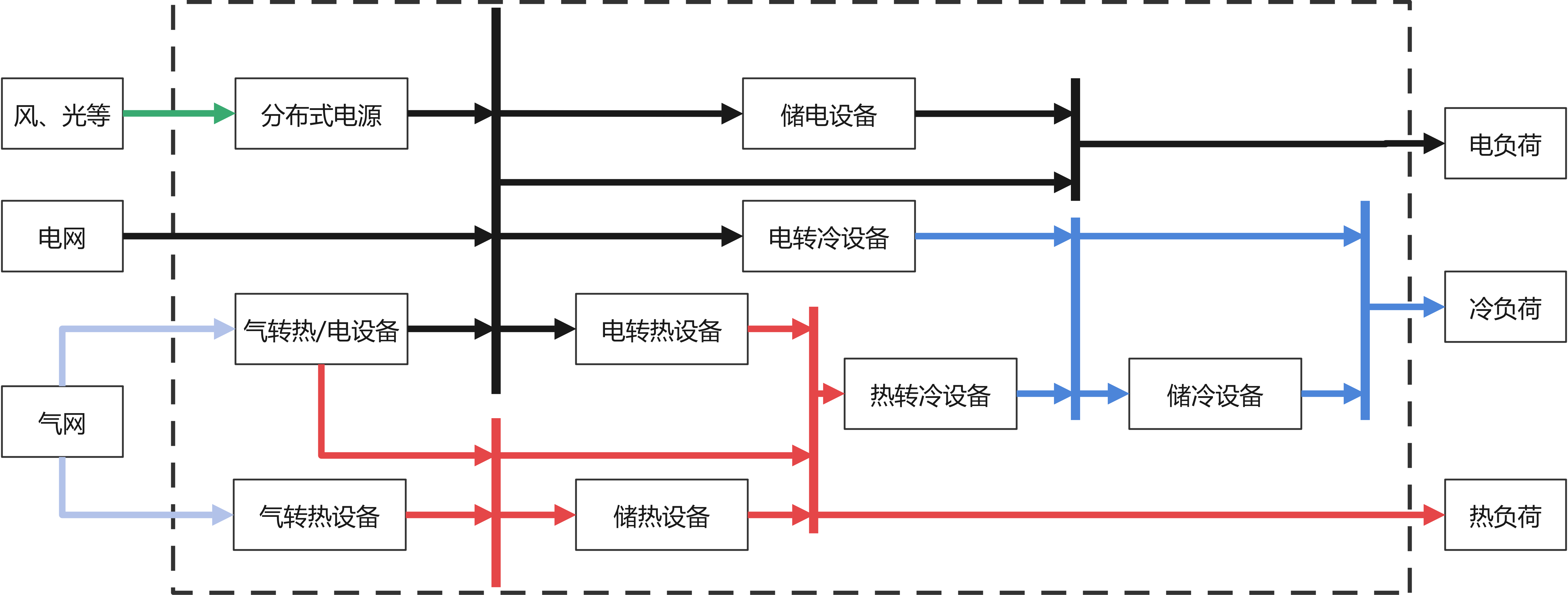
区域级综合能源系统可由能量枢纽和能源配电网构成,同时接收上级电、气等能源并就地消纳可再生能源,在需求侧起到能源传输、分配、转换和平衡的重要作用。相对于跨区域级综合能源系统,区域级综合能源系统涵盖地域范围较小,使得配电网、中低压气网和二级热网得以在该级别的综合能源系统上进行耦合,其结构示意图如2-1所示。
大多数能量枢纽由不同类型的能源转换设备、能源存储设备和能源传导设备构成。通过对现有研究中能量枢纽的物理架构进行归纳和分析,得出如图2-2所示的典型物理架构。


