一、填空题
判定表的简化主要包含:规则合并 和 规则包含。
二、选择题
(单选题)黑盒测试法是通过分析程序的( )来设计测试用例的方法。
A. 应用范围
B. 内部逻辑
C. 输入数据
D. 功能
答案:D(单选题)对于一个含有n个变量的程序,采用基本边界值分析法测试程序会产生()个测试用例。
A. 6n+1
B. 5n
C. 4n+1
D. 7n
正确答案: C(单选题)某系统对每个员工一年的出勤天数进行核算和存储(按每月22个工作日计算,一年最多出勤22*12=264天),使用文本框的模式进行填写。在此文本框的测试用例编写中使用了等价类划分法,则下面划分不准确的是()。
A. 无效等价类,出勤日>264
B. 无效等价类,出勤日<0
C. 有效等价类,0<=出勤日<=264
D. 有效等价类,0<出勤日<264
正确答案: D(单选题)在等价类划分法设计测试用例的步骤中,包括设计一个测试用例,使其覆盖()尚未被覆盖的无效等价类,重复这一步,直至所有的无效等价类均被覆盖。
A. 1个
B. 一半
C. 尽可能多的
D. 尽可能少的
正确答案: A(单选题)黑盒测试也称为功能测试。黑盒测试不能发现( )。
A. 终止性错误
B. 输入是否正确接收
C. 界面是否有误
D. 是否存在冗余代码
正确答案: D(单选题)关于等价类描述错误的是( )。
A. 把一个程序输入的定义域划分成不同的数据类,然后根据这些数据类可以导出测试用例
B. 等价类是由相对于程序的功能具有相同作用的一些输入数据元素构成的数据集合,这些数据元素之间具有等价关系
C. 利用等价类中一个元素作为代表对程序进行测试,而不是使用该类的全体成员,藉此以减少总的测试用例数量
D. 等价类的划分是唯一的
正确答案: D(单选题)在划分了等价类后,首先需要设计一个案例覆盖()有效等价类。
A. 等价类数量-1个
B. 尽可能多的
C. 2个
D. 1个
正确答案: B(单选题)关于黑盒测试错误的是()。
A. 黑盒测试可以检测出不正确或漏掉的功能
B. 黑盒测试可以检测出接口错误
C. 黑盒测试可以检测出布尔表达式错误
D. 数据结构或外部数据库存取中的错误
正确答案: C(单选题)()方法是根据输出对输入的依赖关系来设计测试用例的。
A. 边界值分析
B. 等价类
C. 因果图法
D. 错误推测法
正确答案: C(单选题)除了测试程序外,黑盒测试还适用于对()阶段的软件文档进行测试。
A. 编码
B. 软件详细设计
C. 软件总体设计
D. 需求分析应用范围
正确答案: D(单选题)下列()方法设计出的测试用例发现程序错误的能力最强。
A. 等价类划分法
B. 场景法
C. 边界值分析法
D. 决策表法
正确答案: C(单选题)根据选择的测试策略的不同,可以将软件测试分为黑盒测试和白盒测试两种,其中()不属于黑盒测试方法。
A. 条件覆盖
B. 等价类划分
C. 边界值分析
D. 因果图
正确答案: A(单选题)下列所举的方法中属于黑盒测试的设计测试用例方法的是()。
A. E-R图
B. 因果图
C. DFD图
D. IPO图
正确答案: B(单选题)系统测试通常采用黑盒测试。常用的黑盒测试法有边值分析、等价类划分、错误推测和()。
A. 路径覆盖
B. 因果图
C. 判定树
D. PERT图
正确答案: B(单选题)关于条件测试错误的是()。
A. 可以检查程序中所包含的逻辑条件
B. 条件中包含的错误有布尔算子错误
C. 条件中包含的错误有布尔变量错误
D. 条件中包含的错误有接口错误
正确答案: D(单选题)使用白盒测试方法时,确定测试数据应根据()和指定的覆盖标准。
A. 程序的内部逻辑
B. 程序的复杂程度
C. 使用说明书
D. 程序的功能
正确答案: A(单选题)白盒方法中常用的方法是()方法。
A. 路径测试
B. 等价类
C. 因果图
D. 归纳测试
正确答案: A(单选题)语句覆盖、判定覆盖、条件覆盖和路径覆盖都是白盒测试法设计测试用例的覆盖准则,在这些覆盖准则中最弱的准则是()。
A. 语句覆盖
