一、树
eg:二叉树实现代码在文末
什么是树
树是具有n个结点的有限集合
当n=0时,有且仅存在一个结点,该结点称为根结点
当n>0时,其余结点分为m个互斥的有限集合T1,T2,T3,每个集合分别称为子树
由此可知,树的定义是一个递归的定义,即树的定义中又用到了树的概念。
树的结构

/**
* 构造函数
*
* @param <T>
*/
public class TreeNode<T> {
private int index;
// 数据项
private T data;
// 指向左结点分支
private TreeNode leftChild;
// 指向右结点分支
private TreeNode rightChild;
... get and set ...
}
树的基本性质
- 结点:包含了数据项和指向其他结点的分支
- 结点的度:结点所拥有的子树棵树。
- 叶结点&终端结点:即度为0的结点,
- 子女结点:若结点x有子树,则子树的根结点即为结点x的子女。
- 父结点:若结点x有子女,它即为子女的父结点
- 根结点:没有父结点的结点称为根结点
- 兄弟结点:同一父结点的子女互称为兄弟。
- 祖先结点:从根结点到该结点所经历分支上的所有结点。
- 子孙结点:某一结点的子女,以及这些子女的子女都是该结点的子孙。
- 结点所处的层次:从根到该结点所经路径上的分支条数.根结点在第1层,它的子女在第二层。树中任一结点的层次为它的父结点的层次加1。结点所处层次亦称为结点的深度
- 树的高度:叶结点的高度为1,非叶结点的高度等于它子女结点高度的最大值加1。
- 树的度:树中结点的度的最大值。
二、二叉树
什么是二叉树
二叉树是树的一种特殊形态。二叉树的特点是每个结点最多拥有两个子女(就是不存在度大于2的结点),分别称为左子女和右子女,并且二叉树的子树有左右之分,其子树次序不能颠倒。
特殊二叉树
① 斜树
所有结点都只有左子树的叫做左斜树,所有节点都只有右子树的叫做右斜树
② 满二叉树
满二叉树:深度为k的满二叉树是有2^k-1个结点的二叉树。在满二叉树中,每一层的结点都达到了最大个数。除了最底层的结点度为0外,其他各层结点的度均为2。
3 完全二叉树
如果一棵具有n个结点的深度为k的二叉树,它的每一个结点都与高度为k的满二叉树中编号为1~n的结点一一对应,则称其为完全二叉树。其特点是从第一层到k-1层的所有各层的结点数都是满的,仅最下面第k层是满的,或从右向左连续缺若干结点。
三、二叉树的存储方式
完全二叉树的存储结构:顺序存储
对一棵具有n个结点的完全二叉树按照层次编号,则其存储结构可以顺序存储,如下图所示:

一般二叉树的存储结构:顺序存储
如图所示,其中红色箭头指向的结点不存在,这是一棵一般二叉树。对这棵树按照完全二叉树的方式编号,不存在的结点设置为空,则其存储结构可以顺序存储,如下图所示:

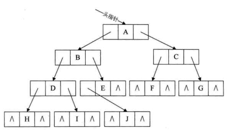
使用链表来存储二叉树
使用双向链表来存储一棵二叉树,数据结构如下所示:
class TreeNode{
int data;
TreeNode leftChild;
TreeNode rightChild;
}

实现代码
package test;
import java.util.LinkedList;
import java.util.List;
/**
* 功能:把一个数组的值存入二叉树中,然后进行3种方式的遍历
*
* 参考资料0:数据结构(C语言版)严蔚敏
*
* 参考资料1:http://zhidao.baidu.com/question/81938912.html
*
* 参考资料2:http://cslibrary.stanford.edu/110/BinaryTrees.html#java
*
* @author ocaicai@yeah.net @date: 2011-5-17
*
*/
public class BinTreeTraverse2 {
private int[] array = { 1, 2, 3, 4, 5, 6, 7, 8, 9 };
private static List<Node> nodeList = null;
/**
* 内部类:节点
*
* @author ocaicai@yeah.net @date: 2011-5-17
*
*/
private static class Node {
Node leftChild;
Node rightChild;
int data;
Node(int newData) {
leftChild = null;
rightChild = null;
data = newData;
}
}
public void createBinTree() {
nodeList = new LinkedList<Node>();
// 将一个数组的值依次转换为Node节点
for (int nodeIndex = 0; nodeIndex < array.length; nodeIndex++) {
nodeList.add(new Node(array[nodeIndex]));
}
// 对前lastParentIndex-1个父节点按照父节点与孩子节点的数字关系建立二叉树
for (int parentIndex = 0; parentIndex < array.length / 2 - 1; parentIndex++) {
// 左孩子
nodeList.get(parentIndex).leftChild = nodeList
.get(parentIndex * 2 + 1);
// 右孩子
nodeList.get(parentIndex).rightChild = nodeList
.get(parentIndex * 2 + 2);
}
// 最后一个父节点:因为最后一个父节点可能没有右孩子,所以单独拿出来处理
int lastParentIndex = array.length / 2 - 1;
// 左孩子
nodeList.get(lastParentIndex).leftChild = nodeList
.get(lastParentIndex * 2 + 1);
// 右孩子,如果数组的长度为奇数才建立右孩子
if (array.length % 2 == 1) {
nodeList.get(lastParentIndex).rightChild = nodeList
.get(lastParentIndex * 2 + 2);
}
}
/**
* 先序遍历
*
* 这三种不同的遍历结构都是一样的,只是先后顺序不一样而已
*
* @param node
* 遍历的节点
*/
public static void preOrderTraverse(Node node) {
if (node == null)
return;
System.out.print(node.data + " ");
preOrderTraverse(node.leftChild);
preOrderTraverse(node.rightChild);
}
/**
* 中序遍历
*
* 这三种不同的遍历结构都是一样的,只是先后顺序不一样而已
*
* @param node
* 遍历的节点
*/
public static void inOrderTraverse(Node node) {
if (node == null)
return;
inOrderTraverse(node.leftChild);
System.out.print(node.data + " ");
inOrderTraverse(node.rightChild);
}
/**
* 后序遍历
*
* 这三种不同的遍历结构都是一样的,只是先后顺序不一样而已
*
* @param node
* 遍历的节点
*/
public static void postOrderTraverse(Node node) {
if (node == null)
return;
postOrderTraverse(node.leftChild);
postOrderTraverse(node.rightChild);
System.out.print(node.data + " ");
}
public static void main(String[] args) {
BinTreeTraverse2 binTree = new BinTreeTraverse2();
binTree.createBinTree();
// nodeList中第0个索引处的值即为根节点
Node root = nodeList.get(0);
System.out.println("先序遍历:");
preOrderTraverse(root);
System.out.println();
System.out.println("中序遍历:");
inOrderTraverse(root);
System.out.println();
System.out.println("后序遍历:");
postOrderTraverse(root);
}
}
结果:
先序遍历:
1 2 4 8 9 5 3 6 7
中序遍历:
8 4 9 2 5 1 6 3 7
后序遍历:
8 9 4 5 2 6 7 3 1
版权声明:本文为qq_42499816原创文章,遵循CC 4.0 BY-SA版权协议,转载请附上原文出处链接和本声明。