最近有个任务:求解UR机械臂正逆运动学,在网上参考了一下大家的求解办法,众说纷纭,其中有些朋友求解过程非常常规,但是最后求解的8组解,只有4组可用。在这里我介绍一个可以求解8组解析解的方法,供大家参考。
以UR5机械臂结构和尺寸参数为例进行正逆运动学求解,下图分别是UR5结构图和标准DH系参数:
1. 正运动学求解
正运动学是已知关节六个角度求变换矩阵T
其中:
整理得:
带入DH参数,求解:
最终变换矩阵:
正运动学求解完毕。
2. 逆运动学求解
逆运动学是已知变换矩阵T,求六个关节角度 。逆运动学求解有解析法,几何法,迭代法,这里采用解析法求解。
2.1 两个简单的数学方法
2.1.1 求角度
这个逆运动学算法求解的角度范围是
因为标准的反正切arctan的值域是
所以不能使用,这里介绍一个改进的反正切求法 Atan2(y, x)(Matlab里有这个函数),它的值域可以满足要求。
2.1.2 解方程
首先进行三角恒等变换,令
其中:
然后带入原方程:
则
2.2 约定
为了简化书写,约定:
2.3 求解1,5,6关节角度
已知:
则
其中:
等式左边:
等式右边:
2.3.1 求关节角1
利用等式左右两边第3行,第4列对应相等求关节角1。
整理得:
设:
则
根据前面介绍的解方程的方法:
2.3.2 求关节角5
利用等式左右两边第3行,第3列对应相等求关节角5。
解得:
2.3.3 求关节角6
利用等式左右两边第3行,第1列对应相等求关节角6。
设:
则
根据前面介绍的方法:
其实可以通过化简得到式中
则
2.4 求解2,3,4关节角度
已知:
则
其中:
等式左边等于
等式右边等于
2.4.1 求解关节角3
利用等式左右两边第1行,第4列对应相等,第2行,第4列对应相等,求关节角3。

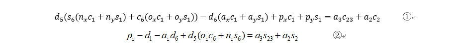
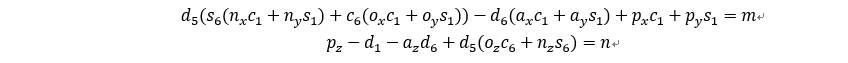
为了简化,设:

将m,n带入上式得
式子③④平方和为
因为
所以
2.4.2 求解关节角2
将③④展开得:
将关节角3带入⑤⑥,求关节角2得
则
2.4.3 求解关节角4
用的第2行第2列,第1行第2列求
则
2.5 总结
2.5.1 求解公式
2.5.2 奇异位置
1.肩关节奇异位置
此时末端执行器参考点O6位于轴线z1和z2构成的平面内,关节角1无法求解。
2.肘关节奇异位置
此时关节角2无法求解。
3.腕关节奇异位置
此时轴线z4和z6平行,关节角6无法求解。
2.6 实例
利用Matlab机器人库 ur5 DH参数:
alpha1 = pi/2; a1=0; d1=89.459;
alpha2 = 0; a2=-425; d2=0;
alpha3 = 0; a3=-392.25; d3=0;
alpha4 = pi/2; a4=0; d4=109.15;
alpha5 = -pi/2; a5=0; d5=94.65;
alpha6 = 0; a6=0; d6=82.3;
取 theta1 = 1; theta2 = 1; theta3 = 1; theta4 = 1; theta5 = 1; theta6 = 1; (不要纠结theta选这6个数值是否有实际意义,这里只验证算法的有效性)
- 将theta带入正运动学公式,求T:
- 将T带入逆运动学公式, 反求theta
theta =
- 再将8个theta带入正运动学公式,反求8个T:
8个T均等于
验证了算法的有效性