1 共空间模式CSP
原理:共空间模式(CSP)是一种对两分类任务下的空域滤波特征提取算法,能够从多通道的脑机接口数据里面提取出每一类的空间分布成分。公共空间模式算法的基本原理是利用矩阵的对角化,找到一组最优空间滤波器进行投影,使得两类信号的方差值差异最大化,从而得到具有较高区分度的特征向量。
具体原理及代码见https://blog.csdn.net/MissXy_/article/details/81264953
2小波变换
离散化小波变换![]()
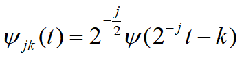
j=0,1,2,…;k∈Z
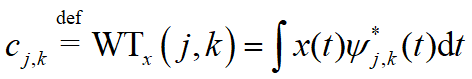
称cj,k为离散小波变换系数,简称为小波系数。
在实际的工作中,最常见的情况是取a0=2,b0=1,此时a取值为20,21,…,2j。此时,连续小波变换中的基函数ψab(t)记为ψjk(t),

相应地,离散小波变换可表示为
3 AR模型
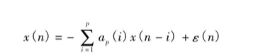
自回归模型 (Auto Regressive Model, AR) [4]是一种线性组合了前期若干时刻的随机变量来描述后期某段时刻随机变量的线形回归模型, 本质是一种线形预测, 表示如下:

其中ε (n) 是方差为σ2, 均值为零的白噪声序列, p表示AR模型的阶数。因此脑电信号序列x (n) 可以看作白噪声序列ε (n) 通过AR模型H (z) 的输出。建立AR模型时, 首要问题就是确定阶数为多少时比较合适。模型的阶数在递推过程中实现, 使用LevinsonDurbin递推方法时, 可以给出低阶到高阶的每一组参数, 当模型的最小预测误差功率P不再发生变化时, 即是所需要的正确阶数
摘自:基于小波变换和AR模型的脑电信号注意力状态识别。
4功率谱密度
功率谱密度是指用密度的概念表示信号功率在各频率点的分布情况,是对随机变量均方 值的量度,是单位频率平均功率的量纲[12]。该方法的计算步骤是
步骤一: x (n) 为无限长随机序列,截取长度 N 变为有限长序列称为 XN(n)
步骤二:计算 XN(n) 在(2m-1) 点的自相关函数 RX(m)。


![]()