2.2 能源网络模型
电、气、热网一定程度上均满足基尔霍夫第一定律和第二定律,但传输过程的能量损耗方式不同。电网主要源自阻抗的电能损耗;气网主要源自管道的天然气泄漏和压缩机的天然气消耗;热网主要源自水、蒸汽等介质向周围低温环境散热造成的热能损耗。此外,交流电网模型有动态模型和稳态模型之分,而气网和热网不存在动态稳定的问题,因此,在区域级综合能源系统分析范畴内同样无需考虑电网部分的动态特性,规划研究时只需使用电网的稳态模型。
2.2.1 电网模型

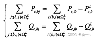
区域级综合能源系统中,电力线路主要以配电网的形式存在,负责上级电网与能量枢纽间的电能传输和分配任务,等效电路模型如图2-3所示。目前配电网多采用DistFlow潮流方程:

2.2.2 气网模型

为了弥补天然气在气网中传输的压力损失,部分管道安装有燃气型或电驱压缩机,一种含燃气型压缩机的典型气网如图2-4所示。
- 以i-j管段为例,不含压缩机的天然气管道数学模型为:

- 以k-i管段为例,含压缩机的天然气管道数学模型为:

2.2.3 热网模型

热网是一种主要以水为介质的热能传输网络,典型结构如图2-5所示。其运行中需满足管网基本定律:①节点流入、流出的热媒总流量相等;②闭合回路中各管道的热媒压头损失之和为零。热网的水力模型为:
此外,热网运行过程中存在散热损失,且热网中的任一节点都必须满足热力学第一定律,即流经节点的热能之和为零。热网的热力模型为:
2.3 典型设备模型
综合能源系统涉及的设备类型众多,每种设备都有其自身的技术和经济属性,这些属性都会直接或间接影响系统规划方案的建设和运行成本。为了更合理的构建区域综合能源系统的规划模型,下面将分别对一次能源转换设备、二次能源转换设备和能量存储设备的典型数学模型进行梳理和总结。
2.3.1 一次能源转换设备
- 热电联产机组
燃气型热电联产机组存在单循环和联合循环两种运行方式,本质上都是将天然气转换为电能和热能,该转换关系可表示为:
燃气锅炉
燃气锅炉通过燃烧天然气,将天然气的化学能转换为水的热能,以此满足采暖、洗浴、蒸汽等热负荷需求。该转换关系可表示为:

风力发电机
风机利用风轮将风的动能转化为轴旋转的机械能,经变速箱调速带动发电机发电。其发电功率与风速的关系一般可表示为:
- 光伏发电系统
光伏发电系统利用半导体的光生伏特效应将太阳能直接转换为电能,光电转换效率在13%-18%之间。其发电功率与光照强度的关系为:
2.3.2 二次能源转化设备
电锅炉
电锅炉可将电能转化为水等介质的热能,得到的热水或蒸汽可满足采暖、洗浴、纺织等热负荷需求,其典型数学模型为:

电热泵
电热泵是一种能将空气、水或土壤中低位热源转移到高位热源的装置,主要是用于供暖,其典型数学模型为:

电制冷机
电制冷机通过压缩机加压使气体制冷剂液化,并利用液体制冷剂气化时需要吸热的特性来降低供冷区域的温度。其典型数学模型为:

吸收式制冷机
吸收式制冷机是一种以溴化锂或氨水溶液为工质,以吸收的热能为驱动,依靠吸收器和发生器组的作用往后春呢个制冷循环的制冷机。其典型数学模型为:
2.3.3 能量存储设备
蓄电池
蓄电池是一种可以将电能转化为化学能进行存储的装置,并在需要放电的时候将化学能转化为电能。其典型数学模型为:

储热槽
储热槽是一种能够有效实现热能的存储和释放的储热设备,包括显热式蓄热、相变蓄热、热化学蓄热等多种蓄热类型。其典型数学模型为:
- 冰蓄冷箱
冰蓄冷技术是利用制冷效应对比热容较高的水进行制冷,使其温度降低至结冰状态,利用冰的相变潜热进行冷量的储存,其典型数学模型为:
2.4 能源耦合关系分析

