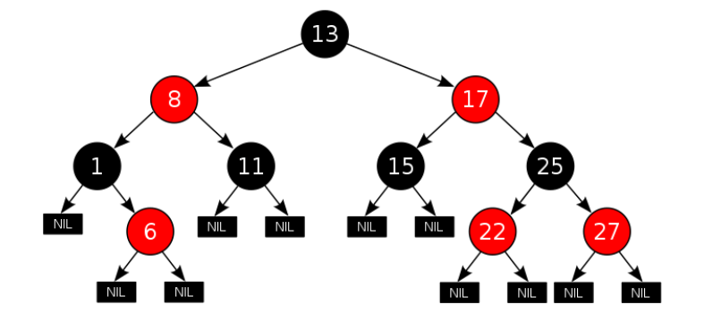
红黑树结构
红黑数(Red-black tree)是一种自动平衡的二叉查找树,如下图:
红黑数首先需要满足的条件是一棵二叉查找树,在此基础上增加其自己的规则。
二叉查找树的规则
- 若任意节点的左子树不为空,则左子树上所有节点的值均小于它的根节点的值
- 若任意节点的右子树不为空,则右子树上所有节点的值均大于它的根节点的值
- 任意节点的左、右子树也分别为二叉查找树
- 没有键值相等的节点
红黑树的规则
- 节点是红色或黑色。
- 根节点是黑色。
- 每个红色节点的两个子节点都是黑色。(从每个叶子到根的所有路径上不能有两个连续的红色节点)
- 从任一节点到其每个叶子的所有路径都包含相同数目的黑色节点。
红黑树与AVL树更加通用,因为AVL查找快但插入慢,红黑树查找插入都挺好。
红黑树算法实现
旋转算法
注意:A、B、C都是可能有子节点的。
左旋
右旋
插入算法
总体的步骤如下:
- 第一步: 将红黑树当作一颗二叉查找树,将节点插入。
- 第二步:将插入的节点着色为"红色"。
- 第三步: 通过一系列的旋转或着色等操作,使之重新成为一颗红黑树。
插入节点为红色的原因是:将插入的节点着色为红色,不会违背"特性(5)"!少违背一条特性,就意味着我们需要处理的情况越少。
调整的步骤:
- 如果插入的是根节点,直接把此节点涂为黑色。
- 如果被插入的节点的父节点是黑色,什么也不需要做。
- 如果被插入的节点的父节点是红色,如果叔叔节点也是红色,将父节点与叔叔节点变为黑色,祖父节点变为红色,以祖父节点为当前节点,继续调整。
- 如果被插入的节点的父节点是红色,叔叔节点是黑色。分为四种情况。
情况如下:
- 当前节点是父亲的左孩子,父亲是祖父的左孩子(Left-Left),处理思路:a.将祖父节点右旋;b.交换父节点和祖父节点的颜色。
- 当前节点是父亲的右孩子,父亲是祖父的左孩子(Right-Left),处理思路:a.将父节点左旋,并将父节点作为当前节点; b.然后再使用Left Left情形
- 当前节点是父亲的右孩子,父亲是祖父的右孩子(Right-Right),处理思路:a.将祖父节点左旋;b.交换父节点和祖父节点的颜色
- 当前节点是父亲的左孩子,父亲是祖父的右孩子(Left-Right),处理思路:a.将父节点右旋,并将父节点作为当前节点; b.然后再使用Right Right情形
插入算法调整过程示例
调整红黑树三种情况
- 被插入的节点是根节点:直接把此节点涂为黑色。
- 被插入的节点的父节点是黑色:什么也不需要做。节点被插入后,仍然是红黑树。
- 被插入的节点的父节点是红色:需要进行调整。
父节点是红色的两种情况
- 当前节点的父节点是红色,且当前节点的叔叔节点也是红色。
- 当前节点的父节点是红色,但当前节点的叔叔节点是黑色。
对于第1种:叔叔节点也是红色,步骤如下:
- 将“父节点”、“叔叔节点”设为黑色。
- 将“祖父节点”设为“红色”。
- 将“祖父节点”设为“当前节点”(新插入的节点),之后继续对“当前节点”进行操作。
如下图,新插入节点为35,还需对祖父节点60继续操作进行。
父节点是红色,叔叔节点是黑色
分为四种情况:
- 当前节点是父亲的左孩子,父亲是祖父的左孩子(Left-Left),处理思路:a.将祖父节点右旋;b.交换父节点和祖父节点的颜色。
- 当前节点是父亲的右孩子,父亲是祖父的左孩子(Right-Left),处理思路:a.将父节点左旋,并将父节点作为当前节点; b.然后再使用Left Left情形
- 当前节点是父亲的右孩子,父亲是祖父的右孩子(Right-Right),处理思路:a.将祖父节点左旋;b.交换父节点和祖父节点的颜色
- 当前节点是父亲的左孩子,父亲是祖父的右孩子(Left-Right),处理思路:a.将父节点右旋,并将父节点作为当前节点; b.然后再使用Right Right情形
对于第2种:叔叔节点是黑色,且当前节点是其父节点的右孩子,步骤如下:
- 将“父节点”作为“新的当前节点”。
- 以“新的当前节点”为支点进行左旋。(支点相当于上面左旋图片的A节点)
- 继续检查并调整。
如下图,由上一步,我们需对节点60进行操作
对于第3种:叔叔节点是黑色,且当前节点是其父节点的左孩子,步骤如下:
- 将“父节点”设为“黑色”。
- 将“祖父节点”设为“红色”。
- 以“祖父节点”为支点进行右旋。(支点相当于上面右旋图片的A节点)
- 继续检查并调整。

