一、单链表(带有头节点)的初始化
算法步骤:
- 生成一个新结点作为头结点,用头指针L指向头结点。
- 让头结点的指针域置空。
算法描述:
define NULL 0
struct Lnode
{
ElemType data;
Lnode* next;
}*LinkList;
int initList_L(LinkList& L)
{
L=new Lnode;
L->next=NULL;
return OK;
}
补充算法一: 判断链表是否为空
空表: 头指针与头结点依然存在,而头结点的指针域为空。
算法思路: 判断头结点的指针域是否为空。
int EmptyList(LinkList L)
{
if(L->next!=NULL)//非空
return 1;
else
return 0;
补充算法二: 销毁单链表
链表销毁后不存在。头指针与头结点都不存在。
算法思路: 从头指针开始,依次释放所有结点。
- 除了头指针,我们还需要另外一个结点来进行释放结点的操作,我们让它也指向头结点,那么只需要将头指针赋值给新指针即可。

- 此时,我们就可以释放结点了,但是如果这样就释放头结点,那么头指针的指向的地址也就没有了,所以我们需要让头指针指向下一个结点,然后再释放P结点。

算法描述:
int DestoryList(LinkList& L)
{
LinkList P;
while(L!=NULL)
{
P=L;
L=L->next;
delete P;
}
return OK;
}
补充算法三: 清空单链表
链表仍存在,但链表无元素,成为空链表。(头指针和头结点仍然存在)
算法思路: 从首元结点开始,依次释放所有结点,并将头结点的指针域置空。(和第二个算法思路类似)
- 引入一个新结点p指向首元结点。

- 再次引入一个新结点q指向p->next,那么就可以释放p指向的结点了。

算法描述:
int ClearList(LinkList& L)
{
LinkList P=L->next;
while(p!=NULL)
{
LinkList q=p->next;
delete p;//删除p本身(指针p本身并没有撤销,它自己仍然存在,该指针所占内存空间并未释放)
p=q;
}
L->next=NULL;
return 0;
}
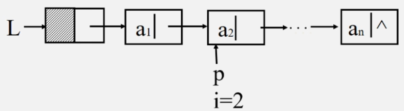
补充算法四: 求单链表的表长
算法思路: 从首元结点开始,依次向后计入所有结点。
- 首先需要建立一个新指针p指向首元结点,定义整型 i 用于计数。在指向每个结点的时候需要判断结点是否为空,如果结点为空,那么停止后移。

- 然后让指针依次后移,i 的值加一。

算法描述:
int ListLength(LinkList L)
{
LinkList p=L->next;
int i=0;
while(p!=NULL)//当首元结点为空时,表长为0
{
i++;
p=p->next;
}
return i;
}
版权声明:本文为lhyhaiyan原创文章,遵循CC 4.0 BY-SA版权协议,转载请附上原文出处链接和本声明。