0 概述
本文要描述的堆是二叉堆。二叉堆是一种数组对象,可以被视为一棵完全二叉树,树中每个结点和数组中存放该结点值的那个元素对应。树的每一层都是填满的,最后一层除外。二叉堆可以用于实现堆排序,优先级队列等。
1 二叉堆定义
使用数组来实现二叉堆,二叉堆两个属性,其中 LENGTH(A) 表示数组 A 的长度,而 HEAP_SIZE(A) 则表示存放在A中的堆的元素个数,其中 LENGTH(A) <= HEAP_SIZE(A),也就是说虽然 A[0,1,…N-1] 都可以包含有效值,但是 A[HEAP_SIZE(A)-1] 之后的元素不属于相应的堆。
二叉堆对应的树的根为 A[0],给定某个结点的下标 i ,可以很容易计算它的父亲结点和儿子结点。注意在后面的示例图中我们标注元素是从1开始计数的,而实现代码中是从0开始计数。
#define PARENT(i) ( i > 0 ? (i-1)/2 : 0)
#define LEFT(i) (2 * i + 1)
#define RIGHT(i) (2 * i + 2)
注:堆对应的树每一层都是满的,所以一个高度为 h 的堆中,元素数目最多为 1+2+22+…2h = 2^(h+1) - 1(满二叉树),元素数目最少为 1+2+…+2^(h-1) + 1 = 2^h。
由于元素数目 2^h <= n <= 2^(h+1) -1,所以 h <= lgn < h+1,因此 h = lgn 。即一个包含n个元素的二叉堆高度为 lgn 。
2 保持堆的性质
本文主要建立一个最大堆,最小堆原理类似。为了保持堆的性质,maxHeapify(int A[], int i) 函数让堆数组 A 在最大堆中下降,使得以 i 为根的子树成为最大堆。
void maxHeapify(int A[], int i, int heapSize)
{
int l = LEFT(i);
int r = RIGHT(i);
int largest = i;
if (l <= heapSize-1 && A[l] > A[i]) {
largest = l;
}
if (r <= heapSize-1 && A[r] > A[largest]) {
largest = r;
}
if (largest != i) { // 最大值不是i,则需要交换i和largest的元素,并递归调用maxHeapify。
swapInt(A, i, largest);
maxHeapify(A, largest, heapSize);
}
}
在算法每一步里,从元素 A[i] 和 A[left] 以及 A[right] 中选出最大的,将其下标存在 largest 中。如果 A[i] 最大,则以 i 为根的子树已经是最大堆,程序结束。
否则,i 的某个子结点有最大元素,将 A[i] 与 A[largest] 交换,从而使i及其子女满足最大堆性质。此外,下标为 largest 的结点在交换后值变为 A[i],以该结点为根的子树又有可能违反最大堆的性质,所以要对该子树递归调用maxHeapify()函数。
当 maxHeapify() 函数作用在一棵以 i 为根结点的、大小为 n 的子树上时,运行时间为调整A[i]、A[left]、A[right] 的时间 O(1),加上对以 i 为某个子结点为根的子树递归调用 maxHeapify 的时间。i 结点为根的子树大小最多为 2n/3(最底层刚好半满的时候),所以可以推得 T(N) <= T(2N/3) + O(1),所以 T(N)=O(lgN)。
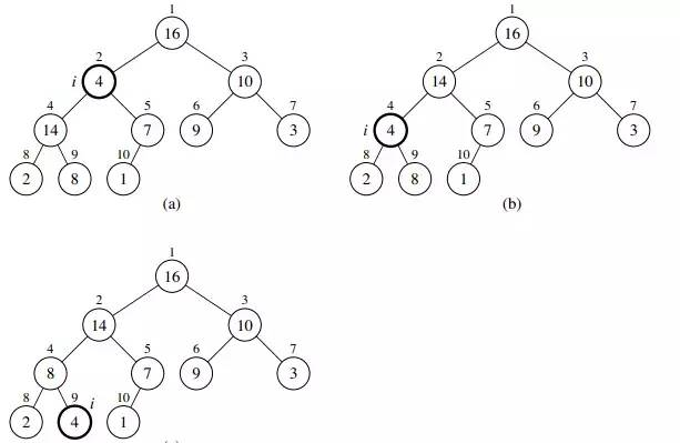
下图是一个运行 maxHeapify(heap, 2) 的例子。A[] = {16, 4, 10, 14, 7, 9, 3, 2, 8, 1},堆大小为 10。

3 建立最大堆
我们可以知道,数组 A[0, 1, …, N-1] 中,A[N/2, …, N-1] 的元素都是树的叶结点。如上面图中的 6-10 的结点都是叶结点。每个叶子结点可以看作是只含一个元素的最大堆,因此我们只需要对其他的结点调用 maxHeapify() 函数即可。在此我向大家推荐一个架构学习交流圈。交流学习指导伪鑫:1253431195(里面有大量的面试题及答案)里面会分享一些资深架构师录制的视频录像:有Spring,MyBatis,Netty源码分析,高并发、高性能、分布式、微服务架构的原理,JVM性能优化、分布式架构等这些成为架构师必备的知识体系。还能领取免费的学习资源,目前受益良多
void buildMaxHeap(int A[], int n)
{
int i;
