SSD(Single Shot MultiBox Detector)
特点:多尺度特征图用于检测;采用了先验框,,SDD backbone采用VGG-16
SSD和YOLO一样都是采用一个CNN网络进行检测,但是采用了多尺度的特征图,如下图所示:
采用多尺度特征图用于检测
采用步长stride=2的卷积或者pool来降低特征图的大小,比较大的特征图用来检测小目标,比较小的特征图用来检测大目标
采用卷积进行检测
YOLO最后采用全连接,而SSD直接采用卷积对不同的特征图进行提取特征。对于形状为m×n×p特征图,只需要采用3×3×p这样比较小的卷积核得到检测值。
设置先验框
YOLO中每个单元预测多个边界框,但是都是相对于这个单元本身的,YOLO需要在训练过程中自适应目标的形状。SSD借鉴了Faster-RCNN的anchor理念,每个单元设置尺度或者长宽比不同的先验框,文中每个单元设置了4个先验框

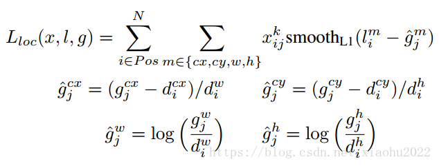
SSD的检测值与YOLO也不一样
对每一个单元,SSD都输出一套独立的检测值,对应一个边界框。检测值主要分为两部分:
- 第一部分是各个类别的置信度或者评分(注意:SSD将背景也当做一个特殊的类别,所有检测类别是C+1,第一个类别是是否有背景,这个置信度最高时就表示不含有目标)
- 第二部分是边界框的location,包含(cx,cy,w,h),真实预测值只是边界框相对于先验框的转换值。先验框位置用d=(dcx,dcy,dw,dh)表示,对应的边界框用b=(bcx,bcy,bw,bh)表示,那么边界框的预测值L其实是b相对于d的转换值:(边界框的编码过程)

预测时框的反向这个过程,就是进行边界解码

所以对于一个m*n大小的特征图,每个单元设置K个先验框,每个单元就需要(C+4)*k个预测值,一共需要(c+4)*k*m*n个预测值,所以就需要(k+4)*k个卷积核完成这个特征图的检测过程
网络结构

图片来源:https://blog.csdn.net/xiaohu2022
1.模型的输入是300*300,SDD backbone采用VGG-16,在其基础上增加新的卷积层获得更多的特征图用于检测
- 将VGG16的全连接层fc6和fc7转换成3*3的卷积层conv6和1*1卷积层conv7
- 将池化层pool5由原来的2*2-s2变成3*3-s1
- Conv6采用扩展卷积或带孔卷积(dilation conv), 卷积核大小是3*3,dilation rate=6
- 移除dropout和fc8
带孔卷积如下图所示:a是普通的3*3卷积,b是扩展率为2的卷积,感受野变成了7*7,c是扩展率为4的卷积,感受野变成了15*15

2.VGG16的conv4_3层作为用于检测的第一个特征图,conv4_3层特征图的大小是38*38,由于其norm(指标,参数)比较大,在其后面增加了一个L2 normalization层
3.从后面新增的卷积层中提取conv7, conv8_2, conv9_2, conv10_2,conv11_2作为检测用的特征图,加上conv4_3层,共提取 了6个特征图,其大小分别是(38,38),(19,19),(10,10),(5,5),(3,3),(1,1)但是不同特征图上设置的先验框是不同的(同一个特征图上每个单元格设置的先验框是相同的)
如何设置先验框
先验框的设置包括尺度和长宽比两个方面,对于先验框的尺度,遵守一个线性递增规则:随着特征图大小的降低(可以检测更大的目标),先验框尺度线性增加
- 先验框尺度:
![]()
m指特征图的个数,sk表示先验框相比与图片大小的比例,smin和smax分别表示比例最大和最小值,paper里取得是0.2和0.9。对于第一个特征图,其先验框的尺度比例一般设置为smin/2=0.1,那么尺度为300*0.1=30,对于后面的特征图,先验框的尺度按照上面的公式线性增加,但是先将尺度比例先扩大100倍,此时增长步长为(smax-smin)*100/4=17,这样各个特征图的20,37,54,71,88,将这些比例除以100,再乘以图片大小,得到各个特征图的尺寸为60,111,162,213,264,所以各个特征图的尺寸为30,60,111,162,213,264
- 长宽比
一般选取ar={1,2, 3, 1/2, 1/3 },对于特定长宽比,按如下公式计算先验框的宽度和高度(这个sk指的是先验框的实际尺寸,而不是尺寸比例)
![]()
默认情况下每个特征图会有一个ar=1的尺度为sk的先验框,除此之外,还会设置一个尺度为且
=1的先验框,这样每个特征图都设置了两个长宽比为1但是大小不同的正方形先验框,(注意,最后一个特征图需要参考一个虚拟
=300*105/100=315来计算
)因此每一个特征图有6个先验框
,但是在现实中,conv4_3,conv10_2和conv11_2层仅使用4个先验框,不使用3,1/3的先验框。每个先验框的中心点分布在各个单元的中心
是特征图的大小。
4.得到特征图后,对特征图做卷积得到检测结果,下图给出了5*5大小的特征图的检测过程,priorbox得到的是先验框。检测值包括两个部分:类别置信度和边界框位置,各采用一次卷积来完成。
设先验框数目为nk,那么类别置信度需要的卷积核数量为nk*C,而边界框位置需要的卷积核数目为nk*4,由于每个先验框都会预测一下,所以SSD300一共预测38*38*4+19*19*6+10*10*6+5*5*6+3*3*4+1*1*4=8732个边界框,所以说SSD是密集采样

