雷达的特性、目标和接收信号之间的基本关系称为雷达方程。
图中显示了孤立的雷达目标(发射器)发射的几何形状,以及雷达方程中涉及的参数。

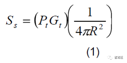
当增益为Gt的天线发射功率Pt时,发射器方向的单位实心角功率为Pt Gt,其中使用该方向的Gt值。在发射器处:

其中Ss为发射器处的功率密度。发射损耗是

是指在天线周围半径为R的球体上传播功率所带来的功率密度降低。
为了得到发射器截获的总功率(Pis),功率密度必须乘以发射器的有效接收面积Ars。

请注意,有效面积Ars不是发射器拦截的入射光束的实际面积,而是有效面积;也就是说,它是入射光束的面积,如果假设通过所有其他光束的功率不间断地持续下去,那么所有的功率都会被去除。Ars
版权声明:本文为xiaoming0907原创文章,遵循CC 4.0 BY-SA版权协议,转载请附上原文出处链接和本声明。