一次能源包括天然气、太阳能和风能,二次能源包括电能、热能和冷能,并且二次能源都有对应的储能设备进行能量储存。能量枢纽内的一次能源只能由一次能源转换设备进行能源转换;能量枢纽内的二次能源只能由二次能源转换设备进行能源转换。
从设备能源输出角度来看,一次能源转换设备和二次能源转换设备都只能输出二次能源。因此,在能量枢纽通常的运行情况下,一次能源之间不考虑能源耦合关系,一次能源只考虑向二次能源转换,二次能源间可能存在能源耦合关系。
3. 区域综合能源系统通用建模
3.1 能量枢纽通用物理架构

3.1.1 各区物理架构
一次能源转换区

图3-2 一次能源转化区初始物理架构
其中,{w,s,g,e,c,h}分别表示风、光、气、电、冷、热。
二次能源转换区

图3-3 二次能源转化区初始物理架构 二次能源存储区

图3-4 能源储存设备区初始物理架构
3.1.2 通用物理架构

3.2 设备及能源配网通用模型
3.2.1 能源转换设备
“零输入-单输出”设备(其出力主要受可再生能源的影响),其出力的通用模型:

“单输入-单输出”设备(该能源转换过程取决于能源转换效率或性能系数;对于部分存在能量散失损耗的设备,还应考虑能量自损失率),其输入与输出关系的通用模型:

“单输入-多输出”设备,其输入与输出关系的通用模型:

3.2.2 非能源转换设备
- 能源传导设备
能量枢纽设备之间的距离较近,系统内部能源传导设备的传输损耗可以忽略不计。假设设备j是关于能量形式k的能源传导设备,则其输入与输出关系通用模型为:
- 能源储存设备
能源储存设备主要考虑能源的输入、输出转换效率,同时计及在存储状态下可能的能量散失损耗。假设设备j是关于能量形式k的能源传导设备,其输入与输出关系通用模型为:
3.2.3 能源配网
区域综合能源系统能源网络的建模,一般采用电、气、热网特有的模型,并根据规划求解需求进行适当的降维或直接线性处理。
- 配电网
一般通过忽略DistFlow潮流方程的二次项及电压约束,并将电压幅值的标幺值设置为1进行线性化处理。得到简化的DistFlow潮流方程:
- 配气网
由于没有输气网中的压缩机、喷嘴等元件,模型较为简单且运行于中低压状态,所以可以通过忽略压缩机支路及Weymouth方程,简化得到气量平衡方程,并可进一步转化为天然气能量平衡方程:
- 配热网
由于材料保温能力的制约导致管道散热损失较大,无法像配电网和配气网简化建模一样直接忽略能量损耗,但可以采用节点热平衡方程和管道热损失方程代替热网传统的复杂水利和热力方程:

4. 区域综合能源系统规划
4.1 多场景规划理论
4.1.1 基本概念
实施区域综合能源系统多场景规划需要确定不确定因素的种类,如地区负荷变化情况、能源价格走势、自然资源状况等因素。通过调查、统计、分析来确定各类不确定性因素的选取范围,所以不确定因素的可能取值之间进行合理组合后,即可得到所有可能发生的场景集合。
4.1.2 场景削减
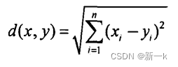
实际研究表明,当规划场景数量增加到一定规模后,对规划结果产生的影响可能很小。因此,可采用K-means聚类算法对大量多元负荷、可再生能源出力等时序数据进行聚类缩减,以此形成合适数量的典型规划场景。
关于K-means聚类算法样本相似度,通常采用欧氏距离进行表示:
为了更好地判断场景聚类结果的合理性,可以采用下式的轮廓系数对其进行评价。具体地,当β \betaβ越接近于1,则说明该聚类结合越合理;若β \betaβ取值越接近-1,则说明该聚类结合越不合理。

