本文是 21Dianyuan 社区原创技术文章,作者 LLC 谐振,感谢作者的辛苦付出。
直流增益公式推导
直流 LLC 谐振电源,其实也相当于 buck-boost 电源。要想弄明白和推导理论公式,首先温习一下傅里叶级数和 RLC 串联谐振知识。
傅里叶级数怎么推导的呢?详细的推导过程学习课件我已上传至论坛,大家可以去论坛自行下载学习。这里直接入手 LLC 变换器理论推导,本文主要谈谈不对称半桥结构,次级输出采用全波整流。LLC 其实也是 DC-DC 变换器,输出侧电压为方波,电流为正弦波。设计时根据客户需求计算出额定负载时直流电阻 Ro,再用基波分析法计算出次级交流输出电阻,然后换算至变压器初级得出等效模型,先推导直流增益和阻性曲线方程。
输入阻抗公式推导
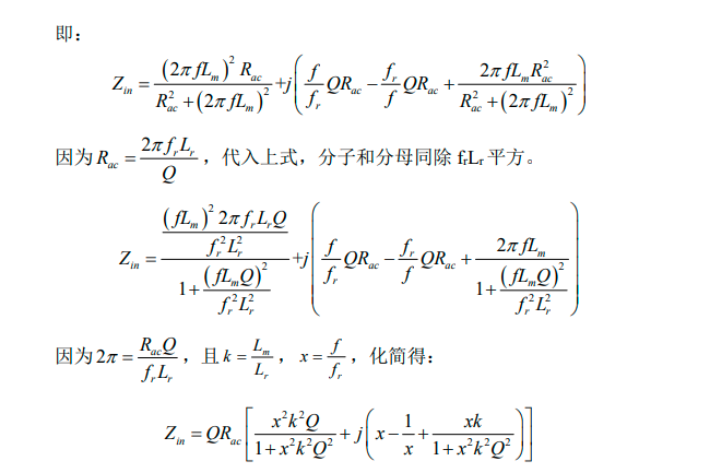
上述已经详细推导了谐振腔的直流增益方程,为研究输入阻抗和直流增益之间的联系,下面对输入阻抗方程进行推导,用 MathCAD 画出阻抗曲线,与直流增益曲线对照研究 LLC 谐振拓扑结构。根据输入阻抗公式,当虚部为零时呈阻性,化简出 Q 表达式,将 Q 表达式带入直流增益方程,可在直流增益图中画出阻性曲线。
谐振参数计算方法
下面介绍一下参数的计算方法。该计算是本人前段时间整理总结,如有错误地方欢迎大家提出指正。LLC 谐振参数是变换器设计的关键,计算方法不止一种,由于每个人的理解和计算思路不同可能稍有区别。如想要完全吃透必须对照各时段工作波形和理论公式对比分析,就必须亲手推导谐振电感、谐振电容、励磁电感、器件振电压、谐振电流等变量计算公式。
▶ 直流 LLC 电源 1KW 参数计算书:







2.2 傅里叶级数分析
傅里叶级数被广泛的应用于信号处理、组合数学、密码学等领域,信号处理领域我们常见到傅里叶变换,复杂的公式让我们不知所措。傅里叶级数公式如下:

方波傅里叶级数如下,方波如图2-5所示。

▶ 方波函数

▶ 傅里叶级数求解

即:

▶ 故傅里叶级数展开式:


式中 k,n 分别取1,2,3…..
▶ 积化和差公式

▶ 傅里叶级数表示为:


第三节 LLC 谐振变换器主电路拓扑分析及公式推导
3.1 基波近似等效法(Fundamental Harmonic Approximation)对半桥 LLC 谐振变换器进行稳态分析,主电路拓扑如3-1所示。

▶ 假设如下:
(1)功率管为理想元件,寄生参数不影响谐振;
(2)谐振电路的电感、变压器、电容等均为理想元件;
(3)忽略电路中的高次谐波,只有基波传输能量;
(4)输出滤波电容值足够大,输出电压无纹波。
图3-1中开关电路将输入的直流信号转换为方波信号,谐振电路可以滤除高次谐波。谐振回路施加的为方波电压,但只有正弦电流流过谐振电路,由于谐振的作用,谐振电路中电流相位滞后于电压相位一定角度,该条件为高压侧功率管零电压(ZVS)开通创造条件。变压器初级输入电压为方波信号、电流为正弦波信号,假设方波信号的能量主要由基波分量传输,利用基波近似等效法(FHA) 推导负载阻抗表达式。简化电路如图3-2所示。
01
开关电路
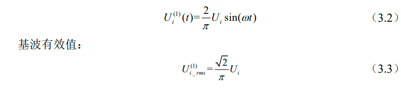
开关电路将直流电压转换为高频方波,桥臂中点处电压值为 Ui 或0。利用傅里叶级数将方波电压展开:

▶ 即方波的基波分量:

02
谐振电路
谐振电路滤除高次谐波,谐振腔中电流为正弦波,且电压相位超前电流相位一定的角度,为零电压(ZVS)开通做准备。

03
整流滤波
变压器低压侧输出电压为方波、电流为正弦波,其电压幅值为 ±Vo。波形如图3-3所示。

假设负载为阻性,低压侧电流和电压波形相位一致,即 φ=0。电压的傅里叶展开式为:

电流为正弦波,波形如图3-4所示,其表达式:


经过上述推导,主电路等效模型如图3-5所示:

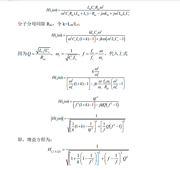
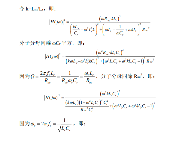
▶ 直流增益推导过程如下:

▶ 方法一:




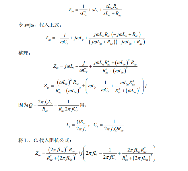
▶ 输入阻抗推导过程如下:



增益推导公式>>>请点击“”原贴中查看并下载文档。
* 本文为 21Dianyuan 社区原创文章,未经授权禁止转载。请尊重知识产权,违者本司保留追究责任的权利。



点