删除算法
https://www.jianshu.com/p/84416644c080
删除总体步骤如下:
- 第一步:将红黑树当作一颗二叉查找树,将节点删除。
- 如果被删除节点是叶子节点,且为红色,那就直接删掉。
- 如果被删除节点是叶子节点,且为黑色,这时需要调整,删掉节点,用nil节点代替它,对nil节点进行平衡操作(详细见下)。
- 如果被删除的节点只有一个叶子节点,那它一定是一个黑色节点,且其子节点为红色(红黑树的特性决定)。此时用删除节点的子节点接到父节点,且将子节点颜色涂黑,保证黑色数量。
- 有两个子节点时,找到删除节点的右子树的最小节点(后继节点),然后替换删除结点。将后继节点原先的位置作为当前节点,因为后继节点一定是一个叶子节点或者是只有一棵子树,情形转至为2、3、4处理。
对于第3种情形,需要进行平衡操作,我们将
- 当前节点(nil)是根节点,不用操作。
- 当前节点(nil)的兄弟节点是黑色,如果兄弟节点的子节点全是黑色,父亲节点是红色:交换父亲节点与兄弟节点颜色,平衡结束。
- 当前节点(nil)的兄弟节点是黑色,如果兄弟节点的子节点全是黑色,父亲节点是黑色:将兄弟节点涂为红色,对父亲节点当做当前节点,继续操作。
- 当前节点(nil)的兄弟节点是黑色,如果兄弟节点的子节点不全是黑色,兄弟节点在左边,其左子树为红色:以父亲节点右旋,交换父亲节点与兄弟节点颜色,将兄弟节点的左子树涂为黑色,平衡结束。
- 当前节点(nil)的兄弟节点是黑色,如果兄弟节点的子节点不全是黑色,兄弟节点在右边,其右子树为红色:以父亲节点右旋,交换父亲节点与兄弟节点颜色,将兄弟节点的右子树涂为黑色,平衡结束。
- 当前节点(nil)的兄弟节点是黑色,如果兄弟节点的子节点不全是黑色,兄弟节点在左边,其左子树为黑色:以兄弟节点左旋,交换兄弟节点与兄弟节点右子树颜色,转换为第4中情形。
- 当前节点(nil)的兄弟节点是黑色,如果兄弟节点的子节点不全是黑色,兄弟节点在右边,其右子树为黑色:以兄弟节点右旋,交换兄弟节点与兄弟节点左子树颜色,转换为第5中情形。
- 当前节点(nil)的兄弟节点是红色,如果兄弟节点在左边,以父节点右旋,交换父亲节点与兄弟节点颜色,转换为兄弟节点为黑色的情况。
- 当前节点(nil)的兄弟节点是红色,如果兄弟节点在右边,以父节点左旋,交换父亲节点与兄弟节点颜色,转换为兄弟节点为黑色的情况。


第一步删除有如下情况:
- 被删除节点没有儿子,即为叶节点,直接将该节点删除。
- 被删除节点只有一个儿子,直接删除该节点,并用该节点的唯一子节点顶替它的位置。
- 如果被删除节点左右都有孩子,先找到删除节点的右子树的最小节点(后继节点),然后替换删除结点。
具体情况如下图:
第二步调整树有如下情况
- 节点是红色,不需要调整,只要把替换结点的颜色设为删除的结点的颜色即可重新平衡。
- 节点是黑色,需要旋转着色
原文链接:
https://blog.csdn.net/yy_0733/article/details/95164590
https://www.jianshu.com/p/7b38abfc3298?utm_source=oschina-app
https://www.cnblogs.com/nananana/p/10434549.html
红黑树操作示例
第1次.对在空的红黑树中插入第一个元素时,插入红色节点,由于违反第二条规定,做变色操作,变为黑色节点,如下图所示。
第2次继续插入两个子节点,不需要任何变色操作,如下图所示。
第3次给节点B插入左子节点D,插入后由于新节点的父节点B和叔叔C节点(祖父节点的另一个子节点)也都是红色,违反了第三条,最简单的办法就是将其父节点B和叔叔节点C变为黑色,如下图所示。
第4次给节点D插入左子节点E,插入后首先插入节点E为红色,其父节点D为红色,且新插入的E是其父节点D的左子节点,解决办法是,首先将其父节点D变为黑色,祖父节点B变为红色,然后以祖父节点B为支点向右旋转,如下图所示。
第5次给节点B插入右子节点F,其父节点B和叔叔节点E均为红色,将父节点B和叔叔节点E变为黑色并将其祖父节点D变成红色,如下图所示。
第6次多插入几个节点便于后面观察,如下图所示。
第7次给G插入左子节点K,其父节点和叔叔节点均为红色,所以将父节点和叔叔节点变为黑色且祖父节点变为红色,如下图从1变成2。这样B和D都是红色又会冲突,此时将B看作是新插入的节点,B的父节点为红色,叔叔节点为黑色,且B是其父节点的右子节点,以D为支点向左旋转,如下图3变成4(蓝色箭头代表转移的位置并不是代表连接到该节点上)。接下来D和B都是红色依然冲突,将D看着是新插入的节点,其父节点B为红色,叔叔节点C为黑色,且是其父节点B的左子节点,所以将其父节点B变为黑色,祖父节点A变为红色,并以A节点为支点向右旋转,如下图5变成6再变成7,这样整个红黑树就平衡了。


操作参考:https://blog.csdn.net/duduhonghong/article/details/83860904
部分参考:https://www.cnblogs.com/2sheep2simple/p/10780560.html