4.2 规划模型
4.2.1 模型概述
区域级综合能源系统由能量枢纽、配电网、配气网和配热网四部分构成。其中,能量枢纽用于实现区域综合能源系统电、气、热多能配网间的能量转换。配电网和配气网均处于能源供给末端,考虑建设的经济性和运营管理的便利性,采用常用的辐射状网架结构;配热网作为能量枢纽间热能交互的通道,属于“源-源”网,对传输的安全性、可靠性有较高的要求,为此采用环形状网架结构。
能量枢纽不仅需要确定设备的型号或容量,且需要确定设备间的连接关系,即规划系统的物理架构。配电网和配气网在规划区内一般都有前期的建设基础,需要根据小时级的网络运行情况,模拟电能、天然气的实时潮流,确定管网是否进行扩建。配热网用以实现各能量枢纽间的热能交互,属于待建输能管道,需要根据小时级的热网潮流模拟运行情况,规划各段管道的型号或容量。
本文提出的结合配电、气、热网的区域综合能源系统规划模型,目标是同时对整个系统的建设成本、运行成本和代表可靠性的能源供给中断惩罚成本进行优化。其中,系统的运行成本和惩罚成本通过若干个典型运行场景关于场景概率的加权总和来表示。总体规划流程如下:
- 步骤1:收集待规划区域电、冷、热等负荷数据,探明风、光等可再生能源的禀赋,了解配电、气网基本的建设情况。
- 步骤2:对待规划区域按用地类型划分子区域,综合考虑功能效益和空间限制,在各子区域内选择能量枢纽的建设地址。
- 步骤3:根据选择的能量枢纽建设地址,考察待规划区域的工程实际,规划配热网布置形式与铺设路径。
- 步骤4:确定系统备选设备、输能管道的类型和基本参数,构建能量枢纽按设备类型分区的初始物理架构。
- 步骤5:建立结合配电、气、热网的区域综合能源系统规划模型,将各子区域的电、冷、热负荷数据、备选设备参数和管网参数带入模型求解。
- 步骤6:根据计算结果得出各能量枢纽的设备型号和连接关系、配电网和配气网的扩建容量及配热网的新建容量。
步骤1和2为区域综合能源系统规划的前期准备工作,不属于本文研究范围;步骤3需满足目标区域城建总体规划要求,并与电力电缆、通信电缆、配气管道、供水管道、道路路径等相协调,必须因地制宜,本文不进行详细的探究;步骤4、5、6关于区域综合能源系统规划模型的构建为重点研究内容。
4.2.2 目标函数
区域综合能源规划的规划目标是同时规划能量枢纽的设备单元型号和连接关系,并确定配热网的新建规模和配电、气网的扩建策略,使得整个能源供给系统建设成本、运行成本和中断成本的等年值最小,其表达式为:
m i n F = C I N V + C O P R + C R E L minF=C_{INV}+C_{OPR}+C_{REL}minF=CINV+COPR+CREL
式中,C I N V C_{INV}CINV,C O P R C_{OPR}COPR,C R E L C_{REL}CREL——建设成本、运行成本、中断成本等年值。
等年值法是按投资方案现金流量和效用期间(年数) 平均计算的每年现金流量的现值,对有关投资方案进行经济评价的一种决策分析方法。在这种方法下,首先应将有关备选投资方案在未来效用期间内的全部现金流量,按年金现值系数或年金终值系数统一折算成每年平均的即等值金额; 然后根据年均等值金额的性质和大小,来衡量各该投资方案的优劣。
- 建设成本
区域综合能源系统的建设成本包括能量枢纽内部设备单元建设成本、配热网新建成本和配电、气网的扩建成本,其等年值的表达式为:


