短语:任意一颗子树中,如果根结点经过若干步才推导出了叶子结点,则这些叶子结点组成的序列就是相对于这棵子树的短语
直接短语:属于短语,只不过不能经过若干步的推导了,必须一步就能推导出来叶子结点来,这些叶子结点组成的序列才是相对于这颗子树的直接短语
句柄:属于直接短语,它是这些有直接短语的子树中最左边的那颗子树的直接短语
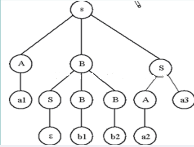
例子:找出下面的这颗语法推导树的短语,直接短语,句柄。

(1).找出这棵树的所有子树

(2).找出每一颗子树的短语
第1棵:a1ɛb1b2a2a3
第2棵:ɛb1b2
第3棵:a2a3
第4棵:a1
第5棵:ɛ
第6棵:b1
第7棵:b2
第8棵:a2
(3).找出每一颗子树的直接短语
第1棵:因为这棵树的叶子结点是经过若干步推导出来的没有一步就推导出来的,所以没有直接短语
第2棵:同上
第3棵:同上,虽然a3是直接推导出来的,但是a2不是,
所以它们组成的序列不能说是直接短语
第4棵:a1
第5棵:ɛ
第6棵:b1
第7棵:b2
第8棵:a2
(4).从这些直接短语中找那个排在最左边的直接短语,即句柄,这道题的句柄就是a1