线性代数是机器学习领域当中非常重要的基础知识,但是很遗憾的是,在真正入门之前很少有人能认识到它的重要性,将它学习扎实,在入门之后,再认识到想要补课也不容易。
而我也是一样,学完课程之后就没怎么看线性代数了,所以现在开始重新学习这门课程。
本文全部转载于这篇文章
因为微信查看文章较为麻烦,因此将其转载至博客以便回顾。
行列式定义
维基百科中的定义是,行列式是一个函数,将一个n * n的矩阵映射到一个标量。这个标量表示经过这个矩阵所代表的的线性变幻之后,矩阵的“体积”在空间当中发生的变化。
也就是说,行列式的输入是一个n * n的方阵,输出是一个具体的数。我们把行列式用det来表示,假设A是某一个n * n的矩阵,那么det(A)即表示该矩阵的行列式。
行列式计算
二阶行列式
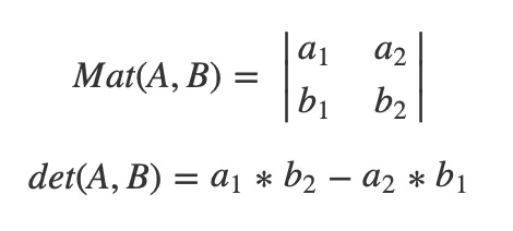
令
那么,
即为对角线乘积的差。
再来看三阶的情况:
令
那么
光看公式非常复杂,如果我们把所有正项的乘积用红线相连,把负项的成绩用蓝线相连,那么我们可以得到下面这张图。

其实本质上来说,还是对角线的乘积差,即所有正向(从左上往右下)对角线的乘积和减去反向(从右上往左下)对角线的乘积和。
我们列出了二项以及三项行列式的式子,自然而然,我们下面就要写出n项行列式的计算方法。但在此之前,我们先要引入另外一个相关的概念——逆序数。
逆序数
逆序数本身主要就是应用在行列式的计算当中,不过除此之外在面试题当中经常出现,许多面试题会让求职者写出或口述逆序数的计算算法。关于这点,会在之后的算法专栏当中单独讲解。
假设我们有一个数组A,它当中有n个各不相同的元素。在理想情况下,A当中的元素应该都是有序的。比如说都是从小到大排列,但理想情况很少发生。大多数情况下,数组当中的元素都是无序的。
假如我们想要知道,数组当前的排序距离理想情况的升序究竟有多大的差距。很正常地可以想到,我们可以遍历这个数组当中所有Ai和Aj的组合,看看究竟有多少数的次序有误。在这个序列所有两两元素的组合当中,有误的次序的组合总数就叫做逆序数。
光看概念有些拗口,但是直接看代码的话其实非常简单:
reverse = 0
for i in range(n):
for j in range(i):
if A[i] < A[j]:
reverse += 1
也就是说我们对于数组当中的每一个元素,都计算出了排在它前面并且比它大的元素个数。考虑一般情况,假设A数组的排列为p1,p2,p3,…,pn,对于每一个pi我们都求出它前面比较大的元素个数,定义为ti,那么全体的逆序数之和:
n阶行列式
我们再回到n阶行列式来,理解了逆序数的概念之后,我们就很方便地可以写出n阶行列式的公式了。首先,先定义出矩阵D,是一个n阶的方阵:
假设自然数1,2,3…n的一个排列为p1,p2,p3,…,pn,这个排列的逆序数为t。那么我们可以写出D的行列式:
由于长度为n的序列的全排列一共有n!种,所以n阶方阵的行列式一共含有n!项。
除此之外,行列式还有另外一种计算方法。
在n阶行列式当中,把(i,j)元素所在的行和列的所有元素全部去除之后,剩下的新的n-1阶的行列式称为(i,j)元的代数余子式,记为Mij列入4阶行列式:
其中(2,2)元的代数余子式为:
代数余子式可以用来表示行列式。
A矩阵的行列式可以写成
证明也很简单,其实这只不过是行列式表达式的一个变形。我们用三阶行列式举例:
我们把这些值用代数余子式表示出来:
化简一下,显然就是上面公式的结果。
克拉默法则
行列式的定义和计算都不太直观,那么这么一个相对比较复杂的概念究竟有什么作用呢?除了用在机器学习的模型当中之外,另一个非常经典的用途就是判断线性方程组是否有解。
对于一个含有n个未知数的n个线性方程组
它的解可以用n阶行列式表示。
如果这个n阶的行列式不等于0,即:
那么这个n阶方程组有唯一解,并且它的解为:
其中Dj(j=1,2,…n)是把D中第j列替换成方程常数项得到的新的行列式:
行列式除了上面提到的内容之外,还有很多很好用的性质以及一些变种的计算方法。不过,对于算法领域的帮助不多,所以这里不多枚举,感兴趣的同学可以自己查阅相关资料。
行列式几何意义
行列式除了代数上的作用之外,也是有它的几何意义的。
以二阶行列式举例,假设我们有A,B两个向量,其中A向量写作(a1,b1),B向量写作(b1,b2),AB两个向量组合成的矩阵写作:
如果我们将它画出来,它其实表示这两个向量的平行四边形面积。
所以,当我们把行列式当中的某一行或者是某一列同时乘上一个系数k之后,它的行列式增大了k倍。
代码实现
从上文行列式的定义很容易得出结论,行列式的计算比较复杂,如果我们自己实现,需要的代码至少在100行以上。不过好在Python的Numpy库当中为我们提供了非常丰富的矩阵相关操作,包括行列式的计算在内,因此,我们可以非常简单的实现行列式的计算。
如果没有装过Numpy的,可以通过pip很方便地安装:
pip install numpy
通过调用numpy.linalg中的det函数,我们可以直接求出矩阵行列式的值。