GIL作为当今世界先进的交流输电技术,提供了一种紧凑、可靠、经济的电力输送方式用以取代常规架空线路和电缆。GIL气体绝缘输电管道母线是一种采用SF6气体或SF6与N2混合气体作为绝缘介质,外壳与导体同轴布置的高电压、大电流电力传输设备。GIL是超高压输电系统中的一股新生力量,其结构形态与传统的电力电缆完全不同,具有输电容量大、电容值小、介质损耗小、占地面积小、安全可靠、使用寿命长等特点,使用场合比较广泛,比如一些地形复杂、地势落差大的地区[1-3]。
GIL系统的绝缘性能是确保其安全运行的重要条件。GIL设备在长时间使用过程中或者在过载、接触不良等情况下,会有局部过热现象出现,而且GIL在负载电流过大时会出现温升过高的情况,最终会导致相邻的绝缘部件性能恶化,甚至击穿[4]。大部分情况下,电力系统发生事故的主要原因都与过有关。同时GIL的传输能力受到导体和隧道的温度的限制[5-7]。由于隧道的温度在导体温度前达到了允许的极限,不得不降低隧道温度以扩大电缆和GIL的传输能力。
因此,实现对GIL设备内部的温度监测,提前发现热故障隐患,在温度发生异常时,及时作出决策,运用有限元方法预防事故的发生,对GIL系统的安全可靠运行具有重要意义。
1 GIL温度监测方法
国外有电力公司起初研究并推广GIL在线监测技术[8],但是设备简陋,技术方案不够成熟,监控水平得不到保障。随着计算机技术的快速发展,GIL在线监测主要方式有带电测试、专用测试仪、计算机与传感器和数字波形采集处理技术结合在线监测等。由于GIL安装的复杂环境及其气体密闭性要求,在对GIL温度监测时,需要选用精密的温度传感器在GIL外壳处就地测量,远程监控测试数据,最终利用计算机端实现GIL温度在线监测。根据测试用传感器的种类,GIL外壳测温技术主要有热电偶式温度监测、热敏电阻温度监测和红外线式温度监测等。其中,热电偶式和热敏电阻式为接触式测温,而红外线式为非接触式测温。
1.1 热电偶式温度监测
热电偶温度传感器[9]的动态特性表示为输入信号和输出信号之间的微分方程,即待测温度与测试温度之间的线性关系。
其理论解为:T-T0=(Te-T0)(1-e)
式中,M为传感器换热部分的质量,kg;CP为传感器材料的比热容,J/(kg·℃);T表示传感器指示温度,℃;t表示响应时间,s;h表示对流换热系数,W/(m·℃);A表示面积,m;Te表示环境阶跃温度,℃;T0表示传感器初始温度,℃;
热电偶式温度监测系统主要包括热电偶、信号调理电路、ADR-120智能控制模块及报警电路等部分。利用J型热电偶信号调理电路AD594C内部的放大、冷端补偿、冰点基准、温差电偶故障报警等电路,减少实际热电偶测温过程中必须的补偿、调零等步骤,减小误差。ADR-120智能控制模块可实现在线实时监控,将测量所得的温度值处理之后,通过网络接口将数据发布到总线上,传至上位机进行数据处理与监控。
1.2 热敏电阻式温度监测
热敏电阻[10]属于半导体温敏器件,其电阻值是温度的函数,不同温度下表现出不同的电阻值。它的主要特点有:灵敏度高,能检测出6~10℃的温度变化;工作温度范围宽、体积小、电阻值可在0.1~100 kΩ间任意选择、稳定性好、过载能力强。但是温敏电阻传感器的线性度差,不能用于精密测量,应用过程中需要配置修正和补偿装置。
在GIL的外壳安装热敏电阻温度传感器,一般在主变压器、发电机等主要设备的接口处设置外壳测温点。此外由于GIL管廊敷设长度长,一般在一定间隔处便安装一个温度传感器,监测全面。热敏电阻的安装座需要有效接地,并与GIL系统的接地点相同,防止外壳上的感应电压影响测量值,保障操作人员的人身安全。
热敏电阻式温度监测系统包括热敏电阻温度变送器、A/D转换器以及单片机、PC。系统通过热敏电阻监测温度,热敏电阻两端施加恒定电流,电阻两端可得到电压值,实现温度信号到电压信号的转换。A/D转换模块将电压信号转换成数字信号,传送到单片机处理,最终在PC上显示温度值。热敏电阻温度变送器用于改善热敏电阻线性度差的特性,利用一个线性运算放大器实现在预定使用范围内输出电压与温度之间关系线性化。温度监测系统。该系统可对温度进行快速测量,并完成实时分析、处理、显示等功能。
1.3 红外线式温度监测
