
之前小编发过一篇系统介绍综合评价类问题的文章【数学建模之综合评价问题】,文中总结了综合评价模型一般步骤:
1. 明确评价目的;
2. 确定被评价对象;
3. 建立评价指标体系(包括评价指标的原始值、评价指标的若干预处理等);
4. 确定与各项评价指标相对应的权重系数;
5. 选择或构造综合评价模型;
6. 计算各系统的综合评价值,并给出综合评价结果。
今天,小编继续和大家聊聊——如何确定评价系统的指标权重?
0、前言
对于多指标的评价系统,各指标之间的相对重要性是互不相同的,单纯将所有指标的重要性假设为无差别并不是一种可取的方法。
指标间相对重要性的量化过程也就是不同指标的权重确定过程,不同的权重确定方法必然导致不同的评价结果。而指标权重的确定不仅在综合评价系统中应用广泛,同时在多目标决策中也有很多应用(当然,综合评价问题也可视为多目标决策问题),在进行数学规划时,实际问题中往往存在多个目标,而且很难证,可行域内存在某一个解使得所有目标函数都取得最优值。在这种情况下,就需要对多个目标进行综合加权,将多目标问题转化为单目标问题再进行求解。
1、权重确定方法分类
现有的指标权重方法主要可以分为两类,一类是相对主观的方法,专家通过经验确定不同指标之间的相对重要程度,通过多个专家的打分,取其平均值作为权重。这类方法中,非常具有代表性的就是层次分析法。另一类相对客观的权重确定方法是根据不同评价对象在该指标上得分的离散程度来确定权重。
评价系统的最终目的是将所有的评价对象区分开,如果某一个指标的数据离散程度越大,其对评价对象的区分度也就越好,所以其权重也应该较大一些。在这类方法中,应用比较广泛的有变异系数法和熵值法。
2、主观赋权法——层次分析法
本文中,我们以层次分析法为例来看一看主观赋权法。在确定指标之间的权重时,如果指标数量较多,我们很难直接凭经验给出一组权重。比如通过语文、数学和英语3门功课来评价一个学生的文化课水平,我们无法给出一个3维向量,可以同时衡量不同功课间的相对重要程度。因此层次分析法给出了一个两两指标之间确定相对重要程度的判断矩阵,我们无法同时衡量3门功课之间的相对重要程度,但可以对任意两门功课进行重要性对比,以此来构造3*3的判断矩阵。比如:

我们假设不同学生3门功课成绩表示为3维列向量x,利用判断矩阵A对x进行线性变换后得y,y的第一个维度表示以语文为基准,比语文重要的学科成绩被拉伸,比语文次要的学科成绩被缩短,以此类推,第二个维度以数学为基准,第三个维度以英语为基准。
将学生成绩进行线性变换之后,得到的成绩列向量,虽然体现了不同功课之间的相对重要性,但三个总分(向量y的三个维度)都是不同基准下的线性加权和。为了进行学生之间文化水平的对比,我们必须在同一基准下,得出学生成绩的线性加权和,即将3维向量y降至1维,将学生3门功课成绩计算得到一个线性加权总分。
回顾文章开头所说,综合评价系统的最终目的是将所有的评价对象区分开。我们将学生成绩进行降维时,也应该考虑所有学生降维后的总成绩应该尽可能地分散。所以:

根据瑞利熵的性质(参见文章【一文读懂协方差与协方差矩阵】),上述目标函数的最大值为判断矩阵A的最大特征值,而权重向量w即为判断矩阵A最大特征值对应的特征向量。
所以,我们在这里可以将层次分析法总结为:所有指标两两进行比较,构造判断矩阵,判断矩阵最大特征值所对应特征向量即为不同指标的权重。
层次分析法最大的优点是:1、评价者通过自身经验定性分析指标间的相对重要程度,进一步定量表示为指标权重;2、指标权重不受样本数据的影响,仅与评价者和指标的实际意义有关。
3、客观赋权法
在层次分析法中,指标权重来源于判断矩阵,而判断矩阵是根据评价者自身经验来确定的,因此其主观性太强。为了降低权重的主观性,我们可以采取基于样本数据统计学描述的客观赋权法。如前文所述,如果某一指标数据的离散程度较大,则该指标对评价对象的区分度越好,其权重也就越大。比如变异系数法,其在描述指标数据的离散程度时,主要用标准差和最大离差,即通过各指标内部数据的标准差或最大离差,并进行归一化处理,即可得到各指标权重。