固定资产残值率:指资产按照直线法计算的折旧,准予扣除。企业应当根据固定资产的性质和使用情况,合理确定固定资产的预计净残值。固定资产的预计净残值一经确定,不得变更。
贴现率Discount Rate:是指将未来支付改变为现值所使用的利率,或指持票人以没有到期的票据向银行要求兑现,银行将利息先行扣除所使用的利率。这种贴现率也指再贴现率,即各成员银行将已贴现过的票据作担保,作为向中央银行借款时所支付的利息。
- 运行成本
区域综合能源系统运行成本主要包括待规划区域从区域外购得电能和天然气的成本,其等年值的表达式为:

- 中断成本
区域综合能源系统中的中断成本可近似表示系统供能可靠性的惩罚成本,主要由能量枢纽节点、非能量枢纽节点两部分的中断成本构成,各部分可中断负荷类型不同,其等年值的表达式为:

4.2.3 约束条件
区域综合能源系统规划模型的约束条件包括设备特性约束、管网特性约束、能量守恒约束、负荷中断约束、系统建设约束及能源购入约束。这里列写的约束条件部分省略了表示节点的小标b bb 及规划场景的下标σ \sigmaσ。
设备特性约束
能量枢纽设备单元的能量输入与输出关系约束(设备建模的等式约束)
设备单元的输入/输出功率上下限约束:
- 非储能设备:

- 储能设备:


为了避免储能设备的能量存储和释放过程同时进行,对其增加如下约束:
u i j i n + u i j o u t ≤ y i j 4 , ∀ i , j , t u_{ij}^{in}+u_{ij}^{out}\leq y_{ij}^{4},{\forall i,j,t}uijin+uijout≤yij4,∀i,j,t
此外,储能设备的能量存储状态应满足下式,且能量储存设备一天首末的能量存储状态一致,目的是为了保证工作状态的连续性。

管网特性约束
对于待扩建配电网,其容量约束如下:

对于待扩建配气网,其容量约束如下:

对于待新建配热网,其容量约束如下:


能量守恒约束
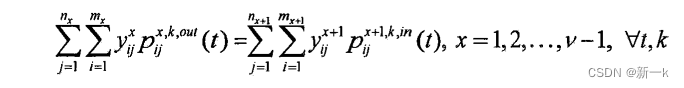
能量枢纽层间能量守恒约束

系统节点能量守恒约束

能量枢纽输出端口能量供需平衡约束

能量枢纽输入端口能量供需平衡约束

负荷中断约束
该约束主要用以限制切负荷的量,来保证系统供能的可靠性,能量枢纽和非能量枢纽的相应约束分别如下:

系统建设约束
该约束对象包括能量枢纽的设备单元和能源配管网。其中,基于按类分区物理架构的能量枢纽规划方法中,为了避免能源传导设备在同一层中多次出现,进行如下约束:

对于待扩建或新建的配电、气、热网,两个节点间最多只新建一条某种型号的管线,约束条件如下:

能源购入约束
区域综合能源系统从上级功能网络或能源点获得电能和天然气,需受到处理上下限约束和出力爬坡约束,分别如下:
4.3 求解方法
区域综合能源系统规划属于混合整数规划,该类规划包括混合整数线性规划和混合整数非线性规划。其中,混合整数非线性规划属于非确定性多项式NP-hard问题,十分难求解。因此,本文在区域综合能源系统规划建模时采用适用性更广、收敛性更好的混合整数线性规划模型,其标准形式为:

本文提出的区域综合能源系统规划模型的决策变量有:各能量枢纽矩阵Y x Y_xYx中的0-1变量y i j x y_{ij}^{x}yijx、待建i ii型管线j jj建设与否的0-1变量y i j k y_{ij}^{k}yijk、个能量枢纽设备单元输入/输出连续变量p i j x , k , i n ( t ) p_{ij}^{x,k,in}(t)pijx,k,in(t)和p i j x , k , o u t ( t ) p_{ij}^{x,k,out}(t)pijx,k,out(t)、i ii型管线j jj的功率连续变量P k , i j ( t ) P_{k,ij}(t)Pk,ij(t)、i ii型管线j jj的功率损耗连续变量P k , i j l o s s ( t ) P_{k,ij}^{loss}(t)Pk,ijloss(t)、k kk形式能源购入连续变量P k , b G ( t ) P_{k,b}^{G}(t)Pk,bG(t)。
本文使用基于Matlab的建模工具YALMIP进行建模,并调用商业优化求解器Girobi进行求解。.

