前言
目前推荐系统中用的最多的就是矩阵分解方法,在Netflix Prize推荐系统大赛中取得突出效果。以用户-项目评分矩阵为例,矩阵分解就是预测出评分矩阵中的缺失值,然后根据预测值以某种方式向用户推荐。
矩阵分解
算法介绍
在推荐算法中,主要解决的问题是找到用户对物品的偏好得分。矩阵分解算法它的基本思想是认为用户对物品的偏好是外在表现,内在是用户对主题的偏好,而主题对不同物品又有不同的权重,通过用户->主题->物品这条链路才形成用户对物品的偏好。
矩阵分解的公式:U=PQ
其中U表示用户对不同物品的偏好矩阵, P表示用户对不同主题的偏好矩阵, Q表示不同主题对应用的权重。
案例引入
有如下R(5,4)的打分矩阵:(“-”表示用户没有打分)
其中打分矩阵R(n,m)是n行和m列,n表示user个数,m行表示item个数
那么,如何根据目前的矩阵R(5,4)如何对未打分的商品进行评分的预测(如何得到分值为0的用户的打分值)?
——矩阵分解的思想可以解决这个问题,其实这种思想可以看作是有监督的机器学习问题(回归问题)。
矩阵分解的过程中,,矩阵R可以近似表示为矩阵P与矩阵Q的乘积:
矩阵P(n,k)表示n个user和k个特征之间的关系矩阵,这k个特征是一个中间变量,矩阵Q(k,m)的转置是矩阵Q(m,k),矩阵Q(m,k)表示m个item和K个特征之间的关系矩阵,这里的k值是自己控制的,可以通过调参的方式确定一个合适的k值。为了得到近似的R(n,m),必须求出矩阵P和Q,如何求它们呢?
求解
预测值接近真实值就是使其差最小,这是我们的目标函数,然后采用梯度下降的方式迭代计算P和Q,它们收敛时就是分解出来的矩阵。我们用损失函数来表示误差(等价于目标函数)
推导步骤(方法)
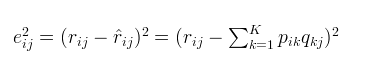
1.
2.对于式子1的左边项,表示的是r^ 第i行,第j列的元素值,对于如何衡量,我们分解的好坏呢,式子2,给出了衡量标准,也就是损失函数,平方项损失,最后的目标,就是每一个元素(非缺失值)的e(i,j)的总和最小值
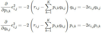
3.使用梯度下降法获得修正的p和q分量:
求解损失函数的负梯度:
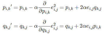
根据负梯度的方向更新变量:
4.不停迭代直到算法最终收敛(直到sum(e^2) <=阈值,即梯度下降结束条件:f(x)的真实值和预测值小于自己设定的阈值)
加入正则项的损失函数求解
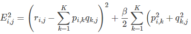
为了防止过拟合,增加正则化项
通常在求解的过程中,为了能够有较好的泛化能力,会在损失函数中加入正则项,以对参数进行约束,加入正则L2范数的损失函数为:
对正则化不清楚的,公式可化为:
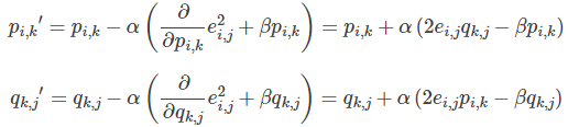
使用梯度下降法获得修正的p和q分量:
-求解损失函数的负梯度:
根据负梯度的方向更新变量:
4.预测
预测利用上述的过程,我们可以得到矩阵和,这样便可以为用户 i 对商品 j 进行打分:
python实现及代码分析
from math import *
import numpy
import matplotlib.pyplot as plt
def matrix_factorization(R,P,Q,K,steps=5000,alpha=0.0002,beta=0.02): #矩阵因子分解函数
#steps:梯度下降次数;alpha:步长;beta:β。
Q=Q.T # .T操作表示矩阵的转置
result=[]
for step in range(steps): #梯度下降
for i in range(len(R)):
for j in range(len(R[i])):
eij=R[i][j]-numpy.dot(P[i,:],Q[:,j]) # .DOT表示矩阵相乘
for k in range(K):
if R[i][j]>0: #限制评分大于零
P[i][k]=P[i][k]+alpha*(2*eij*Q[k][j]-beta*P[i][k]) #增加正则化,并对损失函数求导,然后更新变量P
Q[k][j]=Q[k][j]+alpha*(2*eij*P[i][k]-beta*Q[k][j]) #增加正则化,并对损失函数求导,然后更新变量Q
eR=numpy.dot(P,Q)
e=0
for i in range(len(R)):
for j in range(len(R[i])):
if R[i][j]>0:
e=e+pow(R[i][j]-numpy.dot(P[i,:],Q[:,j]),2) #损失函数求和
for k in range(K):
e=e+(beta/2)*(pow(P[i][k],2)+pow(Q[k][j],2)) #加入正则化后的损失函数求和
result.append(e)
if e<0.001: #判断是否收敛,0.001为阈值
break
return P,Q.T,result
if __name__ == '__main__': #主函数
R=[ #原始矩阵,无评分用0代替
[5,3,0,1],
[4,0,0,1],
[1,1,0,5],
[1,0,0,4],
[0,1,5,4]
]
R=numpy.array(R) #创建一个array
N=len(R) #原矩阵R的行数
M=len(R[0]) #原矩阵R的列数
K=3 #K值可根据需求改变
P=numpy.random.rand(N,K) #随机生成一个 N行 K列的矩阵
Q=numpy.random.rand(M,K) #随机生成一个 M行 K列的矩阵
nP,nQ,result=matrix_factorization(R,P,Q,K)
R_MF=numpy.dot(nP,nQ.T)
print(R_MF) #输出新矩阵
#数据可视化(画出图像)
plt.plot(range(len(result)),result)
plt.xlabel("time")
plt.ylabel("loss") #loss :损失函数
plt.show()
运行结果:
[[4.98765298 2.95236783 4.35100489 0.99986468]
[3.97009465 2.32223303 3.5983697 0.99647856]
[1.05398001 0.8612008 5.3682779 4.9637146 ]
[0.97427659 0.89285051 4.5631002 3.97184612]
[1.62385446 1.17360362 4.923405 4.03090791]]