红外线[11]温度传感器是利用辐射热效应,使探测器件接收辐射能量后引起温度升高,进而使传感器中一栏与温度的性能发生变化,监测其中某一性能的变化,便可探测出辐射。应用赛贝克效应,将器件接收的辐射转换为一非电量的物理变化,或变化为电量后进行测量。
对于GIL导体及外壳的温度监测,需要在主变压器、发电机等设备及GIL的等距离间隔设置温度监测点。由于红外线式温度监测属于非接触式测温,适用于GIL导体的温度监测。考虑到GIL的SF6气体密闭性特点,红外式测温探头安装在GIL的外壳上,但是GIL密封结构复杂,安装探头的工作不易进行,为此可以在GIL外壳上密封敷设有机材料,在有机材料外安装红外测温探头。同时需要注意,红外探头安装座、密封板和GIL外壳三者须紧密焊接,GIL外壳可靠接地。
红外线传感器温度监测系统中智能数字显示控制仪用作GIL系统现场监测,获取温度数据,提供报警功能;同时,显示控制仪输出的电流信号可传输至远程监控端,并经通讯接口输出到计算机客户端进行监测。
红外传感器温度监测具有测温速度快、范围广、高精度、高灵敏度等特点,同时不会影响被测温度场,被测对象限制小,对于微小的、运动的、远距离的目标也可精确测量。但是应用红外温度监测,需要保证仪器镜头的情节,时刻防止电磁方面的干扰,这在实际操作运用过程中存在一定的难度。
2 解析法
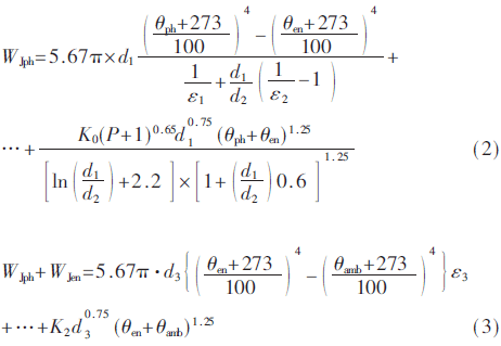
GIL的最大载流能力与温升密切相关,且温升会导致GIL的热伸缩现象[12-14],因此准确计算由于导体及外壳内部功率损耗引起的温升对于GIL产品设计及GIL管廊通风策略的选择具有十分重要的意义。关于GIL热问题的研究主要集中于GIL管道温度场的分析。解析法[15-17]通过建立焦耳热损耗与对流换热以及热辐射的热平衡关系,迭代求解导体与外壳温度;管廊GIL外壳和导体的温度可经由传递的热量通过传统的公式计算分析而得。
计算辐射和自由对流的热量传递,不考虑太阳辐射和风的存在。

式(2)计算从导体到外壳的热量传递,式(3)计算从封闭导体到环境空气的热量传递。
式中,d1、d2、d3分别是外导体、内罩、外罩的直径,值分别为0.2 m、0.5 m、0.52 m。ε1、ε2、ε3分别为导体外表面、外壳内表面、外壳外表面发射率,值分别为0.1、0.1、0.8。气压P=7.231 kgf/cm2;常量K0=16.8,混合80/20%的N2/SF6气体;常量K2=2.75,θph表示相导体温度(℃),θen表示外壳温度(℃),θamb表示环境温度(℃)。
GIL导体和外壳的温度计算采用如图1所示的代表热流的结网。

T1、T2、Ta分别表示导体温度、外壳温度和空气温度。C1、C2、C3分别表示导体比热容、气体比热容和外壳比热容(J/℃·m);R1、R2分别表示导体与外壳之间的热阻、SF6气体与环境空气之间的热阻;W1、W2、W3表示导体功率损耗、外壳功率损耗、太阳辐射的热增加(W/m)。
功率损耗的计算公式如下:
GIL导体和外壳的温度变化可以由式(4)、(5)计算而得。
3 有限元法
有限元法[18-19]通过建立GIL管廊工程的有限元模型,可针对GIL管廊的热问题,进行GIL系统配置优化及多物理场耦合计算,控制GIL管廊的温度变化。
3.1 GIL系统配置有限元模型
GIL管廊工程属于地下电缆系统,其载流容量—电流额定值,取决于降温装置提取从电缆中释放出来的热量并散布在周围的土壤和大气中的能力。电缆的最大工作温度则与高温操作情况下绝缘材料可承受的最大损坏有关。绝缘材料所能承受的温度由导体内部循环电流的持续时间决定。
外壳温度限制了可自然冷却的GIL系统的传输能力,导体与管道外壳之间有少许温度差。所以外壳温度必须受到限制,否则不能干燥土壤并提高其热阻率,其中监测管道温度是关键。
径向温度下降值与热通量成正比时,推导出显式载流量方程。因为气体空间的传热递主要通过辐射和对流的方式,所以有必要采用逐次逼近法确定容量。图2为一个有自然冷却系统的单相GIL的热回路,其温度差方程如下。
式中,Pc和Pp分别是在导体和管道中的热源,Tp和Ta分别是管道和环境温度;Rj和Re是护套和土壤的热量抵抗力。