YALMP建模工具拥有建模和算法二者分离的优点,即工具使用者可采用统一、简单的语言进行建模,实现了规划建模方式的同一性。此外,YALMIP不仅集成了分支界定等基本算法,对于规模庞大的规划问题还可调用Cplex、Gurobi、Ipsolve等优化求解器。
其中,Gurobi是目前求解速度和优化精度最高的求解器,具备求解线性规划、混合整数规划、混合整数二次规划等问题的能力,并且不对规划模型变量和约束条件的数量进行限制,满足本文区域综合能源系统规划模型的求解需求。
参考文献
Energy hubs for the future[J].Power&Energy Magazine IEEE, 2007. ↩︎
能源互联网中能量枢纽的优化规划与运行研究综述及展望[J]. 中国电机工程学报, 2015. ↩︎
考虑电-热-气耦合的综合能源系统规划方法[J]. 电力系统及其自动化学报, 2019. ↩︎
冷热电联供系统的三级协同在整体优化设计方法[J]. 中国电机工程学报,2015 ↩︎
A novel method to determine the best size of CHP for an energy hub system[C], International Conference on Electric Power & Energy Conversion Systems.IEEE, 2011. ↩︎
计及可靠性的电-气-热能量枢纽配置与运行优化[J]. 电力系统自动化, 2018. ↩︎
Optimal design method for building energy systems using genetic algorithms[J]. Building & Environment, 2009. ↩︎
区域综合能源系统规划研究综述[J]. 电力系统自动化, 2019. ↩︎
A two-stage stochastic programming model for the optimal design of distributed energy systems[J]. Applied Energy, 2014. ↩︎
Optimal Configuration Planning of Multi-Energy Systems Considering Distributed Renewable Energy[J]. IEEE Transactions on Smart Grid, 2017. ↩︎
An NSGA-II based multi-objective optimization for combined gas and electricity network expansion planning[J]. Applied Energy, 2016. ↩︎
Multi-Stage Stochastic Programming with Nonanticipativity Constrains for Expansion of Combined Power and Natural Gas Systems[J]. IEEE Transactions on Power Systems, 2018. ↩︎
A Linear Programming Approach to Expansion Co-Planning in Gas and Electricity Markets[J]. IEEE Trans. on Power Systems, 2016. ↩︎
Join Electricity and Natural Gas Transmission Planning with Endogenous Market Feedbacks[J]. IEEE Trans. on Power Systems, 2018. ↩︎
Optimal Expansion Planning of Energy Hub With Multiple Energy Infrastructures[J]. IEEE Trans. on Smart Grid, 2015. ↩︎
多能源网络与能量枢纽联合规划方法[J]. 中国电机工程学报, 2018. ↩︎
Multi criteria dynamic design optimization of a small scale distributed energy system[J]. Energy, 2014. ↩︎
区域综合能源系统规划及优化运行[D].东南大学, 2017. ↩︎
电-热-气综合能源系统多能流计算方法[J].电网技术, 2016. ↩︎
Modelling, assessment and Sankey diagrams of integrated electricity-heat-gas networks in multi-vector district energy systems[J]. Applied Energy, 2016. ↩︎
考虑运行约束的区域电力-天然气-热力综合能源系统能量流优化分析[J]. 中国电机工程学报, 2017. ↩︎
城市综合能源系统配电-气-热网联合规划研究[D]. 浙江大学, 2019. ↩︎