B. 条件覆盖
C. 路径覆盖
D. 判定覆盖
正确答案: A(单选题)在软件工程中,白盒测试法可用于测试程序的内部结构。此方法将程序看作是()。
A. 地址的集合
B. 循环的集合
C. 目标的集合
D. 路径的集合
正确答案: D(单选题)在下面所列举的逻辑测试覆盖中,测试覆盖程度最强的是()。
A. 条件覆盖
B. 条件组合覆盖
C. 语句覆盖
D. 条件及判定覆盖
正确答案: B(单选题)关于白盒测试与黑盒测试的最主要区别,正确的是()。
A. 白盒测试侧重于程序结构,黑盒测试侧重于功能
B. 白盒测试可以使用测试工具,黑盒测试不能使用工具
C. 白盒测试需要程序员参与,黑盒测试不需要
D. 黑盒测试比白盒测试应用更广泛
正确答案: A(单选题)有一组测试用例使得每一个被测试用例的分支覆盖至少被执行一次,它满足的覆盖标准()。
A. 语句覆盖
B. 判定覆盖
C. 条件覆盖
D. 路径覆盖
正确答案: B(单选题)
某软件发布在即,测试人员发现被测系统登录界面的Logo显示不清晰,于是报告了此缺陷,关于该缺陷的优先级和严重性的设定,下列说法正确的是( )。
A.优先级定义为Low,严重性定义为Low
B.优先级定义为High,严重性定义为Low
C.优先级定义为High,严重性定义为High
D.优先级定义为Low,严重性定义为High
正确答案: B(单选题)以下有关回归测试的说法中,正确的是( )。
A. 回归测试是一个测试阶段
B. 回归测试的目标是确认被测软件经修改和扩充后正确与否
C. 回归测试不能用于单元和集成测试阶段
D. 回归测试是指在软件新版本中验证已修复的软件问题
正确答案: B(单选题)下列有关软件缺陷报告的编写中,哪个是错误的( )。
A. 一个软件缺陷报告只应记录一个不可再划分的软件缺陷
B. 软件缺陷报告的标题应该能够最简洁表达一个软件缺陷
C. 软件缺陷报告中应提供全面的有关该软件缺陷再现的信息
D. 同一个软件缺陷可以被重复报告
正确答案: D(单选题)导致软件缺陷的最大原因是( )。
A. 编码
B. 设计
C. 硬件
D. 产品说明书
正确答案: D(单选题)针对程序员修复的缺陷进行的测试属于下列哪种测试( )。
A. 冒烟测试
B. 调试
C. 返测
D. 回归测试
正确答案: D(多选题)下面关于测试需求分析的说法正确的是( )。
A. 测试需求分析不是测试环节的必须活动
B. 测试需求阶段应该详细了解软件需求,为后续的测试工作做好准备
C. 测试需求分析应该包括功能测试需求分析和非功能测试需求分析
D. 测试需求分析是测试用例设计的前提
正确答案: BCD(多选题)关于测试用例设计方法的解释正确的是( )。
A. 针对简单的、不具有复杂业务逻辑的功能往往采用等价类划分法、边界值分析法、组合法等黑盒方法进行测试
B. 针对复杂的功能与业务进行测试时,可以通过覆盖基本业务路径的方法进行测试用例的设计
C. 测试建模是针对系统中复杂的业务逻辑和功能进行建模,以帮助梳理这些复杂的业务逻辑和功能,从而更好地完成测试用例的设计
D. 实际测试时,每种测试用例的设计方法不可交叉,各自负责各自的测试内容和测试对象。
正确答案: ABC(单选题)关于Session描述正确的是( )
A. Session对象在整个应用程序的生命周期中,为每个用户管理着所有的页面
B. Session对象用于存储从一个用户开始访问某个特定主页开始,到用户离开为止
C. 一个用户在对站点的所有访问就存在一个Session对象中
D. 用户在应用程序的页面间切换时,Session对象中的变量会被消除
正确答案: C(单选题)关于JSON描述错误的是( )
A. JSON 是轻量级的文本数据交换格式
B. JSON 只能通过Python代码实现
C. JSON 比 XML 更小、更快、更易解析
D. JSON 文本的 MIME 类型是 application/json
正确答案: B(单选题)以下哪一项不是合法HTTP请求报文里的可以包含内容( )
