leetcode系列–第112题.路径总和
给你二叉树的根节点 root 和一个表示目标和的整数 targetSum 。
判断该树中是否存在 根节点到叶子节点 的路径,这条路径上所有节点值相加等于目标和 targetSum 。
如果存在,返回 true ;否则,返回 false 。
叶子节点 是指没有子节点的节点。

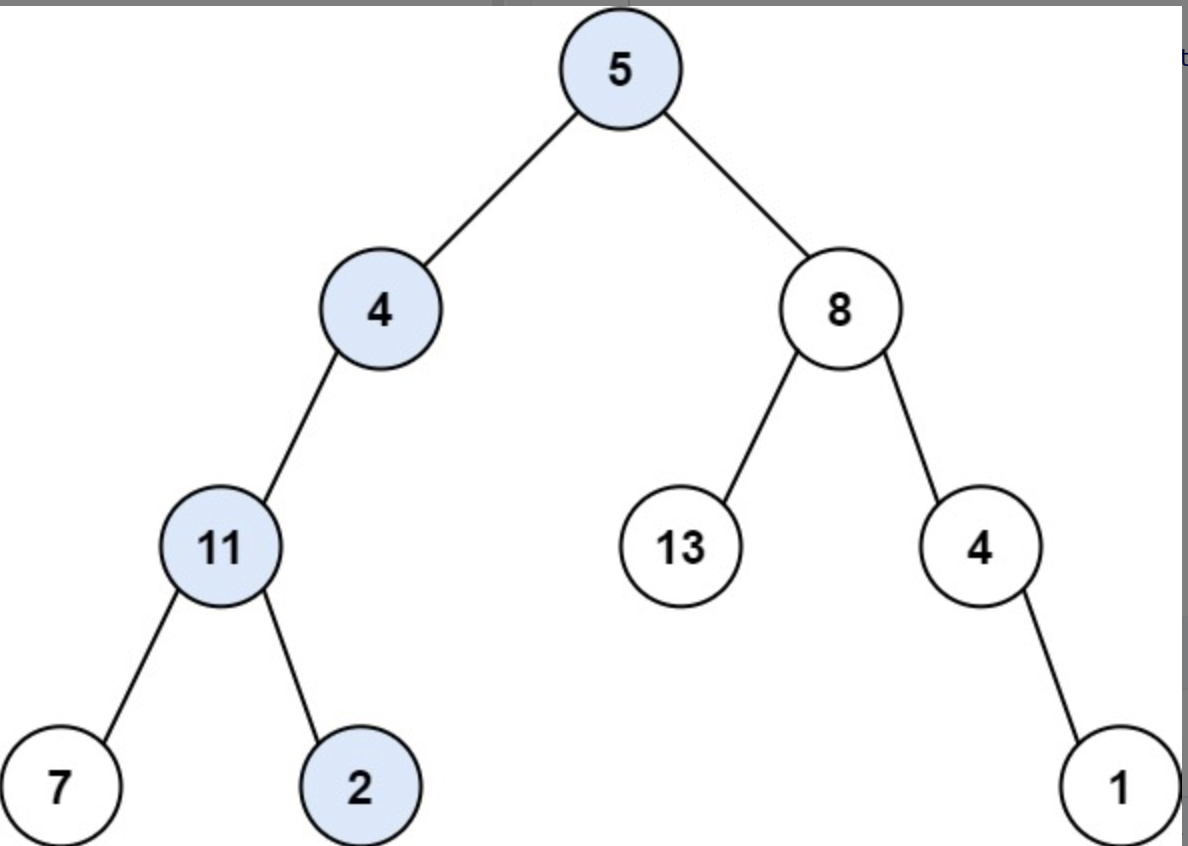
输入:root = [5,4,8,11,null,13,4,7,2,null,null,null,1], targetSum = 22
输出:true
解释:等于目标和的根节点到叶节点路径如上图所示。
//js 树结构
var root = {
val: 5,
left: {
val: 4,
left: {
val: 11,
left: {
val: 7,
left: null,
right: null
},
right: {
val: 2,
left: null,
right: null
}
},
right: null
},
right: {
val: 8,
left: {
val: 13,
left: null,
right: null
},
right: {
val: 4,
left: null,
right: {
val: 1,
left: null,
right: null
}
}
}
}
// DFS (深度优先遍历) 递归
var hasPathSum = function (root, targetSum) {
// 递归首先确定结束条件
if (root === null) {
return false
}
// 根据题意需要判断叶子节点
if (root.left === null && root.right === null && targetSum - root.val === 0) {
return true
}
// 否则递归
return hasPathSum1(root.left, targetSum - root.val)
|| hasPathSum1(root.right, targetSum - root.val)
}
// DFS (深度优先遍历) 迭代
var hasPathSum = function (root, targetSum) {
const stack = [[root, targetSum - root.val]]; // 初始栈
if (root === null) {
return false
}
while (stack.length > 0) {
// 出栈
const pop = stack.pop()
let node = pop[0]
let remain = pop[1]
// 叶子结点
if (node.left === null && node.right === null && remain === 0) {
return true
}
if (node.right) {
stack.push([node.right, remain - node.right.val])
}
if (node.left) {
stack.push([node.left, remain - node.left.val])
}
}
return false
}
var hasPathSum = function (root, targetSum) {
// BFS (广度优先遍历) 迭代
if (root === null) {
return false
}
// 创建两个数组
// 一个数组记录所有的节点 一个记录路径和
const queue = []
const res = []
// 初始化
queue.push(root)
res.push(root.val)
// 进入广度优先遍历
while (queue.length > 0) {
const top = queue.pop()
const temp = res.pop()
// 叶子结点
if (top.left === null && top.right === null && targetSum - temp === 0) {
return true
}
if (top.left) {
queue.push(top.left)
res.push(temp + top.left.val)
}
if (top.right) {
queue.push(top.right)
res.push(temp + top.right.val)
}
}
return false
}
版权声明:本文为weixin_41198447原创文章,遵循CC 4.0 BY-SA版权协议,转载请附上原文出处链接和本声明。