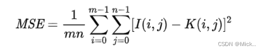
图像恢复常用psnr做为评价指标。psnr值越高则表示两幅图像越相似。
由于图像处理时常有两种类型的格式,一种是tensor类型,一种是numpy类型。所以这里准备了两个代码。


import torch
import numpy as np
import cv2
from torchvision import transforms
def torchPSNR(tar_img, prd_img):
imdff = torch.clamp(prd_img,0,1) - torch.clamp(tar_img,0,1)
rmse = (imdff**2).mean().sqrt()
ps = 20*torch.log10(1/rmse)
return ps
def numpyPSNR(tar_img, prd_img):
##这里通常会去除边框
imdff = np.float32(prd_img) - np.float32(tar_img)
rmse = np.sqrt(np.mean(imdff**2))
ps = 20*np.log10(255/rmse)
return ps
img1=cv2.imread('./2.png')
# img1=cv2.cvtColor(img1, cv2.COLOR_BGR2YCR_CB)###改变颜色
# b1,g1,r1=cv2.split(img1) ##通道分离
img2=cv2.imread('./3.png')
# img2=cv2.cvtColor(img2, cv2.COLOR_BGR2YCR_CB)
# b2,g2,r2=cv2.split(img2)
print(numpyPSNR(img1,img2))
img1=transforms.ToTensor()(img1)
img2=transforms.ToTensor()(img2)
print(torchPSNR(img1,img2))
# print(numpyPSNR(g1,g2))
# print(numpyPSNR(b1,b2))
# print(numpyPSNR(r1,r2))补充:
当图片的数据类型是np.uint8时。
from skimage.measure import compare_ssim,compare_psnr
psnr = compare_psnr(img1, img2, 255)
版权声明:本文为qq_40107571原创文章,遵循CC 4.0 BY-SA版权协议,转载请附上原文出处链接和本声明。