A. Content-Type(表示后面的文档属于什么MIME类型)
B. Referer(发出请求的页面的URL)
C. Cookie(当前页面设置的任何Cookie)
D. Server(服务器名字)
正确答案: A(单选题)当用户所访问的Web网站的某个页面资源不存在时,将会出现的HTTP状态码是( )
A. 200
B. 302
C. 401
D. 404
正确答案: D(单选题)用户使用浏览器访问网页时,从发出请求到显示出网页的整个工作过程是( )
①服务器响应用户请求,把Response文件对象发送回给浏览器
②浏览器分析Response中的HTML
③浏览器发送一个Request请求给服务器
④在浏览器中输入网址
⑤浏览器自动发送Request获取网页中加载的图片文件、CSS文件或者JS文件
⑥当网页中包含的所有文件都下载成功后,浏览器会根据HTML语法结构,完整的显示出网页
A. ④①③②⑤⑥
B. ④⑤③①②⑥
C. ④③①②⑤⑥
D. ④③⑤①②⑥
正确答案: C(单选题)关于接口测试开展方法的描述中,错误的是( )
A. 根据接口文档中的接口返回码设计测试用例,覆盖所有返回码
B. 根据接口文档中的接口字段是否为必选设计测试用例,覆盖所有必选字段
C. 必须覆盖复杂业务的完整流程
D. 接口文档必须完备,除了API形式说明外,要提供HTTP请求访问入口
正确答案: C(单选题)HTTP协议是常用的应用层协议,它通过TCP协议提供服务,上下层协议默认是使用( )端口进行服务识别。
A. 80
B. 443
C. 22
D. 21
正确答案: A(单选题)关于Cookie描述正确的是( )
A. Cookie对象保存在服务器上
B. 使用Cookie对象可以非常可靠的
C. 客户可以关闭Cookie
D. Cookie是在浏览器请求时保存的
正确答案: D(单选题)HTTP 协议是一种( )的( )层协议。
A. 有状态;应用
B. 无状态;应用
C. 有状态;传输
D. 无状态;传输
正确答案: B(单选题)HTTP请求报文的请求行中不包含的字段有( )。
A. 方法字段
B. URL字段
C. 版本字段
D. 检验和字段
正确答案: D(单选题)关于HTTP和HTTPS描述错误的是( )
A. HTTPS是加密传输协议,HTTP是明文传输协议
B. HTTPS需要用到SSL证书,而HTTP不用
C. HTTPS标准端口80,HTTP标准端口443(HTTP的端口号80,HTTPS的端口号是443)
D. HTTPS的安全基础是TLS/SSL
正确答案: C(单选题)Android手机的软件格式正确的是()
A. 安卓市场.exe
B. 安卓市场.ipa
C. 安卓市场.apk
D. 安卓市场.msi
正确答案: C(单选题)下列选项中不属于移动App特性的是()
A. 设备多样性
B. 网络多样性
C. 平台多样性
D. 唯一性
正确答案: D(多选题)下列属于哪些选项属于移动App与传统软件测试的区别。
A. 页面布局不同:对于传统软件,计算机设备屏幕比较大,可以同时显示很多信息,用户在使用时对所有信息一览无余,页面布局比较灵活,但是对于移动App,移动设备屏幕小,显示的信息有限,一般都是单列显示,在测试时需要考虑布局是否合理。此外,在测试时还要考虑到移动设备的屏幕可以旋转,旋转之后,屏幕上信息显示是否符合用户需求。
B. 使用场合不同:传统软件使用地点比较固定,网络信号也比较稳定,而移动App使用场合不固定,网络信号也不稳定,测试需要考虑弱网情况下App的使用情况。此外,还要考虑移动设备电量不足的情况下,App是否能正常使用。
C. 输入方法不同:传统软件大多使用键盘和鼠标进行输入,移动App的输入方法比较多,除了键盘和鼠标之外,还包括触屏、电容笔、语音等,移动App测试时要测试多种输入方法是否都能正常使用。
D. 操作方式不同:传统软件使用鼠标操作,点击精确,而移动App大多是触屏操作,点击时误差较大,且不支持“鼠标”悬停事件。
正确答案: ABCD(多选题)移动App性能测试要点有哪些?