在VectorFieldTMOPERA-2D软件中建模和模拟隧道中的2D GIL系统,有限元系统配置如图3所示。仿真模型设置的元素,节点和区域的数量分别为108 870、54 681和43。所有边界条件都设置为固定的导数类型。导体电流和GIL外壳电流取参考值,频率取50 Hz,且迭代次数取735次。

有限元软件对管廊中GIL进行建模仿真,结果表明GIL隧道可减少周围的磁场,同时发现GIL外壳周边的局部热点,温度梯度会加速腐蚀,从而热效应有导致封闭性腐蚀的可能。因此,为了防止这种局部加热和外壳损坏,GIL系统中必须通入冷却气流。模拟结果还提供了管道和电缆的最佳位置,其具有最弱的电磁感应,可使GIL系统安全运行。图3中所示的GIL管廊的配置方式是最好的,其管道中产生的涡流非常小,热效应对管道的影响是可以忽略的。
3.2 GIL多组分传输有限元模型
IL多组分传输有限元模型包含外部空气在内的GIL 电磁场、流体场以及温度场耦合,迭代计算了与温度相关的焦耳热损耗,并将其按照单元映射方式耦合至温度场进行温升计算。采用多组分传输理论将SF6气体与空气的物性参数进行线性组合,并研究运行电流与环境温度对GIL 温升的影响。
(1)稳态电磁场数学模型
由于外壳磁导率与空气接近,选取包括外部空气在内的GIL横截面为求解域。将具体模型参数与有限元求解电磁场的方法相结合,求解GIL二维电磁场边值问题:
式(7)中,Ω表示整个求解域;Γ1表示第一类齐次边界条件;μ表示磁导率;A表示矢量磁位;J表示电流密度。
考虑到电阻率随温度变化,GIL导体与外壳单位长度的焦耳热损耗为:
(2)温度场物理模型
GIL温度场的求解域与电磁场相同。GIL的热量传递过程综合了热传导、对流及辐射三种换热方式。
①自然对流换热
对GIL进行对流换热分析时引入空气层,则GIL温度场求解域存在两种不同物性参数的流体,为此采用流体多组分传输方法对两种流体的物性参数线性组合,组合后的流体各物性参数由每个组分流体的物性参数及其质量分率决定:
式(9)中,α1表示SF6气体密度、导热系数或动力粘度;α2表示空气的密度、导热系数或动力粘度;Y1表示SF6气体的质量分率;Y2表示空气的质量分率;αf表示组合后流体的物性参数。
自然对流时,考虑瞬态流动,GIL换热控制方程为:
式中,v表示气体流速;t表示时间;f表示重力加速度,此处仅包含y轴分量;ρf、λf、ηf表示SF6与空气混合气体的密度、导热系数和动力粘度。
②辐射换热
GIL导体与外壳的辐射换热量与其温度及表面性质有关。两个不同表面单元之间的辐射换热量表达式为:
式中,ε表示表面发射率;Ai、Aj表示单元i与j的面积;Fij表示角系数;σ表示Stefan-Boltzmann常数。
通过流场-温度场耦合计算,获取导体与外壳的温度及热损耗,分析温升的影响因素。
4 结论
在实际应用中,不同方法有不同的适应条件,测温方法应根据实际应用条件、使用环境及成本来综合选取。对于隧道中的GIL系统,进行GIL外壳测温时,测温探头不得接地,且测温探头不能直接粘贴在外壳上进行测温,同时也不能接触GIL的导体,不破坏GIL的密封性。
热电偶式温度监测时,为了测量的准确性,需要在外壳上用钻孔埋入法和胶粘法将传感器固定在母线的外壳上。钻孔埋入法会损坏GIL的外壳,影响GIL内部的密封性;而胶粘法会使传感器测量出的温升偏低,造成测量不准确,且热电偶测温时存在测温延迟,这样对于GIL的温度在线监测、报警及分析十分不利,因此,对于GIL导体及外壳测温在线监测来说,不适宜选用热电偶式温度监测。同样,热敏电阻式测温方式也不适用于GIL导体温度的在线监测。
红外线式温度监测,其测量的范围宽,属于非接触测量,且GIL内部没有灰尘、烟雾、蒸汽,测量环境适合红外线式温度测量,可同时用于GIL外壳和导体温度的测量。
对于GIL热问题的解决,解析法更适合稳态问题的初步计算,但是当需要计算涉及电磁场和材料的热特性的热瞬态特性时,解析法存在很大的局限性,有限元法有一定的优越性。通过有限元法可以进行温升计算,确定GIL的最优配置,控制GIL管廊温度变化,减少甚至消除GIL系统的热效应。
参考文献
[1]齐波, 张贵新, 李成榕, 等. 气体绝缘金属封闭输电线路的研究现状及应用前景[J]. 高电压技术, 2015, 41(5): 1466-1473.
