因子分析系列博文:
因子分析 factor analysis (一 ):模型的理论推导
因子分析 factor analysis (二 ) : 因子分析模型
因子分析 factor analysis (三) : 因子载荷矩阵的估计方法
因子分析 factor analysis (四) : 因子旋转(正交变换)
因子分析 factor analysis (五) : 因子得分
因子分析 factor analysis (六) :用因子分析法进行综合评价
因子分析 factor analysis (七) :因子分析法与主成分分析的异同
目录
一 因子载荷矩阵A的估计方法
1. 主成分分析法

祥见【因子分析 factor analysis (一 ):模型的理论推导】
2. 极大似然估计法(略)
3. 主因子法
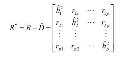
主因子方法是对主成分方法的修正,假定我们首先对变量进行标准化变换。则
;称
为约相关系数矩阵,
对角线上的元素是
,而不是1。

直接求 的前 p 个特征值和对应的正交特征向量。得到如下的矩阵

在实际应用中,特殊因子的方差一般都是未知的,可以通过一组样本来估计。估计 的方法有如下几种:
1)取 ,在这个情况下主因子解与主成分解等价。
2)取 ,
为
与其它所有的原始变量
的复相关系数的平方,即
对其余的 p-1个
的回归方程的判定系数,这是因为
与公共因子的关系是通过其余 的 p-1 个
的线性组合联系起来的。
3) 取 ,这意味着取
与其余的
的简单相关系数的绝对值的最大值。
4) 取 ,其中要求该值为正数。
5) 取 ,其中
是
的对角元素。
二 试用主成分分析法求因子分析模型
例1 假定某地固定资产投资率,通货膨胀率
,失业率
,相关系数矩阵为

计算的MATLAB程序为:
clc,clear
r=[1 1/5 -1/5;1/5 1 -2/5;-1/5 -2/5 1];
[vec,val,con]=pcacov(r);num=2;
f1=repmat(sign(sum(vec)),size(vec,1),1);
vec=vec.*f1; %特征向量正负号转换
f2=repmat(sqrt(val)',size(vec,1),1);
a=vec.*f2 %载荷矩阵
s1=sum(a.^2,1)
tt=a.^2;tt=tt(:,1:num);
s2=sum(tt,2)
三 用主因子分析法求因子分析模型
例2 假定某地固定资产投资率,通货膨胀率
,失业率
,相关系数矩阵为