训练过程
1.先验框匹配:确定训练图片中ground truth与哪个先验框进行匹配,匹配的先验框所对应的边界框将负责预测它。在YOLO中, ground truth的中心落在哪个单元格,该单元格与其IOU最大的边界框负责预测它,SSD中先验框与ground truth的匹配原则主要有两点:
- 原则一:对于图片中中每个ground truth,找到与其IOU最大的先验框,并匹配。这样保证每个ground truth一定与某个先验框匹配。称与ground truth匹配的先验框为正样本,不匹配的称为负样本。背景多,目标少,造成正负样本不匹配的问题,所以引入:
- 原则二:对于剩余未匹配的先验框,若某个ground truth的IOU大于某个阈值(一般设置0.5),那么该先验框与这个ground truth进行匹配。这意味着某个ground truth可能与多个先验框匹配,但是一个先验框只能匹配一个ground truth
注意:尽管一个ground truth可以和多个先验框匹配,但是ground truth相对于先验框还是太少了。为了保证正负样本尽量平衡,SSD采用了hard negative mining:就是对负样本抽样,抽样时按照置信度误差(预测背景的置信度越小,误差越大)进行降序排列,选取误差较大的top-k作为训练的负样本,保证正负样本比例接近1:3.
2.损失函数:位置误差和置信度误差的加权和
![]()
N是先验框的正样本数量,C为类别置信度,L为先验框所对应边界框的位置预测值,而g是ground truth的位置参数,对于位置误差采用Smooth L1 loss
位置误差


图片来源:https://blog.csdn.net/xiaohu2022
等于1表示第i个先验框与第j个ground truth匹配,并且ground truth的类别为p,
由于的存在,所以位置误差近针对正样本进行计算,
表示预测框的中心位置
置信度误差:采用softmox loss

3.数据扩增
采用数据扩增可以提升SSD的性能,主要使用了水平翻转(horizontal flip),随机裁剪加颜色扭曲(random crop&color distortion),随机采集块域(random sample a patch)(为了获取小目标训练样本),如下图所示:

预测过程
- 对每一个预测框,根据类别置信度确定其类别(类别置信度最大的)和置信度值,并滤掉属于背景的预测框
- 根据置信度阈值过滤掉阈值较低的预测框
- 对留下的预测框进行解码,根据先验框得到的真实位置参数(解码后一般还需要做clip,防止预测框超出图片)
- 根据置信度进行降序排列,仅保留top-k(如400)个预测框
- 最后进行NMS
性能评估
加*表示使用了image expansion data augmentation


不同trick对SSD的影响
数据曾广比较重要


SSD优缺点:
- SSD优势是速度比较快,整个过程只需要一步,首先在图片不同位置按照不同尺度和宽高比进行密集抽样,然后利用CNN提取特征后直接进行分类与回归,所以速度比较快,
- 但均匀密集采样会造成正负样本不均衡的情况使得训练比较困难,导致模型准确度有所降低。
- SSD对小目标的检测没有大目标好,因为随着网络的加深,在高层特征图中小目标的信息丢失掉了,适当增大输入图片的尺寸可以提升小目标的检测效果
DSSD(Deconvolution Single Shot MultiBox Detector)
特点:使用ResNet替换SSD中的VGG;使用Deconvolution层
SSD中在更浅的一些层上来匹配小目标,就是把图片分成更小的格子,在这些格子中使用anchor这样漏检概率就会大大减少,但是问题是在浅层提取的feature map的表征能力不够强,每个格子可以判断这个格子中包含的是哪一个类,但是不那么确定。
DSSD的网络结构

方法就是把红色层做反卷积操作,使其和上一级蓝色层尺度相同,再把二者融合在一起,得到的新的红色层用来做预测。如此反复,仍然形成多尺度检测框架。在图中越往后的红色层分辨率越高,而且包含的上下文信息越丰富,综合在一起,使得检测精度得以提升。
上图结构中采用了跳步连接(skip connection).按理说模型在编码和解码过程中应该包含对称的层,但是由于两个原因作者使解码的层比较浅:
- 做成对称的速度比较慢
- 目前并没有现成的包含解码的训练模型,以为模型必须从零开始学习这一部分,对称形式的计算成本太高了
SSD对小目标不够鲁棒性的最主要的原因是浅层feature map的表征能力不够强,因此DSSD作出了如下改进:(DSSD的核心思想:提高浅层的表征能力)
1.ResNet


上图是说明那些层作为最后的预测feature layer,其结果对比图如下所示:
2..修改了预测模块(prediction module)
设置不同的预测模块进行预测并对比,结果如下
3.Deconvolution module
- 在每个卷积层之后添加batch normalization
- 采用基于学习的反卷积层而不是简单的双线性上采样
- 红色框是不同的计算方式:Eltw Product其实就是矩阵的点积,sum是求和
4.改进box比例
使用聚类分析采用了1, 1.6, 2, 3的长宽比
网络训练
先预训练一个SSD模型,使用训练好的SSD模型初始化DSSD模型,具体分为两个步骤:
- 先冻结DSSD网络中SSD网络层的参数,只用预训练好的SSD模型去微调DSSD层的权重(DSSD层的权重初始化方式为Xavier)
- 解冻第一阶段的所有层参数,放开了微调