A. 边界测试:在各种边界压力下,如电量不足、存储空间不足、网络不稳定,测试App是否能正确响应、正常运行。
B. 压力测试:对移动App不断施加压力,如不断增加负载、不断增大数据吞吐量等以确定App的服务瓶颈,获得App能提供的最大服务级别,测试App性能是否满足用户需求。
C. 响应能力测试:响应能力测试实质上也是一种压力测试,在一定条件下App是否可以正确响应,响应时间是否超过了客户需求。
D. 耗能测试:测试App运行时对移动设备的资源占用情况,包括内存、CPU消耗,App长期运行时耗电量、耗流量情况,验证App对资源的消耗是否满足用户需求。
正确答案: ABCD(单选题)黑盒测试法是通过分析程序的( )来设计测试用例的方法。
A. 应用范围
B. 内部逻辑
C. 输入数据
D. 功能
正确答案: D(单选题)在划分了等价类后,首先需要设计一个案例覆盖()有效等价类。
A. 等价类数量-1个
B. 尽可能多的
C. 2个
D. 1个
正确答案: B(单选题)关于黑盒测试错误的是()。
A. 黑盒测试可以检测出不正确或漏掉的功能
B. 黑盒测试可以检测出接口错误
C. 黑盒测试可以检测出布尔表达式错误
D. 数据结构或外部数据库存取中的错误
正确答案: C(单选题)关于等价类描述错误的是( )。
A. 把一个程序输入的定义域划分成不同的数据类,然后根据这些数据类可以导出测试用例
B. 等价类是由相对于程序的功能具有相同作用的一些输入数据元素构成的数据集合,这些数据元素之间具有等价关系
C. 利用等价类中一个元素作为代表对程序进行测试,而不是使用该类的全体成员,藉此以减少总的测试用例数量
D. 等价类的划分是唯一的
正确答案: D(单选题)在等价类划分法设计测试用例的步骤中,包括设计一个测试用例,使其覆盖()尚未被覆盖的无效等价类,重复这一步,直至所有的无效等价类均被覆盖。
A. 1个
B. 一半
C. 尽可能多的
D. 尽可能少的
正确答案: A(单选题)黑盒测试也称为功能测试。黑盒测试不能发现( )。
A. 终止性错误
B. 输入是否正确接收
C. 界面是否有误
D. 是否存在冗余代码
正确答案: D(单选题)某系统对每个员工一年的出勤天数进行核算和存储(按每月22个工作日计算,一年最多出勤22*12=264天),使用文本框的模式进行填写。在此文本框的测试用例编写中使用了等价类划分法,则下面划分不准确的是()。
A. 无效等价类,出勤日>264
B. 无效等价类,出勤日<0
C. 有效等价类,0<=出勤日<=264
D. 有效等价类,0<出勤日<264
正确答案: D(单选题)在因果图法中,下列描述错误的是( )
A. “恒等”表示若原因出现,则结果出现
B. “非”表示若原因不出现,则结果出现
C.“唯一”表示多个原因当中,至少有一个出现
D.“与”表示若几个原因都出现,结果才出现。
正确答案: C(单选题)在因果图法中,原因c1(1,1,0,0),原因c2是(0,0,0,1),两者的关系是( )
A. 惟一
B. 要求
C. 屏蔽
D. 或
正确答案: C(单选题)
以下哪项不是黑盒测试方法有( )。
A. 决策表法
B. 边界值
C. 控制流法
D. 等价类
正确答案: C(单选题)
设计了4个测试用例:1(x=0,y=3)、2(x=1,y=2)、3(x=-1,y=2)和4(x=3,y=1)。测试用例1、2实现了( )覆盖。
A. 语句
B. 条件
C. 判定
D. 路径
正确答案: A(单选题)
设计了4个测试用例:1(x=0,y=3)、2(x=1,y=2)、3(x=-1,y=2)和4(x=3,y=1)。若要实现路径覆盖,则选用( )测试用例。
A. 1、2
B. 2、3
C. 1、2、3 (4是往回走的)
D. 1、3、4
正确答案: C(单选题)在某班级管理系统中,班级的班委有班长、副班长、学习委员和生活委员,且学生年龄在15~25岁。若用等价类划分来进行相关测试,则( )不是好的测试用例。
A. (队长,15)
B. (班长,20)
C. (班长,15)
D. (队长,12)
正确答案: D(单选题)
软件测试中白盒法是通过分析程序的来设计测试用例的( )
A. 应用范围
B. 内部逻辑
C. 功能
D. 输入数据
正确答案: B(单选题)