变异系数法的最大优点是:1、充分利用了样本数据,体现了各指标对评价对象的区分程度,保证了指标权重的客观性;2、不受指标数量限制,适用范围广。
但是变异系数法也有一定的缺陷:1、权重的确定与数据样本的选择有很大的相关性,选取样本不同,权重也不相同。同时,该方法受样本数据异常值的影响较大;2、该方法只是对样本数据的客观计算,不能体现评价者对指标实际意义的理解。
4、熵值法
熵是热力学的一个物理概念,是系统混乱度(或无序度)的量度。熵越大说明系统越混乱,携带的信息越少,熵越小说明系统越有序,携带的信息越多。
根据熵的特性,可以通过计算熵值来表示一个随机系统的无序程度,也可以用熵值来判断一个指标的离散程度。
熵值法的一般步骤可以表述为:
(1)数据标准化
在这一步中,需要将所有的指标都转化为正向指标(极大型指标),转化方式为:

(2)数据预处理
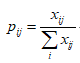
信息熵是用来衡量随机系统的无序程度的,熵值大小与事件发生的概率有关,一个事件发生的概率取值范围为[0,1],而所有事件发生概率之和为1,所以,我们在计算信息熵之前,需要对指标数据进行预处理。

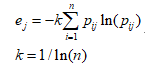
(3)计算熵值

根据上式可知,e的取值范围是[0,1](理论证明过程可以参考Jensen不等式),数据差异越大,信息熵越小,差异越小,信息熵越大。(信息熵本来是衡量随机系统的无序程度,不同事件发生概率越相近,系统越无序)
在计算权重时,衡量指标数据离散程度的统计量应为极大型指标,即统计量越大,数据离散程度越高。因此,我们将熵值进行极大化处理,引入信息熵冗余度:

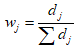
(4)计算权重
将信息熵冗余度进行归一化后,即可得到指标权重:
5、综合集成赋权法
综合集成赋权法是依据不同的偏好系数将主观赋权法和客观赋权法相结合来确定指标权重的综合方法。基于主观赋权法中对专家经验知识与决策者主观意向的信息体现,以及基于客观赋权法中对指标与评价对象间内在联系的信息表现,综合集成赋权法通过一定的数学运算将两者有效结合起来,达到了优势互补的效果。
目前依据不同原理的综合集成赋权方法有多种形式,但大致可将其归为4类,分别是基于加法或乘法合成归一化的综合集成赋权法、基于离差平方和的综合集成赋权法、基于博弈论的综合集成赋权法、基于目标最优化的综合集成赋权方法。
基于加法或乘法合成归一化的综合集成赋权方法是直接将主、客观赋权法所得的指标权重以同等偏好的形式直接相加或相乘,并进行归一化处理得到各指标的综合权重。
基于离差平方和的综合集成赋权法是从决策方案的区分有利性角度,来求解能使决策方案的综合评价值尽可能分散,即各方案综合评价值间的总离差平方和最大的主客观权重分配系数。
基于博弈论的综合集成赋权法是在主客观的不同权重之间寻求妥协或一致,尽可能保持主客观权重的原始信息,求解与主客观权重离差极小化的权重分配系数。
基于目标最优化的综合集成赋权法是基于综合决策结果最优的原则来求解主客观权重系数分配,包括综合目标值最大、与负理想解的偏离程度最大两种具体求解方法。
总之,各种综合赋权法都有一定的理论依据,并通过线性方程组、矩阵运算等数学思想来进行具体求解,有些方法集成计算简单,而有些则给评估过程带来了较大的计算量,但各方法间没有绝对的好坏程度之分,并且目前实际应用中对于何种评估问题选择何种综合赋权方法还没有一致性结论。
另外,综合赋权法与主、客观赋权法相比,得到的评价结果相对更加科学、合理,但也可能存在较大的随机性偏差,导致结果与实际情况不符,其不能完全取代单一赋权法,在实际问题研究中选择赋权方法时要有一个理性的认识。
参考文献:
1. Review on the Weighting Methods of Indexes in the Multi-Factor Evaluation
2. https://blog.csdn.net/yang978897961/article/details/79164829
3. https://baike.baidu.com/item/熵值法/6487336
更多阅读 评价算法——综合评价法 评价问题——熵值法确定权重评价问题——层次分析法告诉你如何选择一部手机国赛论文写作指南国赛优秀论文2008-2018经典优化算法大合集(比赛备用,值得收藏)收藏!国赛常用算法及MATLAB代码
小编还给大家准备了层次分析法、变异系数法、熵值法确定指标权重的MATLAB代码哦!有兴趣的小伙伴在公众号可以在后台回复“指标权重代码”,就可以下载啦!
