注:本文是在MOOC平台上学习西北工业大学《现代控制理论基础》(郭建国、赵斌、郭宗易)的课程进行随笔记录与整理
一.凯莱-哈密尔顿定理

任何一个n阶矩阵,其n到0次幂都是线性相关的,其线性相关的参数和该矩阵的特征多项式参数相同。
推论1:
任何一个n阶矩阵的n及其以上幂次,均可以用n-1次幂直到0次幂的线性结合。
推论2:
任何一个n阶矩阵的矩阵指数阵,均可以用n-1次幂直到0次幂的线性结合。
二.线性定常连续系统的能控性
1.能控性定义
分为状态能控性和输出能控性:
状态能控性:只与状态方程有关,描述输入信号与状态变量的关系;
输出能控性:与状态方程、输出方程均有关系,描述输入信号对输出的影响。
主要讨论的是状态能控性。
能控性定义:
设连续系统状态方程为:x`=Ax+Bu
在有限时间间隔t0 ≦ t ≦ tf 内,存在无约束的分段容许连续控制函数 u(t) ,能使系统从任意初态 x(t0) 转移到终态 x(tf)=0,则称系统是状态完全能控的,简称能控的
即:把系统状态从任意一点转移到稳定点(对于线性系统即原点)
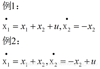
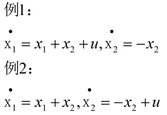
为了便于理解举出两例:
在1中,x2的导只有x2决定,与输入u无关,因此不完全可控即不可控;在2中,x1的导虽然不直接又u决定,但会通过x2影响x1,此时是完全能控即能控的。
2.能控性判据
秩判据:
rank[B AB …A^(n-1)B] = rank Qc = n
n为矩阵A的维数
(为什么上面要写凯莱哈密尔顿定理呢,因为能控判据的证明会用到。。但是写证明过程麻烦且用处不大。。所以就省略了(狗头))
注意:
状态能控性只与状态方程中的A,B矩阵有关,若系统能控,则==[A,B]为能控对==。
(wo在看到一些论文的时候感觉看到“能控对”的说法还挺多,在校学的时候对这个说法都没有印象。。所以应该还挺常用的?)
对于离散系统的能控判据,和连续系统类似,只是状态方程有变化,连续中的A相当于离散中的Ф, 连续中的B相当于离散中的G
三.线性定常连续系统的能观测性
1.能观测性定义
能观:由系统的输出估计状态的可能性
能观定义:
系统状态方程为:x`=Ax+Bu, y=Cx+Du
已知输入u(t),通过在有限时间间隔t0 ≦ t ≦ tf 内测量到的输入y(t),能唯一确定任意初始状态x(t0)的每一分量,则称系统是完全能观测的。
2.能观测性判据
秩判据:
注意:
状态能观测性只与状态方程中的A,C矩阵有关,若系统能观测,则==[A,C]对 称为 能观测对==。
离散的能观与能控一样,可以通过线性定常连续系统进行类比。
四.对偶原理
能控与能观的矩阵存在对偶关系:
这种对偶关系反应了控制问题与估计问题的对偶性。
对偶原理:
如果原系统S1能控(能观),则对偶系统S2是能观(能控)的。
或者:原系统S1能控(能观)的条件,和对偶系统S2能观(能控)的条件完全相同。
呈现在框图上,即输入输出进行了互换(图上方向相反)
S1:
S2:
应用:可以将一个系统的能控(能观)转换成另一个系统的能观(能控)问题来处理。
五.线性变换后的特性

在如图的线性变换下,系统的性质有什么改变呢?
外部特性:
1)系统传递矩阵(G)不变——输入输出特性不变
内部特性:
2)系统特征多项式、特征值不变——稳定性不变
3)变换后能控矩阵秩相同——系统能控性不变
4)变换后能观矩阵秩相同——系统能观测性不变
综上,系统线性变换不会改变内部/外部特性,也不会改变内在/外在性质。
六.线性定常系统的规范形结构分解
结构分解的意义:
系统中有一个状态变量不能控,则系统不能控;
系统中有一个状态变量不能观,则系统不能观;
不能控系统可能含有能控、不能控两种状态变量;
不能观系统可能含有能观、不能观两种状态变量;
根据系统的能控/不能控,能观/不能观,可以分成四类子系统:能控能观,能控不能观,不能控能观,不能控不能观
传递函数的极点只反映 能控能观 部分的特征值,但其他部分虽然不出现在传函中,但必然会影响系统的稳定性和品质。
可以通过以下的变换方法,对系统进行线性变换,将能控/能观 与 不能控/不能观 的部分分开。
★系统不能控时:
在能控矩阵Qc中选出r个线性无关列向量,另外附上任选的(n-r)个列向量,构成非奇异的变换矩阵。
在方框图中可以看出下面的部分是不受输入u影响的:
★系统不能观测时:
在能观测矩阵Qo中选出l个线性无关列向量,另外附上任选的(n-l)个列向量,构成非奇异的变换矩阵。
在方框图中可以看出下面的部分是不影响输出y的:
如下为能控能观分解的典型结构:
能控问题:A的左下角为0块矩阵;输入矩阵中有0
能观测问题:A分块矩阵的右上角为0;输出矩阵中有0