为了提高测试的效率,应该( )
A. 随机地选取测试数据
B. 取一切可能的输入数据作为测试数据
C. 在完成编码以后制定软件的测试计划
D. 选择发现错误可能性大的数据作为测试数据
正确答案: D(单选题)
必须要求用户参与的测试阶段是( )
A. 单元测试
B. 集成测试
C. 回归测试
D. 验收测试
正确答案: D(单选题)
侧重于观察资源耗尽情况下的软件表现的系统测试被称为( )
A. 强度测试
B. 压力测试
C. 容量测试
D.性能测试
正确答案: B(单选题)
下列项目中不属于测试文档的是( )
A. 测试计划
B. 测试用例
C.程序流程图
D. 测试报告
正确答案: C(单选题)
软件测试工作应该开始于 ( )
A.项目立项以后
B.项目需求分析阶段
C.项目的概要设计阶段
D. 项目的详细设计阶段
正确答案: B(单选题)
测试设计师的职责包括:( )
1 制定测试计划 2 设计测试用例 3 设计测试过程、脚本 4 评估测试活动
A.1, 4
B.2,3
C.1,3
D. 以上全是
正确答案: B(单选题)
下面关于技术评审错误的是( )
A.评审产品,而不是评审生产者的能力
B.要有严格的评审计划,并遵守日程安排
C.对评审中出现的问题要充分讨论,以求彻底解决
D. 限制参与者人数,并要求评审会之前做好准备
正确答案: C(单选题)
检查软件产品是否符合需求定义的过程称为:( )
A. 确认测试
B. 集成测试
C. 性能测试
D. 功能测试
正确答案: A(单选题)
路径测试是整个结构测试的重要组成,但在研究路径测试时,通常又是使用程序控制流图来代替( )
A. 程序框图
B. 结构图
C. 数据流图
D. 程序流程图
正确答案: D(单选题)
与设计测试用例无关的文档是( )
A.项目开发计划
B.需求规格说明书
C.设计说明书
D.源程序
正确答案: A(单选题)
在用白盒测试中的逻辑覆盖法设计测试用例时,有语句覆盖、分支覆盖、条件覆盖、判定-条件覆盖、条件组合覆盖和路径覆盖等,在下列覆盖中,( )是最强的覆盖准则。
A.语句覆盖
B.条件覆盖
C.判定-条件覆盖
D.路径覆盖
正确答案: D(单选题)
请问下面程序的McCabe环路复杂性为多少( B )
int Getvalue(int n, int datalist[ ]){int k=0;
for ( int j=1; j<n; j++ )
if ( datalist[j] > datalist[k] ) k=j;
return k;
}
A.1
B.2
C. 3
D. 4
正确答案: C(单选题)下列那个选项不属于软件度量的维度( )
A. 规模度量
B. 项目度量
C. 产品度量
D. 和过程度量
正确答案: A(单选题)
软件配置管理的三个应用层次由高到低是:( )
A.版本控制、以开发者为中心、过程驱动
B.以开发者为中心、过程驱动、版本控制
C.过程驱动、以开发者为中心、版本控制
D. 过程驱动、版本控制、以开发者为中心
正确答案: C(单选题)
集成测试中用来模拟实现被测模块需调用的其他功能模块的是()
A. 驱动模块
B. 桩模块
C. 主控模块
D. 真实的被调用模块
正确答案: B(单选题)
下列模型属于成本估算方法的有( )
A.COCOMO模型
B.McCall模型
C.McCabe度量法
D.时间估算法
正确答案: A(单选题)软件测试过程中的集成测试主要是为了发现( )
A.需求分析
B.概要设计
C.详细设计
D.编码
正确答案: B(单选题)常用的软件质量模型不包括:( )
A.Boehm模型
B. CoCoMO模型
C.FURPS模型
D. ISO9126
正确答案: B(单选题)
CMMI中,()主要致力于技术革新和优化过程的改进。
A.等级二
B.等级三
C. 等级四
D. 等级五
正确答案: D(单选题)McCall软件质量模型不包括:( )
A. 产品运行方面
B. 产品修正方面
C. 产品转移方面
D. 产品维护方面
正确答案: D(单选题)功能点度量方法不包括( )
A. 预估功能点方法
B. 估算功能点方法
C. 预估详细功能点方法
D. 详细功能点方法
正确答案: C(单选题)
