题目:给你单链表的头节点 head ,请你反转链表,并返回反转后的链表。
示例 1:

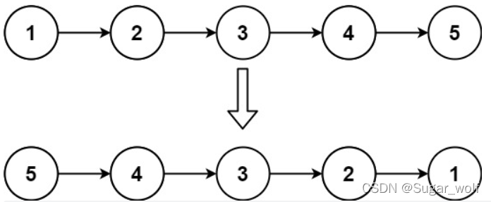
输入:head = [1,2,3,4,5]
输出:[5,4,3,2,1]
示例 2:

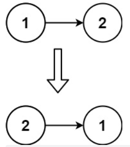
输入:head = [1,2]
输出:[2,1]
示例 3:
输入:head = []
输出:[]
提示:
- 链表中节点的数目范围是 [0, 5000]
- -5000 <= Node.val <= 5000
题解:
- 定义一个reversed的指针,交换链表指向
- 以[1,2,3,4,5]为例,注意交换的是链表(包含各个节点的关系)
- reversed的头节点需要是head->next,
- 而再次交换的head的头节点是reversed的头节点
- 从而完成每次迭代reversed的头部插入
swap(reversed, head->next) :
head : 1 reversed : 2, 3, 4, 5
swap(head, reversed) :
head : 2, 3, 4, 5 reversed : 1
swap(reversed, head->next) :
head : 2, 1 reversed : 3, 4, 5
swap(head, reversed) :
head : 3, 4, 5 reversed : 2, 1
swap(reversed, head->next) :
head : 3, 2, 1 reversed : 4, 5
swap(head, reversed) :
head : 4, 5 reversed : 3, 2, 1
swap(reversed, head->next) :
head : 4, 3, 2, 1 reversed : 5
swap(head, reversed) :
head : 5 reversed : 4, 3, 2, 1
swap(reversed, head->next) :
head : 5, 4, 3, 2, 1 reversed : nullptr
swap(head, reversed) :
head : nullptr reversed : 5, 4, 3, 2, 1
图解循环:
创建reversed指针
循环第一次:
循环第二次:
循环第三次:
循环第四次:
循环第五次:
代码:
/**
* Definition for singly-linked list.
* struct ListNode {
* int val;
* ListNode *next;
* ListNode() : val(0), next(nullptr) {}
* ListNode(int x) : val(x), next(nullptr) {}
* ListNode(int x, ListNode *next) : val(x), next(next) {}
* };
*/
class Solution {
public:
ListNode* reverseList(ListNode* head) {
ListNode *reversed = nullptr;
while (head != nullptr)
{
swap(reversed, head->next);
swap(head, reversed);
}
return reversed;
}
};
引用于此题解
版权声明:本文为Sugar_wolf原创文章,遵循CC 4.0 BY-SA版权协议,转载请附上原文出处链接和本声明。