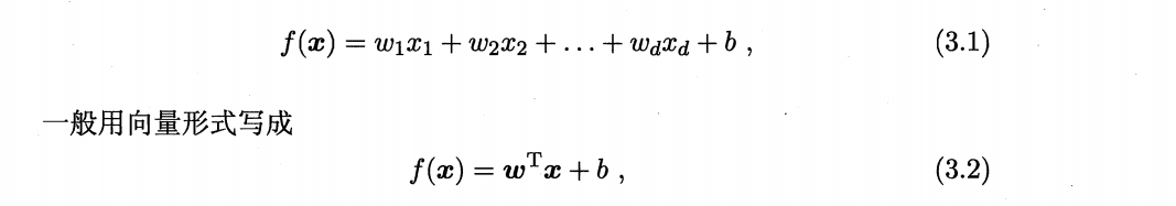
线性模型,当然就是最简单的模型了,形如3.1和3.2这两个公式,显然w和x都为向量,当然w可以为标量,此时对应的就是最简单的线性模型,其次就是多元线性模型。线性模型可以做什么?答:分类和回归。

这样自然要去回答分类和回归是什么,回归就是预测的函数值是连续的,而分类拟合的函数值就是离散的,典型的就是二分类,预测的是0和1.
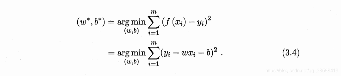
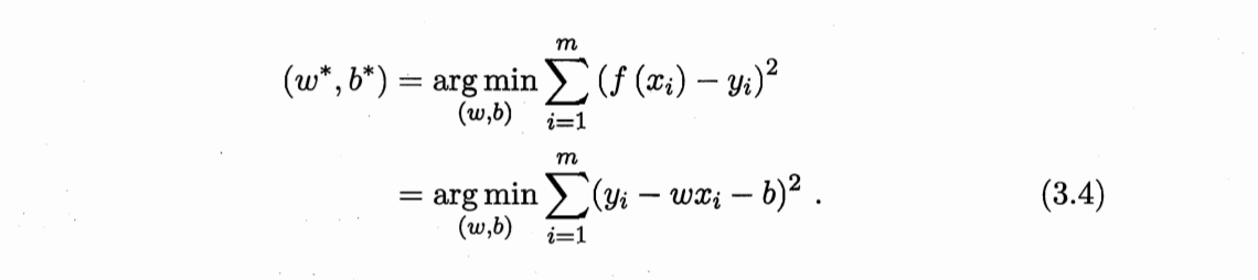
那么如何才能得到一个好的线性回合模型?自然就是要使得预测的结果和实际值差距小,但是也不能达到100%,那就是经典过拟合了,这就是均方误差,如下所示:

这就是一个典型的多元函数,w和b是要去求的参数,回顾下高数或者考研数学,这是一个典型的多元函数求极值的问题。然而这里还要用到一个定理:凸函数的极值就是要使得原函数对w和b的一阶偏导为0。当然还有去证明原函数为凸函数,详细如下所示:

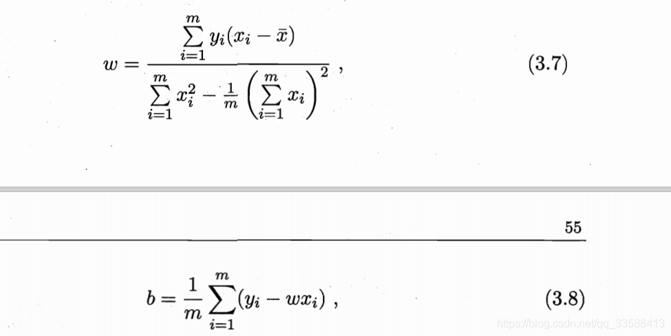
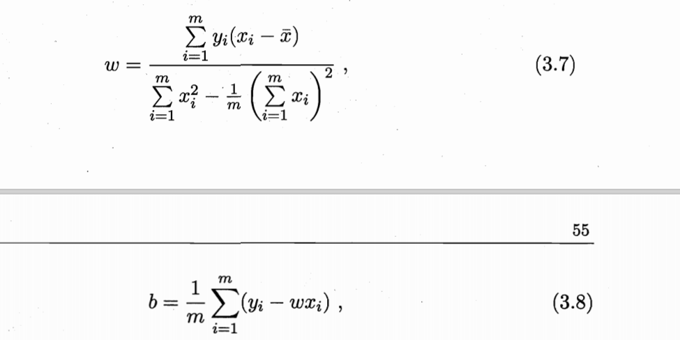
用以上定理,令原函数对w和b的一阶偏导为0易得w和b值,这就是简单的线性模型,而多元线性模型中w就是向量了,求解w和b过程也就变的复杂一些,还要利用矩阵微分的知识,而这是研究生的课程了,普通的线性模型得到的w和b如下所示:

要注意一点的是可以将w的计算结果向量化,这样可以有利于python numpy计算,减少时间消耗。
版权声明:本文为qq_33588413原创文章,遵循CC 4.0 BY-SA版权协议,转载请附上原文出处链接和本声明。