递归函数
什么是递归?
程序调用自身的编程技巧称为递归(recursion)
递归作为一种算法在程序设计语言中广泛运用。 一个过程或函数在其定义或说明中有直接或间接调用自身的
一种方法,它通常把一个大型复杂的问题层层转化为一个与原问题相似的规模较小的问题来求解,递归策略
只需少量的程序就可描述出解题过程所需要的多次重复计算,大大减少了程序的代码量。
递归的主要思考方式在于: 把大事化小
递归的两个必要条件
存在限制条件,当满足这个限制条件的时候,递归遍不在继续。
每次递归调用之后越来越接近这个限制条件。
练习
①接收一个整形值(无符号),按顺序打印它的每一位。
例如:
输入: 1234, 输出: 1 2 3 4
- 参考代码
#include <stdio.h>
void Print(int num)
{
if (num > 9)
{
Print(num / 10);//不断接近限制条件
}
printf("%d ", num % 10);
}
int main()
{
int num = 0;
scanf("%d", &num);
Print(num);
return 0;
}
- 结果

②编写函数不允许创建临时变量,求字符串长度。
- 参考代码
#include <stdio.h>
int my_strlen(char* s)
{
if (*s == '\0')
return 0;
else
return 1 + my_strlen(s + 1);
}
int main()
{
char arr[] = "abcdef";
int len = my_strlen(arr);
printf("%d", len);
return 0;
}
递归与迭代
练习
①求n的阶乘(不考虑溢出)
- 参考代码(递归):
#include <stdio.h>
int factorial(int n)
{
if (n <= 1)
return 1;
else
return n * factorial(n - 1);
}
int main()
{
int n = 0;
scanf("%d", &n);
int ret = factorial(n);
printf("%d", ret);
return 0;
}
- 参考代码(迭代):
#include <stdio.h>
int main()
{
int n = 0;
scanf("%d", &n);
int i = 0;
int ret = 1;
for (i = 1; i <= n; i++)
{
ret *= i;
}
printf("%d", ret);
return 0;
}
②斐波那契
- 参考代码(递归):
#include <stdio.h>
int Fib(int n)
{
if (n <= 2)
return 1;
else
return Fib(n - 1) + Fib(n - 2);
}
int main()
{
int n = 0;
scanf("%d", &n);
int ret = Fib(n);
printf("%d", ret);
return 0;
}
- 参考代码(迭代):
#include <stdio.h>
int main()
{
int n = 0;
scanf("%d", &n);
int a = 1;
int b = 1;
int c = 1;
while (n > 2)
{
c = a + b;
a = b;
b = c;
n--;
}
printf("%d", c);
return 0;
}
什么时候用递归?
当解决一个问题递归和非递归都可以使用,且没有明显问题。那就可以使用递归。当解决一个问题递归起来非常简答,非递归比较复杂,且递归没有明显问题,那就用递归。如果说用递归解决问题,写起来简单,但是有明显问题,那就不能使用递归。
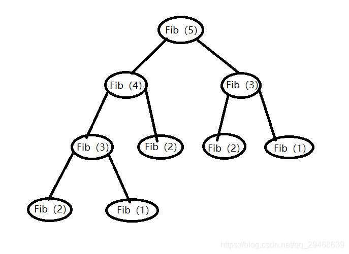
因此,在上述的练习中,斐波那契数列就不适合用递归来求解,因为在递归过程中有许多重复的计算,我们用下面的图来解释一下。
假设我们求的是第五个斐波那契数。
从图中我们可以看到,Fib(1),Fib(2), Fib(3),都进行了多次重复计算,这样就大大降低了运算效率,因此斐波那契数列不适合用递归求解。
博主掌握到的递归函数就是这些,要是对你有帮助就点个赞吧!????
版权声明:本文为qq_29468639原创文章,遵循CC 4.0 BY-SA版权协议,转载请附上原文出处链接和本声明。