for (i = n/2-1; i >= 0; i–) {
maxHeapify(A, i, n);
}
}
之所以这个函数是正确的,我们需要来证明一下,可以使用循环不变式来证明。
**循环不变式:**在for循环开始前,结点 i+1、i+2…N-1 都是一个最大堆的根。
**初始化:**for循环开始迭代前,i = N/2-1, 结点 N/2, N/2+1, …, N-1都是叶结点,也都是最大堆的根。
**保持:**因为结点 i 的子结点标号都比 i 大,根据循环不变式的定义,这些子结点都是最大堆的根,所以调用 maxHeapify() 后,i 成为了最大堆的根,而 i+1, i+2, …, N-1仍然保持最大堆的性质。
**终止:**过程终止时,i=0,因此结点 0, 1, 2, …, N-1都是最大堆的根,特别的,结点0就是一个最大堆的根。

虽然每次调用 maxHeapify() 时间为 O(lgN),共有 O(N) 次调用,但是说运行时间是 O(NlgN) 是不确切的,准确的来说,运行时间为 O(N),这里就不证明了,具体证明过程参见《算法导论》。
4 堆排序
开始用 buildMaxHeap() 函数创建一个最大堆,因为数组最大元素在 A[0],通过直接将它与A[N-1] 互换来达到最终正确位置。去掉 A[N-1],堆的大小 heapSize 减1,调用maxHeapify(heap, 0, --heapSize) 保持最大堆的性质,直到堆的大小由N减到1。
void heapSort(int A[], int n)
{
buildMaxHeap(A, n);
int heapSize = n;
int i;
for (i = n-1; i >= 1; i–) {
swapInt(A, 0, i);
maxHeapify(A, 0, --heapSize);
}
}
5 优先级队列
最后实现一个最大优先级队列,主要有四种操作,分别如下所示:
**insert(PQ, key):**将 key 插入到队列中。
**maximum(PQ):**返回队列中最大关键字的元素
**extractMax(PQ):**去掉并返回队列中最大关键字的元素
**increaseKey(PQ, i, key):**将队列 i 处的关键字的值增加到 key
这里定义一个结构体 PriorityQueue 便于操作。
typedef struct PriorityQueue {
int capacity;
int size;
int elems[];
} PQ;
最终优先级队列的操作实现代码如下:
/**
从数组创建优先级队列
*/
PQ *newPQ(int A[], int n)
{
PQ *pq = (PQ *)malloc(sizeof(PQ) + sizeof(int) * n);
pq->size = 0;
pq->capacity = n;int i;
for (i = 0; i < pq->capacity; i++) {
pq->elems[i] = A[i];
pq->size++;
}
buildMaxHeap(pq->elems, pq->size);return pq;
}
int maximum(PQ *pq)
{
return pq->elems[0];
}
int extractMax(PQ *pq)
{
int max = pq->elems[0];
pq->elems[0] = pq->elems[–pq->size];
maxHeapify(pq->elems, 0, pq->size);
return max;
}
PQ *insert(PQ *pq, int key)
{
int newSize = ++pq->size;
if (newSize > pq->capacity) {
pq->capacity = newSize * 2;
pq = (PQ *)realloc(pq, sizeof(PQ) + sizeof(int) * pq->capacity);
}
pq->elems[newSize-1] = INT_MIN;
increaseKey(pq, newSize-1, key);
return pq;
}
void increaseKey(PQ *pq, int i, int key)
{
int *elems = pq->elems;
elems[i] = key;
while (i > 0 && elems[PARENT(i)] < elems[i]) {
swapInt(elems, PARENT(i), i);
i = PARENT(i);
}
}