在某大学学籍管理信息系统中,假设学生年龄的输入范围为16—40,则根据黑盒测试中的等价类划分技术,下面划分正确的是( )。
A.可划分为2个有效等价类,2个无效等价类
B.可划分为1个有效等价类,2个无效等价类测试
C.可划分为2个有效等价类,1个无效等价类
D. 可划分为1个有效等价类,1个无效等价类
正确答案: B(单选题)
下面哪种场景适合自动化测试情况( )
A.项目周期很短的项目
B.业务规则复杂的对象
C.需要频繁运行测试
D.软件不稳定
正确答案: C
三、判断题
四、主观题
简答题
1、请列出至少六条软件测试的基本原则。
(1)所有的软件测试都应追溯到用户需求
(2)尽早地、不断地进行测试
(3)严格执行测试计划
(4)注重测试用例的设计
(5)程序员应该避免测试自己的程序
(6)增量测试,由小到大
2、请列出测试用例包含的主要元素,并描述其含义。
(1)用例编号:定义测试用例编号,便于查找测试用例,便于测试用例的跟踪。
(2)重要级别:定义测试用例的优先级别,可以笼统的分为 “ 高 ” 和 “ 低 ” 两个级 别。
(3)用例标题:对测试用例的描述,测试用例标题应该清楚表达测试用例的用途。
(4)预置条件:提供测试执行中的各种输入条件。根据需求中的输入条件,确定测试用例的输入。
(5)操作步骤:提供测试执行过程的步骤。对于复杂的测试用例,测试用例的输入需要分为几个步骤完成。
(6)预期结果:提供测试执行的预期结果,预期结果应该根据软件需求中的输出得出。
3、请列出常用逻辑覆盖法的种类,并说明其含义。
(1)语句覆盖:被测程序的每个语句至少被执行一次
(2)条件覆盖:判定中的每个条件都至少取到一次“真值”和“假值”。
(3)判定覆盖:每一个判定至少都获得一次“真值”和“假值”
(4)判定/条件覆盖:每个条件的所有可能结果至少出现一次,并且每个判定本身的所有可能结果也至少出现一次。
(5)条件组合覆盖:每个判定中条件结果的所有可能组合至少出现一次。
4、请描述程序基本路径集确定的方法及其注意事项?
(1)选择一个基线路径。
(2)沿基线路径后退,碰到判定节点后翻转,将翻转后的路径作为基线路径,重复本步骤,直到所有的节点都被翻转。
(3)注意:为遵循先易后难的原则,对于循环,一般先让路径跳过循环,然后考虑进入循环
5、测试方案需要描述哪些内容?
(1)需要测试的特性
(2)测试的方法
(3)测试环境的规划
(4)测试工具的设计和选择
(5)测试用例的设计方法
(6)测试代码的设计方案
6、请列出软件测试的目的有哪些?
(1)发现系统的错误。
(2)验证系统是否满足需求。
(3)为产品放行提供依据。
(4)改进开发流程。
7、描述判定表由哪五部分组成,并说明其含义。
(1)条件桩—列出问题的所有条件
(2)条件项—针对条件桩给出的条件,列出所有可能的取值
(3)动作桩—列出问题规定的可能采取的操作
(4)动作项—指出在条件项的各组取值情况下应采取的动作
(5)规则—任何一个条件组合的特定取值及相应要执行的动作
8、在因果图中有哪五种约束关系,并描述其含义。
(1)互斥约束:表示几个原因不会同时成立;可能他们都不成立,但最多有一个成立
(2)包含约束:表示几个原因中至少有一个必须成立,当然也可能都成立
(3)唯一约束:表示几个原因中必须有且仅有一个成立
(4)要求约束:表示当a出现时,b必须也出现。
(5)屏蔽约束:表示当a是1时,b必须是0。
9、缺陷的表现形式不仅体现在功能的失效方面,还体现在其他方面,符合哪些规则之一者,属于软件缺陷?
(1)软件未达到产品说明中已标明的功能。
(2)软件出现了产品说明书中指明不会出现的错误。
(3)软件功能超出了产品说明书指明的范围。
(4)软件未达到(超出)产品说明书应达到的目标。
(5)软件测试员认为软件难以理解,不易使用,运行速度慢,或者最终用户认为该软件使用效果不好。
10.简述自动化测试的优势。
(1)降低大型系统的由于变更或者多期开发引起的大量的回归测试的人力投入。
(2)减少重复测试的时间,实现快速回归测试。
(3)增强测试的覆盖率,从而提高产品质量,降低潜在风险。
(4)通过自动化测试发现系统的隐患,保证了系统上线后的稳定运行,避免了由于系统缺陷造成的损失。
11、性能测试的目的是什么,做好性能测试的关键是什么?
