目录
无向图的邻接表法建立
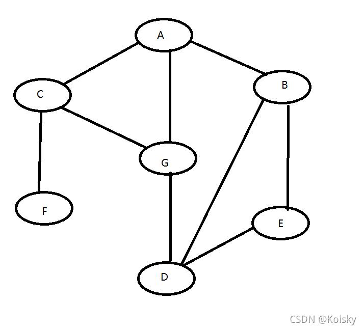
要求建立一个无向图,采用邻接表做为存储结构。 例如:
输入信息为:第一行给出图的顶点数n和边数e。第二行给出n个字符,表示n个顶点的数据元素的值。后面是e行,给出每一条边的两个顶点编号。
输出每个顶点的值以及各顶点的邻接点。
输入样例:
7 9
ABCDEFG
0 1
0 2
0 6
1 3
1 4
2 5
2 6
3 4
3 6
输出结果:

代码实现:

#include<stdio.h>
#include<stdlib.h>
#define Max 100
typedef struct ArcNode
{
int adjvex;
struct ArcNode* next;
}ArcNode;
typedef struct VNode
{
char data;
ArcNode* first;
}VNode,AdjList[Max];
typedef struct
{
AdjList vertices;
int vexnum, arcnum;
}ALGraph;
void CreatGraph(ALGraph& G)
{
int i, j;
ArcNode* s;
printf("请分别输入顶点个数和边数:");
scanf("%d %d", &G.vexnum, &G.arcnum);
getchar(); // 千万别忘写--> 收除空格符
for (i = 0; i < G.vexnum; i++)
{
scanf("%c", &G.vertices[i].data);
G.vertices[i].first = NULL; // 将指向第一个边结点的指针置空
}
for (int k = 0; k < G.arcnum; k++)
{
scanf("%d %d", &i, &j); // 输入一条边两端的结点所对应的下标值(即两个邻接点的位置)
s = (ArcNode*)malloc(sizeof(ArcNode));
s->adjvex = j;
s->next = G.vertices[i].first; // 头插法
G.vertices[i].first = s;
s = (ArcNode*)malloc(sizeof(ArcNode));
s->adjvex = i;
s->next = G.vertices[j].first;
G.vertices[j].first = s;
/*无向图中的邻接矩阵是对称矩阵*/
}
}
void PrintGraph(ALGraph G)
{
for (int i = 0; i < G.vexnum; i++)
{
printf("%c:", G.vertices[i].data);
for (ArcNode* p = G.vertices[i].first; p; p = p->next)
{
printf("%2c", G.vertices[p->adjvex].data);
}
printf("\n");
}
}
int main()
{
ALGraph G;
CreatGraph(G);
PrintGraph(G);
return 0;
}有向图的邻接表法
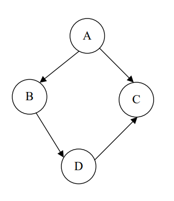
要求建立一个有向图,采用邻接表做为存储结构。 例如:

输入信息为:第一行给出图的顶点数n和边数e。第二行给出n个字符,表示n个顶点的数据元素的值。后面是e行,给出每一条边的两个顶点编号。
输出每个顶点的值以及各顶点的邻接点。
输入样例:
4 4
ABCD
0 1
0 2
1 3
3 2输出结果:

代码实现:
#include<stdio.h>
#include<stdlib.h>
#define Max 100
typedef struct ArcNode
{
int adjvex;
struct ArcNode* next;
}ArcNode;
typedef struct VNode
{
char data;
ArcNode* first;
}VNode,AdjList[Max];
typedef struct
{
AdjList vertices;
int vexnum, arcnum;
}ALGraph;
void CreatGraph(ALGraph& G)
{
int i, j;
ArcNode* s;
printf("请分别输入顶点个数和边数:");
scanf("%d %d", &G.vexnum, &G.arcnum);
getchar(); // 千万别忘写--> 收除空格符
for (i = 0; i < G.vexnum; i++)
{
scanf("%c", &G.vertices[i].data);
G.vertices[i].first = NULL; // 将指向第一个边结点的指针置空
}
for (int k = 0; k < G.arcnum; k++)
{
scanf("%d %d", &i, &j); // 输入一条边两端的结点所对应的下标值(即两个邻接点的位置)
s = (ArcNode*)malloc(sizeof(ArcNode));
s->adjvex = j;
s->next = G.vertices[i].first; // 头插法
G.vertices[i].first = s;
//非对称矩阵
}
}
void PrintGraph(ALGraph G)
{
for (int i = 0; i < G.vexnum; i++)
{
printf("%c:", G.vertices[i].data);
for (ArcNode* p = G.vertices[i].first; p; p = p->next)
{
printf("%2c", G.vertices[p->adjvex].data);
}
printf("\n");
}
}
int main()
{
ALGraph G;
CreatGraph(G);
PrintGraph(G);
return 0;
}版权声明:本文为Koisky_shuo原创文章,遵循CC 4.0 BY-SA版权协议,转载请附上原文出处链接和本声明。