[2]BENATO B, MARIO C D, KOCH H. High-capability applications of long gas-insulated line in structures[J]. IEEE Transactions on Power Delivery, 2007, 22(1): 619-626.
[3]屠幼萍, 袁之康, 罗兵, 等. 0. 4~0. 8 MPa气压下二元混合气体SF6/N2和SF6/CO2露点温度计算[J]. 高电压技术, 2015, 41(5): 1446-1450.
[4]KURRER R, FESER K. The application of uitra-high—frequency partial discharge measurements to gas-insulated substations[J]. IEEE Transaction Power Delivery, 1998, 13(3): 777-782.
[5]KOCHH C. Turbulent natural convection and thermal behavior of cylindrical gas-insulated transmission lines (GIL) [C]. Power Engineering Society Summer Meeting. Washington D C, USA:IEEE, 2001:162-166.
[6]HILLERS T. Gas insulated transmission lines (GIL):ready for the real world[C]. Power Engineering Society Winter Meeting. Singapore:IEEE, 2000: 575-579.
[7]BENATO R, CARLINI E M, et al. Gas insulated transmission lines in railway galleries[C]. Power Tech, Russia: IEEE, 2005.
[8]王尧. GIL温度和局部放电在线监测技术及其应用[D]. 苏州: 江苏大学, 2009.
[9]管维生, 张显峰, 李玉民, 等. 热电偶测温技术在矿井防灭火中的应用[J]. 华北科技学院学报, 2005, 2(3): 31-33.
[10]张小洁, 张文新. 单片机温度监测系统[J]. 电气传动自动化, 2013(1):43-45.
[11]魏翔. 气体绝缘金属封闭开关柜在线测温系统设计[J]. 电工电气, 2010(1): 51-54
[12]王健, 陈超, 李庆民, 等. 基于热力耦合分析的GIL热致伸缩特性及其影响因素[J]. 高电压技术, 2017, 43(2):429-437.
[13]TOSHIMICHI M, NOZOMI M, HIROSHI S, et al. The temperature rising characteristics of 275kV cables and GILs intunnels[C]. 2002 IEEE Power Engineering Society Winter Meeting, 2002(2): 1354-1359.
[14]BENATO R, DUGHIERO F, FORZAN M, et al. Proximity effect and magnetic field calculation in GIL and in isolated phase bus ducts[J]. IEEE Transactions on Magnetics, 2002, 38 (2): 781-784.
[15]徐国政, 关永刚. GIS和GIL外壳环流及损耗的简化分析和估算[J]. 高电压技术, 2009, 35(2):247-249.
[16]BENATO R, DUGHIERO F. Solution of coupled electromagnetic and thermal problems in gas-insulated transmission lines[J]. IEEE Transactions on Magnetics, 2003, 39 (3): 1741-1744.
[17]李冰, 肖登明, 赵谡, 等. 第二代气体绝缘输电线路的温升数值计算[J]. 电工技术学报, 2017, 32(13):271-276.
[18]吴晓文, 舒乃秋, 李洪涛, 等. 气体绝缘输电线路温升数值计算及相关因素分析[J]. 电工技术学报, 2013, 28 (1): 65-72.
[19]ZHANG Y J, RUAN J, HUANG T, et al. Calculations oftemperature rise in air-cooled induction motorsthrough 3-D coupled electromagnetic fluid-dynamicaland thermal finite-element analysis[J]. IEEETransactions on Magnetics, 2012, 48(2): 1047-1050.
作者信息:
朱海峰1,柏 彬2,刘寅莹2,黄云天2
(1.国网江苏省电力有限公司经济技术研究院,江苏 南京 210008;
2.国网江苏省电力工程咨询有限公司,江苏 南京 210008)