1.1 几个重要的数字特征
1.2. 几个重要的概率密度函数 1.2.1 均匀分布 
连续性随机变量X具有概率密度X:

则称X在区间(a,b)上服从均匀分布,均匀分布的数字特征为:


f(x)为概率密度分布函数,F(x)为分布函数,其分布函数为:


MATLAB指令
(1)R=unifrnd(a,b)
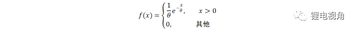
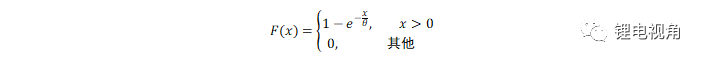
1.2.2 指数分布



服从指数分布的随机变量X具有以下性质:

指数函数的数字特征如下:


1.2.3 高斯分布(正态分布)

概率密度

分布函数

高斯分布的数字特征为:



高斯分布是概率论中最重要的分布,有极其广泛的实际应用背景。生产与科学实验中很多随机变量的概率分布都可以近似的用高斯分布来描述。在数字信号处理中,高斯白噪声是最常用的。
在MATLAB中randn()可产生均值为0,方差为1的高斯分布序列。
(1)R=randn(n),产生n个均值为0,方差为1的高斯分布序列
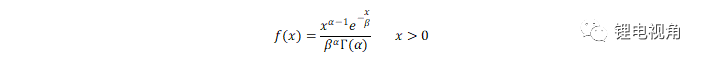
1.2.4 伽马分布

伽马分布是统计学的一种连续概率函数。伽马分布中有两个重要参数,α为形状参数,β为尺度参数,主要决定曲线有多陡。
概率密度函数

数字特征



MATLAB函数调用
(1) R=gamrnd(α,β)
1.3 白噪声和有色噪声
噪声是一个随机过程,而随机过程有其功率谱密度函数,功率谱密度函数的形状决定了噪声的“颜色”。
1.3.1 白噪声
白噪声是指信号的幅度分布服从高斯分布,而其功率谱密度又是一个常数。此信号在各个频段上的功率是一样的,由于白光是由各种频率(颜色)的单色光混合而成的,因此这种具有平坦功率谱的性质被称作是“白色的”,此信号也因此被称作白噪声。其自相关函数为狄拉克函数,dirac delta function。
相对的,功率谱密度随频率变化的噪声信号被称为有色噪声。

两者区别在于:(1)白噪声在不同时刻是不相关的,自相关函数为脉冲函数;有色噪声则是相关的。(2)实际测试中可以通过测试功率谱来区分,白噪声的功率谱在各频率的值都比较平均,有色噪声则会表现出明显的峰值。