注意:此部分内容转自图书《卡尔曼滤波原理及其应用》第108页, 对匀加速直线运动物体进行运动观测。
%%%%%%%%%%%%%
%功能说明:UKF在目标跟踪中的应用
%参数说明:1、状态6维,x方向的速度、速度、加速度;
% y方向的位置、速度、加速度;
% 2、观测信息为距离和速度
%%%%%%%%%%%%%
clc;
clear all;
n=6; %状态个数
t=0.5; %采样时间间隔
Q=[1 0 0 0 0 0;
0 1 0 0 0 0;
0 0 0.01 0 0 0;
0 0 0 0.01 0 0;
0 0 0 0 0.001 0;
0 0 0 0 0 0.001]; %过程噪声协方差矩阵
R=[100 0;
0 0.001^2]; %测量噪声协方差矩阵
f=@(x)[x(1)+t*x(3)+0.5*t^2*x(5);x(2)+t*x(4)+0.5*t^2*x(6);...
x(3)+t*x(5);x(4)+t*x(6);x(5);x(6)];
%x1为X轴位置,x2为Y轴位置,x3、x4分别是X、Y轴的速度
%x5、x6为X、Y方向的加速度
%观测方程
h=@(x)[sqrt(x(1)^2+x(2)^2);atan(x(2)/x(1))];
s=[ 100;200; -10;-60;2; 4];
x0= s+sqrtm(Q)*randn(n,1); %初始状态
P0 =[50 0 0 0 0 0;
0 50 0 0 0 0;
0 0 1 0 0 0;
0 0 0 1 0 0;
0 0 0 0 0.1 0;
0 0 0 0 0 0.1]; %协方差初始值
N=40; %采样次数
Xukf= zeros(n,N); %UKF滤波状态初始化
X=zeros(n,N); %真实状态
Z=zeros(2,N); %测量值
for i = 1:N
X(:,i)=f(s)+sqrtm(Q)*randn(6,1); %模拟,产生目标运动真实状态
s = X(:,i);
end
ux=x0; %ux为中间变量
for k=1:N
Z(:,k)= h(X(:,k)) + sqrtm(R)*randn(2,1); %测量值 %保存观测
[Xukf(:,k),P0] = ukf(f,ux,P0,h,Z(:,k),Q,R); %调用ukf滤波算法
ux= Xukf(:,k);
end
%跟踪误差分析
%这里只分析位置误差,速度、加速度误差分析从略
for k=1:N
RMS(k) = sqrt((X(1,k) -Xukf(1,k))^2+(X(2,k) -Xukf(2,k))^2);
end
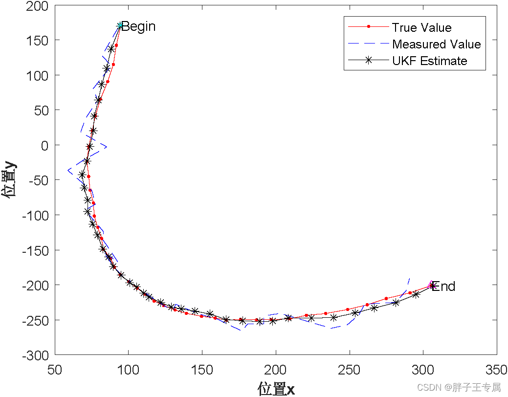
%画轨迹图
figure
t=1:N;
hold on;box on;
h1=plot( X(1,t),X(2,t),'-r.')
h2=plot(Z(1,t).*cos(Z(2,t)),Z(1,t).*sin(Z(2,t)),'--b')
h3=plot(Xukf(1,t),Xukf(2,t),'-k*')
scatter(X(1,1),X(2,1),20,'c','*');
text(X(1,1),X(2,1),'Begin');
scatter(X(1,N),X(2,N),30,'m','^');
text(X(1,N),X(2,N),'End');
xlabel('位置x')
ylabel('位置y')
legend([h1, h2, h3],'True Value','Measured Value','UKF Estimate');
%误差分析图
figure
box on;
plot(RMS)
xlabel('时间')
ylabel('残差')
function [X,P]=ukf(ffun,X,P,hfun,Z,Q,R)
%非线性系统中的UKF算法
L = numel(X); %状态维数
m = numel(Z); %观测维数
alpha = 1e-2; %默认系数,参考无迹变换
ki=0;
beta=2;
lambda = alpha^2*(L+ki)-L;
c = L + lambda;
Wm = [lambda/c 0.5/c+zeros(1,2*L)]; %权值
Wc = Wm;
Wc(1) = Wc(1)+(1-alpha^2 + beta); %权值
c =sqrt(c);
%第一步:获取一组Sigma点集
%Sigma点集,在状态X附近的点集,X是6*13矩阵,每列为1样本
Xsigmaset = sigmas(X,P,c);
%第二、三、四步:对Sigma点集进行一步预测,得到均值X1means和方差P1和新Sigma点集X1
%对状态进行UT变换
[X1means,X1,P1,X2] = ut(ffun,Xsigmaset,Wm,Wc,L,Q);
%第五、六步:得到观测预测,Z1为X1集合的预测,Zpre为Z1的均值
%Pzz为协方差
[Zpre,Z1,Pzz,Z2] = ut(hfun,X1,Wm,Wc,m,R); %对观测值UT变换
Pxz = X2*diag(Wc)*Z2'; %协方差Pxz
第七步:计算Kalman增益
K=Pxz*inv(Pzz);
第八步:状态和方差更新
X=X1means+K*(Z-Zpre); %状态更新
P=P1-K*Pxz'; %协方差更新
end
%UT变换子函数
%输入:fun为函数句柄,Xsigma为样本集,Wm和Wc为权值
% n为状态维数(n=6),COV为方差
%输出:Xmeans为均值
function [Xmeans,Xsigma_pre,P,Xdiv] = ut(fun,Xsigma,Wm,Wc,n,COV)
LL = size(Xsigma,2);%获取样本个数
Xmeans=zeros(n,1); %均值
Xsigma_pre = zeros(n,LL);
for k = 1: LL
Xsigma_pre(:,k) = fun(Xsigma(:,k)); %一步预测
Xmeans = Xmeans + Wm(k)*Xsigma_pre(:,k);
end
%Xmeans(:,ones(1,LL))将Xmeans扩展为n*LL矩阵,每一列相等
Xdiv = Xsigma_pre - Xmeans(:,ones(1,LL)); %预测减去均值
P= Xdiv*diag(Wc)*Xdiv'+COV; %协方差
end
%产生Sigma点集的函数
function Xset = sigmas(X,P,c)
A = c*chol(P)'; %Cholesky分解
Y = X(:,ones(1,numel(X)));
Xset=[X Y + A Y-A];
end


注:必须有观测模型,否则性能比较差,实践中可以用多种观测模型,然后选残差最小的模型。
版权声明:本文为qq_41620126原创文章,遵循CC 4.0 BY-SA版权协议,转载请附上原文出处链接和本声明。