目的:
评估系统的能力。
识别体系中的弱点。
系统调优。
验证稳定性,可靠性。
做好性能测试工作的关键是:强度测试。
12、因果图的基本图形符号(因果)有哪些?
因果图中的基本符号有四种,分别是恒等 (—) 、非 (~) 、与 (^) 、或(V)。
13、软件的六大质量特性是哪些?
1、功能性。
2、可靠性;产品在规定的条件下,在规定的时间内完成规定功能的能力。
3、易用性;在指定使用条件下,产品被理解、学习、使用和吸引用户的能力
4、效率性。
5、软件维护性。
6、软件可移植性;从一种环境迁移到另一种环境的能力。
应用题
1、假设一个中国的航空公司规定:
(1)中国去欧美的航线所有座位都有食物供应,每个座位都可以播放电影。
(2)中国去非欧美的国外航线都有食物供应,只有商务仓可以播放电影。
(3)中国国内的航班的商务仓有食物供应,但是不可以播放电影。
(4)中国国内的航班的经济仓除非飞行时间大于2小时就有食物供应,但是不可以播放电影。
请输出简化后的判定表和测试用例。
答:
M1={航线为国外欧美航线}
M2={航线为国外非欧美航线}
M3={航线为国内航线}
D1={仓位为商务仓}
D2={仓位为经济仓}
Y1={飞行时间小于等于2h}
Y2={飞行时间大于2h}
2.某软件的一个模块的需求规格说明书中描述:
(1)年薪制员工:严重过失,扣年终风险金的4%;过失,扣年终风险金的2%。
(2)非年薪制员工:严重过失,扣当月薪资的8%;过失,扣当月薪资的4%。
请绘制出因果图,并给出相应的测试用例。
答:

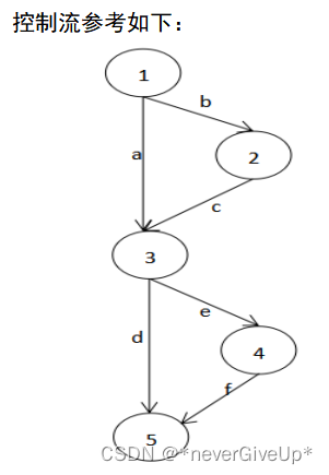
3.已知某程序流程图如下所示,请使用白盒测试基本路径法对该程序进行测试,完成以下要求:
(1)请描述基本路径法设计测试用例的基本步骤。
(2)画出相应的控制流图。
(3)计算环形复杂度(使用三种方法,并简单描述方法公式)。
(4)找出程序的基本路径集合。
答:
1)
(1)画出程序的控制流图
(2)计算流图G的环路复杂性V(G)
(3)导出独立路径
(4)根据独立路径,设计测试用例
2)
3)
(1)方法一、区域+1(+1应该是整体)
V(G)=2+1=3
区域数量为2
(2)V(G) = E-N+2
E是控制流图中边的数量,N是控制流图中的节点数量
V(G)=6-5+2=3
(3)V(G) = P+1
P是控制流图G中判定节点的数量
V(G)=2+1=3
4)
基本路径集参考如下:
(1)路径1;1-2-3-4-5
(2)路径2: 1-3-4-5
(3)路径3: 1-3-5
(4)路径4: 1-2-3-5
4、某公司要打印2010~2016年的报表,规定报表日期为6位数字组成,其中,前4位为年份,后两位为月份。使用等价类划分方法设计测试用例。
(1)划分等价类。
(2)为有效等价类设计测试用例。
(3)为无效等价类设计测试用例。
答:
1)
2)
3)
5.某软件规格说明书包含这样的要求:第一列字符必须是X或Y,第二列字符必须是一个数字,在此情况下进行文件的修改,如果第一列字符不正确,则给出信息L;如果第二列字符不是数字,则给出信息M。用因果图和判定表法进行测试用例设计。
答:


6.某程序规定:“输入三个整数 a、 b 、 c分别作为三边的边长构成三角形。程序显示提示信息,指出该三角形为一般三角形、等腰三角形、等边三角形、非三角形”,程序流程图如下所示。
根据上述流程图,绘制控制流图,使用基本路径法设计测试用例。
答:
